Главная Случайная страница


Полезное:

Как сделать разговор полезным и приятным Как сделать объемную звезду своими руками Как сделать то, что делать не хочется? Как сделать погремушку Как сделать так чтобы женщины сами знакомились с вами Как сделать идею коммерческой Как сделать хорошую растяжку ног? Как сделать наш разум здоровым? Как сделать, чтобы люди обманывали меньше Вопрос 4. Как сделать так, чтобы вас уважали и ценили? Как сделать лучше себе и другим людям Как сделать свидание интересным?


Категории:

АрхитектураАстрономияБиологияГеографияГеологияИнформатикаИскусствоИсторияКулинарияКультураМаркетингМатематикаМедицинаМенеджментОхрана трудаПравоПроизводствоПсихологияРелигияСоциологияСпортТехникаФизикаФилософияХимияЭкологияЭкономикаЭлектроника






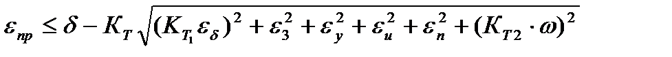
Расчет на точность выполняемого размера





Точность обработки напрямую зависит от точности изготовления приспособления.

[2]

где: d ─ допуск, выполняемого при обработке размера заготовки; d =0.36 мм;

КТ =1,2 ─ коэффициент, учитывающий отклонения рассеяния значений составляющих величин от значения нормального распределения;

КТ1 =0,85 ─ коэффициент, учитывающий уменьшение предельного значения погрешности базирования при работе на настроенном станке;

КТ2 =0,6 ─ коэффициент, учитывающий погрешности обработки в суммарной погрешности, вызываемой факторами, не зависящими от приспособления;

ed - погрешность базирования заготовки в приспособлении;

ed =0 ─ т.к. приспособление обеспечивает надежную фиксацию заготовки в приспособлении;

eз ─ погрешность закрепления заготовки, возникающая в результате действия сил зажима;

eз = 0.040 мкм; [2, с.210, табл. П3]

eу =0мм ─ погрешность установки приспособления, т.к. осуществляется контакт установочной плоскости приспособления с плоскостью стола станка [2, с.106].

eп – погрешность от перекоса (смещения) инструмента;

мм,

eи - погрешность положения заготовки, возникающая в результате изнашивания элементов приспособления, определяется по формуле:

eи = h = b2 × N

где: b2 =0,004 ─ постоянная зависящая от условий контакта;

N =20000 ─ количество контактов в год.

h =0,004·20000=0.080 мкм.

w =0.36мкм ─ экономическая точность.

мкм.

 








Date: 2015-07-24; view: 712; Нарушение авторских прав



mydocx.ru - 2015-2026 year. (0.481 sec.) Все материалы представленные на сайте исключительно с целью ознакомления читателями и не преследуют коммерческих целей или нарушение авторских прав - Пожаловаться на публикацию