Главная Случайная страница


Полезное:

Как сделать разговор полезным и приятным Как сделать объемную звезду своими руками Как сделать то, что делать не хочется? Как сделать погремушку Как сделать так чтобы женщины сами знакомились с вами Как сделать идею коммерческой Как сделать хорошую растяжку ног? Как сделать наш разум здоровым? Как сделать, чтобы люди обманывали меньше Вопрос 4. Как сделать так, чтобы вас уважали и ценили? Как сделать лучше себе и другим людям Как сделать свидание интересным?


Категории:

АрхитектураАстрономияБиологияГеографияГеологияИнформатикаИскусствоИсторияКулинарияКультураМаркетингМатематикаМедицинаМенеджментОхрана трудаПравоПроизводствоПсихологияРелигияСоциологияСпортТехникаФизикаФилософияХимияЭкологияЭкономикаЭлектроника






Последовательное соединение элементов R, L, C





u(t)
uL(t)
R
uR(t)
i(t)
L
uС(t)
С
Рис. 3.5

Пусть в цепи, состоящей из последовательно соединенных элементов R, L, C (рис. 3.5), известен ток i(t)=Imsin(ωt + ψi) и необходимо определить напряжение на ее зажимах.

Запишем для цепи уравнение по второму закону Кирхгофа для мгновенных значений напряжений:

Сумме синусоидальных напряжений соответствует сумма изображающих их комплексных величин. Тогда для действующих комплексных значений можно записать

Запишем комплексное действующее значение напряжения

где - действующее значение напряжения, приложенного к цепи;

- начальная фаза напряжения;

- угол сдвига фаз между напряжением на зажимах цепи и током; сдвиг фаз определяется соотношением реактивных и активных сопротивлений, включенных в электрическую цепь.

Так как амплитудные значения тока и напряжения связаны с действующими значениями соотношениями

, ,

то амплитудное значение входного напряжения

Запишем мгновенное значение напряжения на входе цепи, которое при синусоидальном токе также будет изменяться по синусоидальному закону:

Введем ряд величин, характеризующих цепь синусоидального тока.

Величину

называют комплексным сопротивлением цепи с последовательным соединением элементов R, L, C. Заметим, что в этом случае комплексные сопротивления отдельных участков цепи складываются, как и сопротивления цепи постоянного тока.

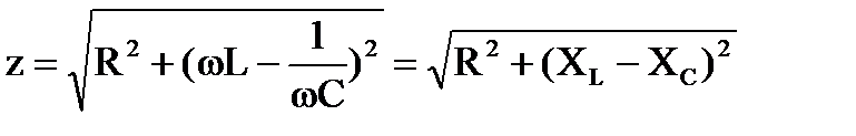
Запишем комплексное сопротивление в показательной форме:

Модуль комплексного сопротвления

называют полным сопротивлением цепи.

Аргумент комплексного сопротивления

- угол сдвига фаз между входным напряжением и током.

При угол φ>0, ток отстает по фазе от напряжения. При угол φ <0, ток опережает напряжение по фазе. При угол φ=0, ток совпадает по фазе с напряжением и цепь ведет себя как чисто активное сопротивление. Такой режим работы цепи называют резонансным.

 







Date: 2015-07-24; view: 686; Нарушение авторских прав



mydocx.ru - 2015-2026 year. (0.363 sec.) Все материалы представленные на сайте исключительно с целью ознакомления читателями и не преследуют коммерческих целей или нарушение авторских прав - Пожаловаться на публикацию