Главная Случайная страница


Полезное:

Как сделать разговор полезным и приятным Как сделать объемную звезду своими руками Как сделать то, что делать не хочется? Как сделать погремушку Как сделать так чтобы женщины сами знакомились с вами Как сделать идею коммерческой Как сделать хорошую растяжку ног? Как сделать наш разум здоровым? Как сделать, чтобы люди обманывали меньше Вопрос 4. Как сделать так, чтобы вас уважали и ценили? Как сделать лучше себе и другим людям Как сделать свидание интересным?


Категории:

АрхитектураАстрономияБиологияГеографияГеологияИнформатикаИскусствоИсторияКулинарияКультураМаркетингМатематикаМедицинаМенеджментОхрана трудаПравоПроизводствоПсихологияРелигияСоциологияСпортТехникаФизикаФилософияХимияЭкологияЭкономикаЭлектроника






Линейные элементы R, L, C в цепи синусоидального тока





Лабораторная работа № 3

ИССЛЕДОВАНИЕ РЕЖИМОВ РАБОТЫ ЦЕПЕЙ

Синусоидального ТОКА

Цель работы: экспериментальное определение параметров пассивных элементов электрической цепи; исследование свойств электрической цепи с последовательным и параллельным соединением R, L, C элементов; получение навыков построения векторных диаграмм по опытным данным.

Теоретические сведения

Синусоидальный ток. Основные понятия

Мгновенные значения синусоидальных тока и напряжения определяются выражениями

i(t)= Im sin(ωt + ψi), u(t)= Um sin(ωt + ψu),

где Im, Um – амплитудные значения тока и напряжения;

(ωt + ψ) – фаза колебания, аргумент синусоидальной функции;

ω [рад/с] – угловая частота, которая может быть определена как ω =2πf = 2π/T;

f [Гц] – линейная частота; Т [c] – период колебаний;

ψi , ψu - начальные фазы тока и напряжения, которые отсчитываются от начала координат до ближайшей точки на оси абсцисс перехода синусоидальной функции через ноль от отрицательных к положительным ее значениям. Начальная фаза может быть положительной, отрицательной и равной нулю. При ψ>0 начало синусоиды сдвинуто влево относительно начала координат, при ψ < 0 – вправо, а при ψ = 0 синусоида имеет начало в начале координат.

На рис. 3.1 построены временные графики мгновенных значений тока и напряжения одинаковой частоты:

i(t)= Im sin(ωt + ψi), u(t)= Um sin(ωt + ψu).

Угол, на который синусоида тока сдвинута относительно синусоиды напряжения, называют углом сдвига фаз φ и определяют как разность начальных фаз напряжения и тока:

φ = ψu – ψi.

 

φ
ψu
ψi
i,u
i(t)
u(t)
Im
Um
ωt

Рис. 3.1

 

Большинство измерительных приборов измеряют действующие значения токов и напряжений. Поэтому расчеты в цепях синусоидального тока чаще всего выполняются по действующим значениям, которые связаны с амплитудными следующими соотношениями: , .

Линейные элементы R, L, C в цепи синусоидального тока

R
uR(t)
i(t)
Резистивный элемент. Резистивный элемент как элемент схемы соответствует элементу цепи – резистору с сопротивлением R, если последний идеализирован, то есть этот элемент учитывает необратимые потери электрической энергии и пренебрегает энергиями электрического и магнитного полей.

При синусоидальном токе, протекающем по резистивному элементу i(t)= Imsin(ωt + ψi), напряжение на его зажимах и ток связаны законом Ома:

uR (t) = R i(t)= R Im sin(ωt + ψi) = URm sin(ωt + ψu).

Амплитудные и действующие значения тока и напряжения на резистивном элементе также связаны законом Ома:

URm = RIm, UR = RI.

ψi
i,u
ωt
i
uR
pu
а)
ψiu
+j
+1
б)
Рис. 3.2  

Из полученного выражения для мгновенного значения напряжения видно, что начальные фазы напряжения и тока одинаковы, то есть напряжение и ток резистивного элемента совпадают по фазе. На рис. 3.2, а представлены временные диаграммы тока и напряжения. При построении временных диаграмм начальная фаза тока принята положительной, ψi > 0.

Если синусоидальную функцию времени i(t)=Im sin(ωt+ψi) заменить изображающей ее комплексной величиной, то закон Ома в комплексной форме запишется следующим образом:

где , - комплексные амплитуды.

Или для действующих комплексных величин

.

Векторы, изображающие синусоидальные функции времени, представлены на векторной диаграмме рис. 3.2, б.

Мгновенная мощность резистивного элемента

p(t) = uR·i = URm sin(ωt + ψu)·Im sin(ωt + ψi) =

= URm Im sin2(ωt + ψi)= URm Im =

= .

Временная диаграмма мгновенной мощности представлена на рис. 3.2, а. Из графика хорошо видно, что вся энергия, поступающая в резистивный элемент, расходуется в нем и не возвращается генератору.

Среднее значение мгновенной мощности за время, равное периоду синусоидального тока, называется активной мощностью:

uL(t)
i(t)
L
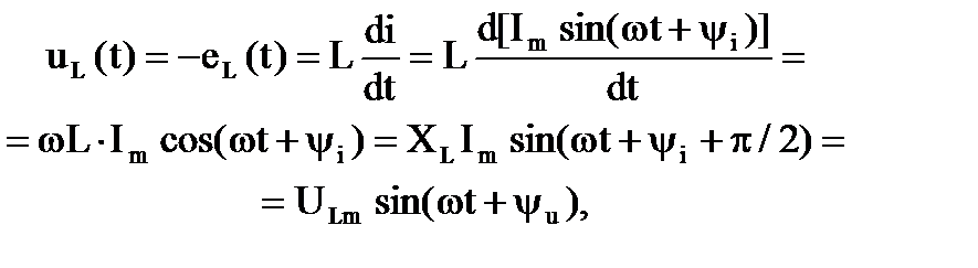
Индуктивный элемент. Идеальная индуктивная катушка с индуктивностью L учитывает энергию магнитного поля и явление самоиндукции. В этом случае пренебрегают потерями электромагнитной энергии и наличием энергии электрического поля.


Напряжение на зажимах индуктивного элемента при протекании синусоидального тока i(t)=Im sin(ωt + ψi) будет определяться:

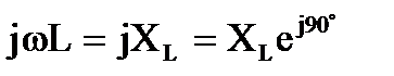
где - индуктивное реактивное сопротивление синусоидальному току;

- амплитудное значение напряжения на индуктивном элементе;

- начальная фаза напряжения, то есть напряжение на индуктивном элементе опережает свой ток на угол π/2.

При переходе к действующим значениям имеем

В комплексной форме записи:

Для действующих комплексных значений

φ
ψu
ψi
+j
+1
>
π/2
ψi
ψu
ωt
-
-
+
+
i, uL, p
uL(t)
i(t)
pL(t)
а)
б)
Рис. 3.3

здесь - индуктивное реактивное сопротивление в комплексной форме записи.

На рис. 3.3, а представлена временная диаграмма тока и напряжения индуктивного элемента. На рис. 3.3, б построена векторная диаграмма для действующих комплексных значений тока и напряжения.

Угол сдвига фаз φ на векторной диаграмме показывается стрелкой, направленной от вектора тока к вектору напряжения.

Мгновенная мощность индуктивного элемента может быть определена:

Как видно из полученного выражения, мгновенная мощность изменяется по синусоидальному закону с частотой в два раза больше, чем частота тока. График мгновенной мощности для индуктивного элемента представлен на рис. 3.3, а. Среднее значение мгновенной мощности за период равно нулю. В те промежутки времени, когда значение мгновенного тока увеличивается, мощность имеет положительное значение, энергия передается от генератора к индуктивному элементу и накапливается в нем. Когда же мгновенный ток уменьшается, мощность имеет отрицательное значение, энергия возвращается от индуктивного элемента к генератору. Для того чтобы количественно охарактеризовать обменные процессы магнитной энергией между источником и индуктивным элементом, вводят понятие индуктивной реактивной мощности, величина которой принимается равной амплитудному значению мгновенной мощности:

uС(t)
i(t)
С
Емкостный элемент. Идеальный конденсатор с емкостью С учитывает только энергию электрического поля , пренебрегая при этом необратимым расходом энергии в диэлектрике и наличием энергии магнитного поля.

Ток ветви с конденсатором определяется:

или

В приведенных выражениях: - амплитудное значение напряжения конденсатора;

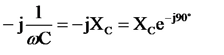
- реактивное емкостное сопротивление синусоидальному току;

ψu=(ψi - π/2) – начальная фаза напряжения, то есть напряжение на емкостном элементе отстает от своего тока на угол π/2.

Для действующих значений:

В комплексной форме записи:

здесь - реактивное емкостное сопротивление в комплексной форме записи.

На рис. 3.4, а и б представлены временная и векторная диаграммы тока и напряжения емкостного элемента.

Мгновенная мощность емкостного элемента:

Временная диаграмма мгновенной мощности построена на рис. 3.4, а. Из графика мгновенной мощности следует, что среднее значение мощности за период также, как и у индуктивного элемента, равна нулю. В те промежутки времени, когда напряжение на емкостном элементе увеличивается, конденсатор заряжается, то есть энергия поступает от генератора к элементу (мощность положительна). В те промежутки времени, когда напряжение уменьшается, емкостный элемент возвращает генератору накопленную энергию (мощность от

φ
ψu
ψi
+j
+1
-π/2
ψi
ψu
i, uС, p
pС(t)
ωt
i(t)
uC(t)
-
+
+

рицательна).


а) б)

Рис. 3.4

 

Для того чтобы количественно охарактеризовать эти обменные процессы, вводят понятие реактивной емкостной мощности, величина которой принимается равной амплитудному значению мгновенной мощности:

Как видно из временных диаграмм (рис. 3.3 и 3.4), в каждый момент времени индуктивная и емкостная мгновенные мощности находятся в противофазе. При расчете суммарной реактивной мощности значение индуктивной реактивной мощности берется положительным, а емкостной реактивной мощности - отрицательным.







Date: 2015-07-24; view: 1196; Нарушение авторских прав



mydocx.ru - 2015-2026 year. (1.732 sec.) Все материалы представленные на сайте исключительно с целью ознакомления читателями и не преследуют коммерческих целей или нарушение авторских прав - Пожаловаться на публикацию