Главная Случайная страница


Полезное:

Как сделать разговор полезным и приятным Как сделать объемную звезду своими руками Как сделать то, что делать не хочется? Как сделать погремушку Как сделать так чтобы женщины сами знакомились с вами Как сделать идею коммерческой Как сделать хорошую растяжку ног? Как сделать наш разум здоровым? Как сделать, чтобы люди обманывали меньше Вопрос 4. Как сделать так, чтобы вас уважали и ценили? Как сделать лучше себе и другим людям Как сделать свидание интересным?


Категории:

АрхитектураАстрономияБиологияГеографияГеологияИнформатикаИскусствоИсторияКулинарияКультураМаркетингМатематикаМедицинаМенеджментОхрана трудаПравоПроизводствоПсихологияРелигияСоциологияСпортТехникаФизикаФилософияХимияЭкологияЭкономикаЭлектроника






Розрахунок виробничої собівартості одиниці продукції





 

До виробничої собівартості продукції, робіт, послуг включаються:

прямі матеріальні витрати,

прямі витрати на оплату плати,

інші прямі витрати,

загальновиробничі витрати, які поділяються на змінні та постійні. Постійні загальновиробничі витрати поділяються, в свою чергу, на розподілені та нерозподілені.

Решта витрат, такі як адміністративні витрати, витрати на збут та інші витрати операційної діяльності в виробничу собівартість продукції не включаються.

Розрахунок виробничої собівартості одиниці продукції передбачає визначення таких статей витрат:

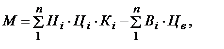
К.1 Витрати на матеріали М, які розраховуються окремо по кож­ному виду матеріалів за формулою:

грн., (К.1)

де n – кількість видів матеріалів;

Нi – витрати матеріалу i-го найменування, кг;

Ці – вартість матеріалу i-го найменування, грн./кг.;

Кі коефіцієнт транспортних витрат, Кі = 1,1...1,15;

Ві – маса відходів i-го найменування, кг;

Цв – ціна відходів i-го найменування, грн./кг.

Зроблені розрахунки бажано звести до таблиці:

Найменування матеріалу, марка, тип, сорт Ціна за 1 кг, грн. Витрачено, кг Величина відходів, кг Ціна відходів, грн./кг   Вартість витраченого матеріалу, грн. Примітка  
1.............            
2............            
3............            
Всього М  

К.2 Витрати на комплектуючі К, які розраховуються за формулою:

грн., (К.2)

де n – кількість видів матеріалів;

Ні – кількість комплектуючих i-го виду, шт.;

Ці – покупна ціна комплектуючих i-го виду, грн.;

Кі – коефіцієнт транспортних витрат, Кі = 1,1...1,15.

Зроблені розрахунки бажано звести до таблиці:

Найменування комплектуючих Кількість Ціна за штуку, грн. Сума, грн. Примітка
1...............        
2................        
3................        
Всього К  

К.3 Витрати на силову електроенергію Ве розраховуються за фор­мулою:

грн., (К.3)

де В – вартість 1 кВт-години електроенергії, яка в 2007 році складала В = 0,40 грн./кВт;

П – установлена потужність обладнання, кВт;

Ф – фактична кількість годин роботи обладнання, яке задіяне на виготовлення одного виробу, годин;

Кп – коефіцієнт використання потужності, Кп < 1.

 

К.4 Витрати на основну заробітну плату робітників Зр розрахо­вуються за формулою:

грн., (К.4)

де n – число робіт по видах та розрядах;

ti – норма часу на виконання конкретної операції, годин;

Кс – коефіцієнт співвідношень, установлений Генеральною тарифною угодою між урядом і профспілками, Кс =1...5;

Сі – погодинна тарифна ставка робітника відповідного розряду, який виконує певну роботу, грн./год.:

грн./годину, (К.5)

де Мм – мінімальна місячна оплата праці робітників, грн. З 1.07.2007 р. Мм = 420 грн.;

Кi – тарифний коефіцієнт робітника даного розряду (див. до­даток М);

Тр – число робочих днів в місяці; приблизно Тр = 21...23 дні;

Тзм – тривалість зміни, Тзм = 8 годин.

Зроблені розрахунки бажано звести до таблиці:

Найменування робіт Трудоміст­кість, н.-годин Розряд роботи Погодинна тарифна ставка, грн. Величина оплати, грн. Примі­тка
1 Монтажні          
2 Налагоджувальні          
3..............          
Всього ЗР  

 

К.5 Додаткова заробітна плата Зд робітників розраховується як 10... 12 % від основної заробітної плати робітників.

К.6 Нарахування на заробітну плату Нзп робітників розраховую­ться як 37,2...40 % від суми основної та додаткової заробітної плати робітників, тобто, від суми (Зрд), (див. додаток М).

К.7 Розрахунок загальновиробничих статей витрат.

Загальновиробничі витрати охоплюють:

витрати на управління організацією,

оплату службових відряджень,

витрати на утримання, ремонт та експлуатацію основних засобів,

витрати на опалення, освітлення, водопостачання, охорону праці тощо.

Змінні загальновиробничі витрати розподіляються на одиницю продукції пропорційно установленій базі розподілу (годинам праці, заробітній платі, обсягу діяльності тощо), виходячи із фактичної потужності підприємства в звітному періоді.


Постійні розподілені загальновиробничі витрати розподіляються на кожен об'єкт пропорційно установленій базі розподілу (годинам праці, заробітній платі, обсягу діяльності тощо), виходячи із нормативної потужності підприємства. Постійні нерозподілені загальновиробничі витрати включаються до складу реалізованої продукції в період їх виникнення.

Величину загальновиробничих витрат в розрахунку на одиницю продукції можна розрахувати за нормативами відносно до основної заробітної плати основних робітників, які виготовлять цю продукцію.

Конкретні нормативи розподілу загальновиробничих витрат наведені в таблиці К1:

Таблиця К1 – Нормативи загальновиробничих витрат (в % до основної заробітної плати основних робітників.

Витрати     Види техніки
ЕОМ Вимірю­вальна Електроніка Радіотехніка Механ. устатку­вання Інші
Загально-виробни­чі витрати – ЗВ 230-270 170-200 210-280 150-190 250-280 180-260

К.8 Сума всіх попередніх статей витрат утворює виробничу собівартість одиниці продукції - Sв.

 







Date: 2015-07-24; view: 625; Нарушение авторских прав



mydocx.ru - 2015-2026 year. (0.659 sec.) Все материалы представленные на сайте исключительно с целью ознакомления читателями и не преследуют коммерческих целей или нарушение авторских прав - Пожаловаться на публикацию