Главная Случайная страница


Полезное:

Как сделать разговор полезным и приятным Как сделать объемную звезду своими руками Как сделать то, что делать не хочется? Как сделать погремушку Как сделать так чтобы женщины сами знакомились с вами Как сделать идею коммерческой Как сделать хорошую растяжку ног? Как сделать наш разум здоровым? Как сделать, чтобы люди обманывали меньше Вопрос 4. Как сделать так, чтобы вас уважали и ценили? Как сделать лучше себе и другим людям Как сделать свидание интересным?


Категории:

АрхитектураАстрономияБиологияГеографияГеологияИнформатикаИскусствоИсторияКулинарияКультураМаркетингМатематикаМедицинаМенеджментОхрана трудаПравоПроизводствоПсихологияРелигияСоциологияСпортТехникаФизикаФилософияХимияЭкологияЭкономикаЭлектроника






Тригонометрическая и показательная форма комплексного числа





В данном параграфе больше речь пойдет о тригонометрической форме комплексного числа. Показательная форма в практических заданиях встречается значительно реже. Рекомендую закачать и по возможности распечатать тригонометрические таблицы, методический материал можно найти на странице Математические формулы и таблицы. Без таблиц далеко не уехать.

Любое комплексное число (кроме нуля) можно записать в тригонометрической форме:
, где – это модуль комплексного числа, а аргумент комплексного числа. Не разбегаемся, всё проще, чем кажется.

Изобразим на комплексной плоскости число . Для определённости и простоты объяснений расположим его в первой координатной четверти, т.е. считаем, что :

Модулем комплексного числа называется расстояние от начала координат до соответствующей точки комплексной плоскости. Попросту говоря, модуль – это длина радиус-вектора, который на чертеже обозначен красным цветом.

Модуль комплексного числа стандартно обозначают: или

По теореме Пифагора легко вывести формулу для нахождения модуля комплексного числа: . Данная формула справедлива для любых значений «а» и «бэ».

Примечание: модуль комплексного числа представляет собой обобщение понятия модуля действительного числа, как расстояния от точки до начала координат.

Аргументом комплексного числа называется угол между положительной полуосью действительной оси и радиус-вектором, проведенным из начала координат к соответствующей точке. Аргумент не определён для единственного числа: .

Рассматриваемый принцип фактически схож с полярными координатами, где полярный радиус и полярный угол однозначно определяют точку.

Аргумент комплексного числа стандартно обозначают: или

Из геометрических соображений получается следующая формула для нахождения аргумента:
. Внимание! Данная формула работает только в правой полуплоскости! Если комплексное число располагается не в 1-ой и не 4-ой координатной четверти, то формула будет немного другой. Эти случаи мы тоже разберем.

Но сначала рассмотрим простейшие примеры, когда комплексные числа располагаются на координатных осях.

Пример 7

Представить в тригонометрической форме комплексные числа: , , , .
Выполним чертёж:

На самом деле задание устное. Для наглядности перепишу тригонометрическую форму комплексного числа:

Запомним намертво, модуль – длина (которая всегда неотрицательна), аргумент – угол.

1) Представим в тригонометрической форме число . Найдем его модуль и аргумент. Очевидно, что . Формальный расчет по формуле: .
Очевидно, что (число лежит непосредственно на действительной положительной полуоси). Таким образом, число в тригонометрической форме: .

Ясно, как день, обратное проверочное действие:

2) Представим в тригонометрической форме число . Найдем его модуль и аргумент. Очевидно, что . Формальный расчет по формуле: .
Очевидно, что (или 90 градусов). На чертеже угол обозначен красным цветом. Таким образом, число в тригонометрической форме: .

Используя таблицу значений тригонометрических функций, легко обратно получить алгебраическую форму числа (заодно выполнив проверку):

3) Представим в тригонометрической форме число . Найдем его модуль и аргумент. Очевидно, что . Формальный расчет по формуле: .
Очевидно, что (или 180 градусов). На чертеже угол обозначен синим цветом. Таким образом, число в тригонометрической форме: .

Проверка:

4) И четвёртый интересный случай. Представим в тригонометрической форме число . Найдем его модуль и аргумент. Очевидно, что . Формальный расчет по формуле: .

Аргумент можно записать двумя способами: Первый способ: (270 градусов), и, соответственно: . Проверка:

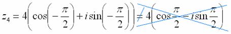
Однако более стандартно следующее правило: Если угол больше 180 градусов, то его записывают со знаком минус и противоположной ориентацией («прокруткой») угла: (минус 90 градусов), на чертеже угол отмечен зеленым цветом. Легко заметить, что и – это один и тот же угол.

Таким образом, запись принимает вид:

Внимание! Ни в коем случае нельзя использовать четность косинуса, нечетность синуса и проводить дальнейшее «упрощение» записи:

Кстати, полезно вспомнить внешний вид и свойства тригонометрических и обратных тригонометрических функций, справочные материалы находятся в последних параграфах страницы Графики и свойства основных элементарных функций. И комплексные числа усвоятся заметно легче!

В оформлении простейших примеров так и следует записывать: «очевидно, что модуль равен… очевидно, что аргумент равен...». Это действительно очевидно и легко решается устно.


Перейдем к рассмотрению более распространенных случаев. Как я уже отмечал, с модулем проблем не возникает, всегда следует использовать формулу . А вот формулы для нахождения аргумента будут разными, это зависит от того, в какой координатной четверти лежит число . При этом возможны три варианта (их полезно переписать к себе в тетрадь):

1) Если (1-ая и 4-ая координатные четверти, или правая полуплоскость), то аргумент нужно находить по формуле .

2) Если (2-ая координатная четверть), то аргумент нужно находить по формуле .

3) Если (3-я координатная четверть), то аргумент нужно находить по формуле .

Пример 8

Представить в тригонометрической форме комплексные числа: , , , .

Коль скоро есть готовые формулы, то чертеж выполнять не обязательно. Но есть один момент: когда вам предложено задание представить число в тригонометрической форме, то чертёж лучше в любом случае выполнить. Дело в том, что решение без чертежа часто бракуют преподаватели, отсутствие чертежа – серьёзное основание для минуса и незачета.

Эх, сто лет от руки ничего не чертил, держите:

Как всегда, грязновато получилось =)

Я представлю в комплексной форме числа и , первое и третье числа будут для самостоятельного решения.

Представим в тригонометрической форме число . Найдем его модуль и аргумент.

Поскольку (случай 2), то – вот здесь нечетностью арктангенса воспользоваться нужно. К сожалению, в таблице отсутствует значение , поэтому в подобных случаях аргумент приходится оставлять в громоздком виде:
– число в тригонометрической форме.

Расскажу о забавном способе проверки. Если вы будете выполнять чертеж на клетчатой бумаге в том масштабе, который у меня (1 ед. = 1 см), то можно взять линейку и измерить модуль в сантиметрах. Если есть транспортир, то можно непосредственно по чертежу измерить и угол.

Перечертите чертеж в тетрадь и измерьте линейкой расстояние от начала координат до числа . Вы убедитесь, что действительно . Также транспортиром можете измерить угол и убедиться, что действительно .

Представим в тригонометрической форме число . Найдем его модуль и аргумент.

Поскольку (случай 1), то (минус 60 градусов).

Таким образом:
– число в тригонометрической форме.

А вот здесь, как уже отмечалось, минусы не трогаем.

Кроме забавного графического метода проверки, существует и проверка аналитическая, которая уже проводилась в Примере 7. Используем таблицу значений тригонометрических функций, при этом учитываем, что угол – это в точности табличный угол (или 300 градусов):
– число в исходной алгебраической форме.

Числа и представьте в тригонометрической форме самостоятельно. Краткое решение и ответ в конце урока.

В конце параграфа кратко о показательной форме комплексного числа.

Любое комплексное число (кроме нуля) можно записать в показательной форме:
, где – это модуль комплексного числа, а – аргумент комплексного числа.

Что нужно сделать, чтобы представить комплексное число в показательной форме? Почти то же самое: выполнить чертеж, найти модуль и аргумент. И записать число в виде .

Например, для числа предыдущего примера у нас найден модуль и аргумент: , . Тогда данное число в показательной форме запишется следующим образом: .


Число в показательной форме будет выглядеть так:

Число – так:

И т.д.

Единственный совет – не трогаем показатель экспоненты, там не нужно переставлять множители, раскрывать скобки и т.п. Комплексное число в показательной форме записывается строго по форме .

 







Date: 2015-07-23; view: 691; Нарушение авторских прав



mydocx.ru - 2015-2026 year. (1.131 sec.) Все материалы представленные на сайте исключительно с целью ознакомления читателями и не преследуют коммерческих целей или нарушение авторских прав - Пожаловаться на публикацию