Главная Случайная страница


Полезное:

Как сделать разговор полезным и приятным Как сделать объемную звезду своими руками Как сделать то, что делать не хочется? Как сделать погремушку Как сделать так чтобы женщины сами знакомились с вами Как сделать идею коммерческой Как сделать хорошую растяжку ног? Как сделать наш разум здоровым? Как сделать, чтобы люди обманывали меньше Вопрос 4. Как сделать так, чтобы вас уважали и ценили? Как сделать лучше себе и другим людям Как сделать свидание интересным?


Категории:

АрхитектураАстрономияБиологияГеографияГеологияИнформатикаИскусствоИсторияКулинарияКультураМаркетингМатематикаМедицинаМенеджментОхрана трудаПравоПроизводствоПсихологияРелигияСоциологияСпортТехникаФизикаФилософияХимияЭкологияЭкономикаЭлектроника






Пример 2. Найти объем пирамиды построенной на векторах a = {1; 2; 3},b = {1; -1; 1}, c = {2; 0; -1}





Найти объем пирамиды построенной на векторах a = {1; 2; 3},b = {1; -1; 1}, c = {2; 0; -1}.

Решение: Найдем смешанное произведение этих векторов:

a · [b × с] =       =
  -1  
    -1


= 1·(-1)·(-1) + 2·1·2 + 3·1·0 - 3·(-1)·2 - 2·1·(-1) - 1·1·0 =

= 1 + 4 + 0 + 6 + 2 - 0 = 13

Найдем объем пирамиды воспользовавшись свойствами:

Vпир =   |a · [b × c]| =   = 2  
     


11.Общее уравнение прямой: Есть в тетрадке
12.Взаимное расположение двух прямых на плоскости:

Если две прямые l1 и l2 лежат на плоскости, то возможны три различных случая их взаимного расположения: 1)пересекаются (т.е. имеют одну общую точку); 2) параллельны и не совпадают; 3) совпадают.

Выясним, как узнать, какой из этих случаев имеет место, если эти прямые заданы своими уравнениями в общем виде:

(12)

Если прямые l1 и l2 пересекаются в некоторой точке М(х,у), то координаты этой точки должны удовлетворять обоим уравнениям системы (12).

Следовательно, чтобы найти координаты точки пересечения прямых l1 и l2, надо решить систему уравнений (12):
1) если система (12) имеет единственное решение, то прямые l1 и l2 пересекаются;
2) если система (12) не имеет решения, то прямые l1 и l2 параллельны;
3) если система (12) имеет множество решений, то прямые l1 и l2 совпадают.

Условием совпадения двух прямых является пропорциональность соответствующих коэффициентов их уравнений.

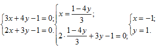
Пример 10. Пересекаются ли прямые 3х+4у-1=0 и 2х+3у-1=0?

Решение: Решим систему уравнений: система имеет единственное решение, следовательно прямые пересекаются. Точка пересечения прямых имеет координаты (-1;1).

Пример 11. Параллельны, ли прямые 2х-у+2=0 и 4х-2у-1=0?

Решение: Решим систему уравнений
Эта система не имеет решений, следовательно прямые параллельны.

Пример 12. Совпадают ли прямые х+у+1=0 и 3х+3у+3=0?

Решение: Совпадают, так как коэффициенты пропорциональны.

Пример 13. Составить уравнение прямой линии, проходящей через точку пересечения прямых х+у-1=0, х-у+2=0 и через точку (2,1).

Решение: Находим координаты точки пересечения двух данных прямых линий. Для этого решаем данные уравнения совместно. Складывая, находим: 2х+1=0, откуда
Вычитая из первого уравнения второе, получаем: 2у-3=0, откуда . Далее, остается составить уравнение прямой линии по двум точками () и (2;1)
Искомое уравнение будет , или или откуда или x+5y-7=0

 

 

13.уравнение плосккости в различных видах:

В тетрадке

 

14.Уравнение плоскости основаныена свойствах комплонарности

Есть в тетрадке

 

15Взаимное расположение плоскостей в пространстве:







Date: 2015-07-23; view: 936; Нарушение авторских прав



mydocx.ru - 2015-2026 year. (0.604 sec.) Все материалы представленные на сайте исключительно с целью ознакомления читателями и не преследуют коммерческих целей или нарушение авторских прав - Пожаловаться на публикацию