Главная Случайная страница


Полезное:

Как сделать разговор полезным и приятным Как сделать объемную звезду своими руками Как сделать то, что делать не хочется? Как сделать погремушку Как сделать так чтобы женщины сами знакомились с вами Как сделать идею коммерческой Как сделать хорошую растяжку ног? Как сделать наш разум здоровым? Как сделать, чтобы люди обманывали меньше Вопрос 4. Как сделать так, чтобы вас уважали и ценили? Как сделать лучше себе и другим людям Как сделать свидание интересным?


Категории:

АрхитектураАстрономияБиологияГеографияГеологияИнформатикаИскусствоИсторияКулинарияКультураМаркетингМатематикаМедицинаМенеджментОхрана трудаПравоПроизводствоПсихологияРелигияСоциологияСпортТехникаФизикаФилософияХимияЭкологияЭкономикаЭлектроника






Определениенадежноститеста





Тестобычно считается надежным, еслисегопомощью получаются одниитеже показатели длякаждого обследуемого приповторном тестировании.

Впсихометрике терминнадежность имеетдвазначения. Наодномизних— на- дежности повнутреннейсогласованности —мынебудемостанавливатьсяпод- робно,отсылая читателя ксоответствующим справочникам ируководствам1,от- метив только,чтотребование квнутренней согласованности тестанеслучайно. Вполне естественно считать,чтоеслинекоторая переменная измеряется частью теста,тодругиеегочасти,небудучисогласованными спервой,измеряют нечто другое.Длятогочтобыбытьвалидным,тестдолженбытьсогласованным. Суще- ствуетнесколько способов определения надежности.

Надежностьретестовая —предполагает повторное предъявление тогожесамо- готестатемжеиспытуемым ипримерно втехжеусловиях,чтопервоначальное,а затемустановление корреляции междудвумярядамиданных. Прииспользовании этогоспособаопределения надежности нужноотдаватьсебеотчетвтом,чтоиспыту- емыемогутзапомнить своиответыивоспроизвести ихвовторойраз,поэтомупо- вторноетестирование должнобытьотделеноотпервогоболее-менее значительным временным интервалом,обычно неменеемесяца. Некоторые психологи настаи- ваютнаинтервале междутестированиями неменее 6месяцев (Клайн,1994).

Мынесчитаем требование П.Клайна обобязательном 6месячном интервале междутестированиями безусловным. Вподтверждение сошлемся нарезультаты исследования канадских психологов. Спомощью личностного опросника были обследованы 302студентасинтервалом в3недели. Условия повторного тестиро- ванияварьировались. Стандартный коэффициент ретестовойнадежности,равный

0,872,неотличался откоэффициентов надежности,полученных втрехгруппах испытуемых,получавших однуизтрехспецифических инструкций: 1)продумы- ватьответы; 2)использовать воспоминания опрошлых ответах; 3)выполнять параллельную форму теста. Было обнаружено,чтостандартный коэффициент надежности вышекоэффициента,полученного приинструкции воспроизводить прошлые ответы.

Наименьшим удовлетворительным значением дляретестовой надежности яв- ляетсякоэффициент корреляции,равный 0,7.Правда,длянекоторых тестовэтот показатель можетбытьнесколько ниже.

 

 

 
Изданный поднашейредакциейпереводсанглийскогокнигиП.Клайна«Справочноеруководство

по конструированию тестов»(Киев,1994),пока,ксожалению,единственная на русскомязыкедос- таточноподробная работапоконструированию тестов,можетудовлетворитьинтересчитателяк этойпроблеме.


 

 

Надежность параллельныхформ предусматривает создание эквивалентных формопросника ипредъявление иходним итемжеиспытуемым длятого, чтобы затемоценить корреляцию междуполученными результатами. Основная пробле- ма,препятствующая широкому распространению этогоспособа определения на- дежности,—необходимость подготовки двухнаборов заданий,чточрезвычайно сложно,поскольку требуются убедительные доказательства ихэквивалентности.

Надежностьчастейтеста определяетсяпутемделенияопросника надвечас- ти(обычно начетныеинечетные задания),послечегоирассчитывается корреля- циямеждуэтими частями. Обычно кэтомуспособуопределения надежности ре- комендуется прибегать только втехслучаях,когданеобходимо быстро получить результаты.

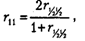
Для определения ретестовой надежности инадежности параллельных форм корреляции подсчитывается наоснове коэффициента произведения моментов Пирсона. Этапроцедура подсчета рассматривалась нами ранее,вразделе,посвя- щенном анализузаданий. Дляопределения надежности частейтестаранеерассчи- танный коэффициент произведения моментов Пирсона (междудвумя полови- нами теста) используется вформуле Спирмена—Брауна. Формула Спирмена— Брауна имеетвид:

 
 
где—надежность,оцененная длявсегоопросника; —корреляция междудву- мяполовинами опросника.

Например,есликоэффициент корреляции произведения моментов Пирсона междудвумяполовинами тестаравен 0,80,то:

 

Подчеркнем,чтонаилучшей процедурой определения надежности является проведение повторных исследований черезболееилименеезначительные времен- ныеинтервалы.

Всеисследования надежности должны выполняться надостаточно больших (рекомендуется 200иболееиспытуемых) ирепрезентативных выборках. Надеж- ность—важная характеристика теста,носамапосебеценности непредставляет. Онанеобходима длядостижения валидности.

 







Date: 2015-07-23; view: 304; Нарушение авторских прав



mydocx.ru - 2015-2026 year. (1.493 sec.) Все материалы представленные на сайте исключительно с целью ознакомления читателями и не преследуют коммерческих целей или нарушение авторских прав - Пожаловаться на публикацию