Главная Случайная страница


Полезное:

Как сделать разговор полезным и приятным Как сделать объемную звезду своими руками Как сделать то, что делать не хочется? Как сделать погремушку Как сделать так чтобы женщины сами знакомились с вами Как сделать идею коммерческой Как сделать хорошую растяжку ног? Как сделать наш разум здоровым? Как сделать, чтобы люди обманывали меньше Вопрос 4. Как сделать так, чтобы вас уважали и ценили? Как сделать лучше себе и другим людям Как сделать свидание интересным?


Категории:

АрхитектураАстрономияБиологияГеографияГеологияИнформатикаИскусствоИсторияКулинарияКультураМаркетингМатематикаМедицинаМенеджментОхрана трудаПравоПроизводствоПсихологияРелигияСоциологияСпортТехникаФизикаФилософияХимияЭкологияЭкономикаЭлектроника






Проектирование выходного формирователя





Принципиальная схема выходного формирователя приведена на рисунке 4.6, в соответствии с этой схемой производится расчет и выбор элементов выходного формирователя.

Рисунок 4.6 - Схема электрическая принципиальная выходного формирователя

Транзистор n-р-n типа КТ223.

Резистор R1 ограничивает ток базы на допустимом уровне. Его сопротивление определяется на основе максимально возможного напряжения на базе транзистора по формуле (4.3).

Диод VD1 препятствует появлению напряжения обратной полярности на переходе коллектор-эмиттер транзистора.

Диод VD2 предназначен для того, чтобы не допустить появление обратной полярности на управляющем электроде тиристора. Эти диоды выбираются с максимально обратным напряжением и номинальным прямым током.

6 MW7pwqCL0Nf7WAy6MHezHJAuYtxTx8DaHQkrusCg3XxyTwJ7ySkmq4pYVYSfJls7b2WoIno1bunC pAvY86g2h6zoYqUgwYGFfdNFFMFRUbV/CXYrASUYzgWo/JDJA51YOh5WRBWHMa13sW/vQi/Hj4Uu gPnEyXMh+6hT8vxou5kW/Lg6y3/2PwAAAP//AwBQSwMEFAAGAAgAAAAhABt55L7hAAAADAEAAA8A AABkcnMvZG93bnJldi54bWxMj01Lw0AQhu+C/2EZwZvdpNbUxGxKKeqpCLaCeNtmp0lodjZkt0n6 752e9DYv8/B+5KvJtmLA3jeOFMSzCARS6UxDlYKv/dvDMwgfNBndOkIFF/SwKm5vcp0ZN9InDrtQ CTYhn2kFdQhdJqUva7Taz1yHxL+j660OLPtKml6PbG5bOY+iRFrdECfUusNNjeVpd7YK3kc9rh/j 12F7Om4uP/unj+9tjErd303rFxABp/AHw7U+V4eCOx3cmYwXLesoTRlVME+XIK5AnCx5zIGvZJEs QBa5/D+i+AUAAP//AwBQSwECLQAUAAYACAAAACEAtoM4kv4AAADhAQAAEwAAAAAAAAAAAAAAAAAA AAAAW0NvbnRlbnRfVHlwZXNdLnhtbFBLAQItABQABgAIAAAAIQA4/SH/1gAAAJQBAAALAAAAAAAA AAAAAAAAAC8BAABfcmVscy8ucmVsc1BLAQItABQABgAIAAAAIQBGp5hIOQYAABNAAAAOAAAAAAAA AAAAAAAAAC4CAABkcnMvZTJvRG9jLnhtbFBLAQItABQABgAIAAAAIQAbeeS+4QAAAAwBAAAPAAAA AAAAAAAAAAAAAJMIAABkcnMvZG93bnJldi54bWxQSwUGAAAAAAQABADzAAAAoQkAAAAA ">

Изм.
Лист
№ докум.
Подпись
Дата
Лист
   
КП 28П3к.08.00.00.000 ПЗ
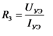
Резистор R2 ограничивает ток управляющего электрода тиристора на допустимом уровне, его сопротивление определяется, исходя из максимально возможного значения напряжения в цепи управляющего электрода по формуле

 

(4.7)

 

Поставим значения в формулу (4.7)

 

 

где UУЭ - напряжение в цепи управляющего электрода тиристора, В;

IУЭ - максимальный ток управляющего электрода тиристора, А.

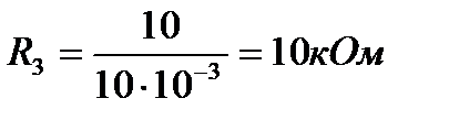
Резистор R3 и конденсатор С1 представляют собой R-C фильтр.

Изм.
Лист
№ докум.
Подпись
Дата
Лист
   
КП 28П3к.08.00.00.000 ПЗ
Транзистор VT1 выбран ранее КТ 201, резистор R1 марки МЛТ-0,125 10 кОМ ±5%[4], диоды VD1,VD2 выбираем марки D223, резисторR2 марки МЛТ-0,125 75 Ом ± 5%, резисторR3 марки МЛТ-0,125 10 Ом ± 5%.выбираем конденсатор С1 серии К7363-1 мкф ±10%

 

 

Изм.
Лист
№ докум.
Подпись
Дата
Лист
   
КП 28П3к.08.00.00.000 ПЗ
5 Проектирование полной принципиальной схемы преобразователя

Полнаяпринципиальная схема преобразователя представлена в графической части (КП 28П3к. 08.00.00.000 Э3)

Схема получает питания от трехфазной сети переменного тока(380В,50Гц) защита схемы от токов короткого замыкания выполняется автоматическим выключателем QF1. Трансформатор TV1 служит для понижения напряжения подводимого к двигателю. Предохранители FU1,FU2,FU3 служат для защиты тиристоров VS2, VS4,VS6.

Защита от перенапряжений осуществляется шунтированием тиристора RC-цепочки. Сглаживающий дроссель D1в цепи якоря ДПТ необходим для сглаживания пульсации токов.

Для включения системы импульсно фазового управления используют кнопку «Пуск» и SB2- «Стоп». Предохранители FU4,FU5, FU6 выполняют дополнительную функцию защиты от токов короткого замыкания в системе управления. Трансформатор TV2 служит для синхронизации системы импульсно фазового управления (СИФУ) с напряжением сети

Устройство синхронизации (УС) - обеспечивает гальваническую развязку системы управления с питающей сетью.

Генератор опорного напряжения (ГОН) – осуществляет формирования пилообразного опорного напряжения.

Ноль-орган (НО)- сравнивает пилообразное напряжения и напряжения управления.

Формирователь длительности импульсов (ФДИ) – формирует прямоугольные сигналы импульсы достаточной для надежного открывания тиристоров.

Распределитель импульсов (РИ) – служит для распределения импульсов по тиристорам.

Входные формирователи (ВФ) – формирует управляющие импульсы по мощности необходимого для надежного включения тиристоров.

По включению автоматического выключателя QF1 на двигатель М1 через преобразователь будет подаваться напряжения постоянного тока величина которого будет регулироваться СИФУ.


Перечень элементов схемы представлено в приложении А. (КП28П3к.08.00.00.000 ПЭ3)

 

 

Изм.
Лист
№ докум.
Подпись
Дата
Лист
   
КП 28П3к.08.00.00.000 ПЗ
6Расчет и построение внешней характеристики преобразователя

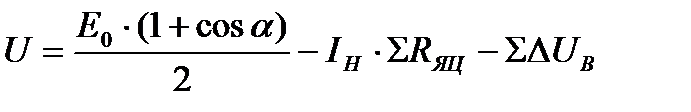
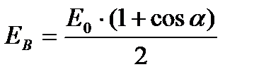
Внешней характеристикой преобразователя называется зависимость выходной ЭДС выпрямителя Edот тока нагрузки Iн при постоянном угле открывания тиристоров ос, или Ed = f(I) при а = const.

В общем- случае, без учета зоны прерывистого тока, внешний характеристика представляет собой семейство прямых, наклоненных к оси абсцисс, описываемых уравнениями для однофазных и трехфазных мостовых

 

, (6.1)

 

где a - угол открывания тиристоров, град;

ΣUЯЦ - суммарное активное сопротивление якорной цепи, Ом;

Σ∆UB - суммарное падение напряжения на СПП, В. Принимаем

Σ∆UB = 2В.

 

Поставим значения в формулу (6.1)

 

 

Характерные точки для построения внешней характеристики приведены в таблице 5

Таблица 5- Значения характерных точек для построения внешних характеристик

U1 85,31В
U2 90,13В
U3 19,В
U4 95,43В
U5 70,79В
U6 4,69В

 

Однако в области малых токов существует, так называемая зона прерывистого тока, представляющая собой эллипс с полуосями, равными соответственно Ео и Irp мах. В зоне прерывистого тока внешние характеристики представляют собой отрезки параболы, соединяющей точку пересечения границы зоны прерывистого тока и прямой, имеющей значение Ео.

Зададимся диапазоном регулирования двигателя (D =10), и построим внешние характеристики для значений угла открывания вентилей α, соответствующихскорости двигателя ωн, 0,5 ωн и 0,1 ωн

Воспользовавшись номинальными значениями скорости двигателя, тока якоря, напряжения на якоре и сопротивления якоря можно найти коэффициент Се

 

(6.2)

 

 

Поставим значения в формулу (6.2)

 

Изм.
Лист
№ докум.
Подпись
Дата
Лист
   
КП 28П3к.08.00.00.000 ПЗ

 

Суммарное активное сопротивление якорной цепи двигателя рассчитывается по формуле

ΣRЯЦ=RЯ + RДП +RДР + RП(6.3)

 

гдеRЯ - сопротивление якоря двигателя, Ом (по' заданию);

RДП - сопротивление дополнительных полюсов, Ом (по заданию);

RДР - активное сопротивление сглаживающего дросселя, Ом;

RП - сопротивление перекрытия анодов вентилей, Ом.

 

Поставим значения в формулу (6.3)

 

ΣRЯЦ= 0,12 + 0,04 + 0,12 + 0,89=1,17 Ом

 

Активное сопротивление сглаживающего дросселя определяем по формуле

 

(6.4)

 

Поставим значения в формулу (6.4)

 


 

Сопротивление перекрытия анодов вентилей рассчитывается по формуле

 

(6.5)

 

 

Поставим значения в формулу (6.5)

 

Выразив значения cosα можно рассчитать углы открывания вентилей для однофазных и трехфазных мостовых

 

α = arccos (6.6)

 

Поставим значения в формулу (6.6)


 

 

α1 = arccos

 

Остальные значения углов открывания тиристоров приведены в таблице 5.2

 

Таблица 5.2-Значения углов открывания тиристоров

α1 50,11
α2 91,71
α3 124,05
α4 60,890
α5 100,35
α6 146,7

 

Зная значения угла открывания а по формуле (6.1), (6.2) рассчитывается.значение напряжения на якоре двигателя для токов равных номинальному току и IН=0,5, т.е. по двум точкам построим внешнюю характеристику выпрямителя для каждого из значении угла открывания а. Рассчитанные значения представляются в виде таблицы и строятся внешние характеристики.

Построение по результатам расчетов внешней характеристики преобразователя показано в графической части (КП 28П3к.08.00.00.000 Э8.1)

 

p G11QF7VDExXB01WGLg5NF9oaN3TRogtKdHLIhi7gmBlkCzUZIoemiyCQh1nRz+lCtlInf4lAlB8q paOTKsXD0IWhiyefNN3HGNHm+KnQBZ6VhpPnGP5pTsnLo+3tMly3z/Kf/wMAAP//AwBQSwMEFAAG AAgAAAAhAFirIpPiAAAADAEAAA8AAABkcnMvZG93bnJldi54bWxMj0FPwkAQhe8m/ofNmHiTbREK 1m4JIeqJmAgmxNvQHdqG7m7TXdry7x1Oepp5eS9vvslWo2lET52vnVUQTyIQZAuna1sq+N6/Py1B +IBWY+MsKbiSh1V+f5dhqt1gv6jfhVJwifUpKqhCaFMpfVGRQT9xLVn2Tq4zGFh2pdQdDlxuGjmN okQarC1fqLClTUXFeXcxCj4GHNbP8Vu/PZ8215/9/POwjUmpx4dx/Qoi0Bj+wnDDZ3TImenoLlZ7 0bCOXhg9KJjOeN4CcbJYgDjylsziOcg8k/+fyH8BAAD//wMAUEsBAi0AFAAGAAgAAAAhALaDOJL+ AAAA4QEAABMAAAAAAAAAAAAAAAAAAAAAAFtDb250ZW50X1R5cGVzXS54bWxQSwECLQAUAAYACAAA ACEAOP0h/9YAAACUAQAACwAAAAAAAAAAAAAAAAAvAQAAX3JlbHMvLnJlbHNQSwECLQAUAAYACAAA ACEALYCC9hUGAAATQAAADgAAAAAAAAAAAAAAAAAuAgAAZHJzL2Uyb0RvYy54bWxQSwECLQAUAAYA CAAAACEAWKsik+IAAAAMAQAADwAAAAAAAAAAAAAAAABvCAAAZHJzL2Rvd25yZXYueG1sUEsFBgAA AAAEAAQA8wAAAH4JAAAAAA== ">

Изм.
Лист
№ докум.
Подпись
Дата
Лист
   
КП 28П3к.08.00.00.000 ПЗ

 


 

Изм.
Лист
№ докум.
Подпись
Дата
Лист
   
КП 28П3к.08.00.00.000 ПЗ

Изм.
Лист
№ докум.
Подпись
Дата
Лист
   
КП 28П3к.08.00.00.000 ПЗ
7 Расчет и построение регулировочной характеристики преобразователя

 

Регулировочная характеристика выпрямителя представляет собой зависимость выходной ЭДС выпрямителя Ев от угла открывания вентилей а, или Eв = f(a) при в = Iconst, и описывается уравнениям для однофазных и трехфазных мостовых

 

(7.1)

 

Поставим значения в формулу (7.1)

 

 

Остальные значения напряжения для построения регулировочной характеристики приведены в таблице 6

 

Таблица 6-Значения напряжения для построения регулировочной характеристики

Ев1 268,74 В
Ев2 260,63 В
Ев3 237,30 В
Ев4 201,55 В
Ев5 157,70 В
Ев6 111,03 В
Ев7 67,185 В
Ев8 31,43В
Ев9 8,1В
Ев10 0 В

 


Изменяя величину угла открывания а, в пределах от 0 до 180 градусов для мостовых схем градусов для производится расчет значений Ев по формуле (7.1), результаты заносятся в таблицу. По результатам значений строится график регулировочной характеристики.

Построение по результатам расчетов регулировочной характеристики преобразователя показано в графической части (КП 28П3к.08.00.00.000 Э8.2)

 

 


 

Изм.
Лист
№ докум.
Подпись
Дата
Лист
   
КП 28П3к.08.00.00.000 ПЗ
8 Расчет и построение характеристики управления СИФУ

Характеристикой управления СИФУ называется зависимость угла открывания вентилей, а от напряжения управления Uy на входе СИФУ, или, а = f(Uy). Характеристика управления СИФУ, с учетом напряжения смещения. Описывается уравнением

(8.1)

 

Поставим значения в формулу (8.1)

 

 

Остальные значения для построения характеристики управления СИФУ приведены в таблице 7

 

Таблица 7-значения для построения характеристик управления СИФУ

1  
2  
3  
4  
5  
6  
7  
8  
9  
10  

 

где Ucm- напряжение смещения, В. Принимаем UCМ - 10В;

Uоп.мах - максимальное значение опорного напряжения, В. Принимаем

UОП.MAX= 10В.

Изменяя величину напряжения управления Uyв пределах от 0 до Ucmпроизводится расчет значений, а по формуле (8.1), результаты расчетов сводятся в таблицу. По результатам расчетов строится график характеристики управления СИФУ.

Построение по результатам расчетов характеристики управления СИФУ показано в графической части (КП 28П3к.08.00.00.000 Э8.3)

 


 

Изм.
Лист
№ докум.
Подпись
Дата
Лист
   
КП 28П3к.08.00.00.000 ПЗ
9 Расчет и построение характеристики управления преобразователя

 

Характеристикой управления выпрямителя называют зависимость выходной ЭДС от напряжения управления Uy на входе СИФУ. Характеристика управления преобразователя, с учетом напряжения смещения, описывается уравнениями: а) для однофазных и трехфазных мостовых

Изменяя величину напряжения управления Uy в пределах от 0 до Uсмпроизводится значений Ев по формуле (9.1),результаты расчетов сводятся в таблицу. По результатам расчетов строится график характеристики управления преобразователя.

(9.1)

 

Поставим значения в формулу (9.1)

 


 

Остальные значения для построения характеристики управления преобразователя приведены в таблице 8

 

Таблица 8-значения для построения характеристик управления

1 155,39
2 175,89
3 195,37
4 213,08
5 229,38
6 243,01
7 254,09
8 262,16
9 267,08
10 268,74

 

Построение по результатам расчетов характеристики управления преобразователя показано в графической части (КП 28П3к.08.00.00.000 Э8.4)


Изм.
Лист
№ докум.
Подпись
Дата
Лист
   
КП 28П3к.08.00.00.000 ПЗ
Заключения

В данном курсов проекте в соответствии с заданием был разработан трехфазный мостовой полу управляемый преобразователь. В ходе работы над проектом был произведен расчет и выбор силовых полупроводниковых приборов (СПП) по току, максимальному току, перегрузочной способности, напряжению так же выбран силовой трансформатор, сглаживающий дроссель, коммутационные аппараты и элементы защиты.

Спроектирована функциональная схема СИФУ произведен расчет и выбор элементов СИФУ. Полная принципиальная схема спроектированного СИФУ представлена в графической части курсового проекта.

Также были рассчитаны и построены и построены внешние характеристики преобразователя, регулировочная характеристика преобразователя, характеристика управления СИФУ, характеристика управления преобразователя.

 







Date: 2015-07-22; view: 692; Нарушение авторских прав



mydocx.ru - 2015-2026 year. (0.748 sec.) Все материалы представленные на сайте исключительно с целью ознакомления читателями и не преследуют коммерческих целей или нарушение авторских прав - Пожаловаться на публикацию