Главная Случайная страница


Полезное:

Как сделать разговор полезным и приятным Как сделать объемную звезду своими руками Как сделать то, что делать не хочется? Как сделать погремушку Как сделать так чтобы женщины сами знакомились с вами Как сделать идею коммерческой Как сделать хорошую растяжку ног? Как сделать наш разум здоровым? Как сделать, чтобы люди обманывали меньше Вопрос 4. Как сделать так, чтобы вас уважали и ценили? Как сделать лучше себе и другим людям Как сделать свидание интересным?


Категории:

АрхитектураАстрономияБиологияГеографияГеологияИнформатикаИскусствоИсторияКулинарияКультураМаркетингМатематикаМедицинаМенеджментОхрана трудаПравоПроизводствоПсихологияРелигияСоциологияСпортТехникаФизикаФилософияХимияЭкологияЭкономикаЭлектроника






I. Средства, применяемые при лечении заболеваний, вызванных патогенными грибами





1. При системных или глубоких микозах (кокцидиоидомикоз, паракокцидиомикоз, гистоплазмоз, криптококкоз, бластомикоз)

Антибиотики — амфотерицин В, микогептин

Производные имидазола — миконазол, кетоконазол

Производные триазола — итраконазол, флуконазол

2. При эпидермомикозах (дерматомикозах)

Антибиотики — гризеофульвин

Производные N-метилнафталина — тербинафин (ламизил)

Производные нитрофенола — нитрофунгин

Препараты йода — раствор йода спиртовой, калия йодид

II. Средства, применяемые при лечении заболеваний, вызванных условно-пато­генными грибами (например, при кандидамикозе)

Антибиотики — нистатин, леворин, амфотерицин В

Производные имидазола — миконазол, клотримазол

Бис-четвертичные аммониевые соли — декамин

При системных микозах (гистоплазмозе, криптококкозе, бластомикозе, кокцидиоидомикозе) один из основных лечебных препаратов — амфотерицин В (амфостатин, фунгизон). Он является полиеновым антибиотиком, продуцируемым Streptomyces nodosum. На бактерии, риккетсии и вирусы не влияет. Обладает пре­имущественно фунгистатическим эффектом, который связан с нарушением про­ницаемости клеточной мембраны грибов и ее транспортных функций. Избира­тельность противогрибкового действия амфотерицина В обусловлена тем, что он связывается с основным липидом клеточной стенки грибов эргостеролом (в клет­ках человека и бактерий основным липидом является холестерин). Устойчивость к амфотерицину В развивается медленно.

Из желудочно-кишечного тракта препарат всасывается плохо, поэтому его назначают внутривенно. Через гематоэнцефалический барьер амфотерицин В не проникает, в связи с чем при необходимости его инъецируют под оболочки моз­га. Кроме того, его вводят в полости тела, ингаляционно и используют местно. Из организма выделяется почками. Выведение препарата происходит очень мед­ленно (за неделю 20-40%).

Амфотерицин В обладает высокой токсичностью. Последнее усугубляется тем, что он кумулирует. Побочные эффекты наблюдаются часто, многие из них до­вольно серьезны. При применении амфотерицина В возникают диспепсические явления, лихорадка, снижение артериального давления, нефротоксические эф­фекты, анемия, гипокалиемия, нейротоксические нарушения, тромбофлебит, раз­нообразные аллергические реакции.

Лечение амфотерицином В следует проводить в стационаре при регуляр­ном контроле функции печени, почек, состава крови и содержания ионов калия в крови. При заболевании печени и почек амфотерицин В противопоказан.

Близким к амфотерицину В по химической структуре и противогрибковому спектру является антибиотик микогептин. Продуцируется он актиномицетом Streptoverticillium mycoheptinicum. Назначают препарат внутрь и наружно.

Синтетические соединения — производные имидазола и триазола, применяе­мые для лечения системных микозов, изменяют синтез эргостерола клеточной мембраны грибов. Это нарушает функцию клеточной мембраны и угнетает реп­ликацию грибов.

К производным имидазола для системного действия относятся миконазол, кетоконазол.

Миконазол вводят внутривенно, энтерально, редко — под оболочки мозга (че­рез гематоэнцефалический барьер он проходит плохо). Парентерально микона­зол используют при кокцидиоидомикозе, криптококкозе, паракокцидиомикозе, бластомикозе, а также при диссеминированном кандидамикозе. Миконазол при­меняют также местно при поражениях слизистой оболочки влагалища кандидами, при дерматомикозах. Препарат вызывает много побочных эффектов: тромбофле­бит, тошноту, анемию, гиперлипидемию, гипонатриемию, редко лейкопению, аллергические реакции и др. Частые побочные эффекты миконазола ограничи­вают его применение. Препарат менее токсичен, чем амфотерицин В.

Кетоконазол принимают внутрь. Он хорошо всасывается из пищеваритель­ного тракта и распределяется в большинстве тканей. Однако в ЦНС проходит пло­хо. Около 90% его связывается с белками плазмы крови. Метаболизируется кето­коназол в печени. Выделяется почками и с желчью, t1/2 ~ 8 ч. Применяют препарат при бластомикозе, гистоплазмозе, паракокцидиомикозе, онихомикозе, при по­ражении ряда слизистых оболочке Candida. Характеризуется значительной ток­сичностью. Обладает гепатотоксичностью. Могут возникать тошнота, рвота.

Из производных триазола для лечения системных микозов используют флуконазол, итраконазол.

Флуконазол (дифлукан, максосист) хорошо всасывается при энтеральном введении. В достаточных количествах проходит через гематоэнцефалический барьер. t1/2 ~ 30 ч. Выводится почками в неизмененном виде. Применяют при ме­нингите, вызванном грибами (например, при криптококкозе), при кокцидиои­домикозе, кандидамикозе. Побочные эффекты: диспепсические явления, угне­тение функций печени, кожные высыпания и др.


К этой же химической группе относится и траконазол. Вводят его энтераль­но. Всасывается вполне удовлетворительно. Через гематоэнцефалический барьер не проходит. Метаболизируется препарат в печени, t1/2 ~ 36 ч. Выделяется почка­ми. Применяется при гистоплазмозе, бластомикозе, кокцидиоидомикозе, канди­дамикозе. Побочные эффекты: диспепсические расстройства, головная боль, го­ловокружение, угнетение функции печени, аллергические кожные высыпания.

Препараты, применяемые для лечения дерматомикозов, включают антибиотик гризеофульвин и группу синтетических препаратов.

Гризеофульвин (грицин, грифульвин) продуцируется Penicillium griseofulvinum. По химическому строению отличается от других противогрибко­вых антибиотиков. Фунгистатическое действие гризеофульвина, по-видимому, связано с угнетением синтеза нуклеиновых кислот. На Candida, актиномицеты и другие грибы, вызывающие системные микозы, бактерии, риккетсии и вирусы он не влияет. При лечении дерматомикозов гризеофульвином устойчивости к нему не развивается.

Из желудочно-кишечного тракта препарат всасывается хорошо. Через 4-5 ч в крови обнаруживаются максимальные концентрации вещества. Гризеофульвин накапливается в значительных количествах в клетках, формирующих кератин, поэтому образующийся роговой слой кожи, волосы и ногти приобретают устой­чивость по отношению к грибам-дерматомицетам. Выделяется Гризеофульвин из организма медленно. Снижение его концентрации в плазме крови на 50% проис­ходит примерно через 20 ч. В организме большая часть препарата метаболизируется (в печени). Образовавшиеся при этом соединения и неизмененный гризеофульвин выводятся почками и кишечником.

Назначают препарат внутрь для резорбтивного действия при дерматомикозах. Местно применяют в мази в сочетании с диметилсульфоксидом (ДМСО). В про­цессе лечения при поражении волос целесообразно их периодически сбривать, при поражении ногтей — удалять их, а при поражении кожи — отслаивать ее рого­вой слой. Рационально комбинировать лечение гризеофульвином с местным при­менением других противогрибковых средств (см. ниже).

Эффективным синтетическим препаратом является тербинафин (ламизил). Он ингибирует синтез эргостерола, необходимого для формирования клеточной стенки грибов. Оказывает фунгицидное действие. Вводится внутрь. Накапливает­ся в коже, подкожной жировой ткани, ногтевых пластинках. Метаболизируется в печени. Метаболиты выделяются почками. Применяется в основном при онихомикозе (при поражении ногтей). Эффективен также при других дерматомикозах (трихофитии, микроспории), при поражении кожи Candida, отрубевидном лишае. Из побочных эффектов при энтеральном введении препарата отмечаются тош­нота, головная боль, кожная сыпь, иногда мышечные и суставные боли, редко неблагоприятное влияние на функцию печени. Применяют тербинафин и наружно в виде крема.

Местно при лечении грибковых заболеваний кожи используют ряд лекарствен­ных средств: миконазол, клотримазол, препараты ундециленовой кислоты и ее солей (например, мази «Цинкундан», «Ундецин», микосептин), нитрофунгин, препараты йода и др.


Для лечения кандидамикозов особенно часто применяют антибиотик ниста­тин (фунгистатин, микостатин). Продуцентом его является Streptomyces noursei, как и амфотерицин В, относится к антибиотикам полиеновой структуры. Фунги­статическое и фунгицидное действие нистатина связано с нарушением проница­емости клеточной мембраны грибов типа Candida. Резистентность к нистати­ну при лечении кандидамикозов обычно не развивается. На бактерии препарат действует только в очень высоких концентрациях, что не имеет практического значения.

При поражении кандидамикозом желудочно-кишечного тракта нистатин на­значают энтерально. Из кишечника он всасывается плохо. Применяют его также местно. При септической форме нистатин эффективен при приеме внутрь лишь в очень высоких дозах, позволяющих создать в крови фунгистатические концен­трации. В случае недостаточной эффективности нистатина при генерализован­ном кандидамикозе его заменяют амфотерицином В.

Переносится нистатин хорошо. Токсичность у него низкая. Из побочных эф­фектов иногда отмечаются диспепсические явления (тошнота, диарея).

При лечении кандидамикозов используют также леворин или его натриевую соль. Леворин относится к антибиотикам полиеновой группы. Продуцируется Streptomyces levoris. Более токсичен, чем нистатин. Чаще вызывает побочные эф­фекты. В некоторых случаях оказывает лечебное действие при неэффективности нистатина.

К этой же группе противогрибковых препаратов может быть отнесен клотримазол, который, как и миконазол, является производным имидазола. Применяется в основном местно при кандидамикозе, устойчивом к полиеновым антибиотикам. Токсичность препарата высокая, поэтому вводить его другими путями не следует.

При лечении кандидамикозов иногда назначают местно бис-четвертичное со­единение декамин. Он обладает антибактериальным и фунгистатическим эф­фектами. Переносится хорошо.

Препараты
Название Средняя терапевтическая доза для взрослых; путь введения Форма выпуска
Амфотерицин В — Amphotericinum В Внутривенно капельно 250 ЕД/кг (через день); наружно мазь, содержа­щая в 1 г 30 000 ЕД; ингаляционно 5—10 мл раствора, содержащего в 1 мл 5000 ЕД Порошок во флаконах по 50 000 ЕД для внутривенного введения (прилагается флакон с растворителем) и для ингаля­ции (без растворителя); мазь в тубах по 15 и 30 г, содержащая в 1 г 30 000 ЕД
Кетоконазол — Ketoconazole Внутрь 0,2-0,4 г Таблетки по 0,2 г
Флуконазол — Fluconazole Внутрь и внутривенно 0,05—0,4 г Капсулы по 0,05; 0,1; 0,15 и 0,2 г; 0,5% сироп; 0,2% раствор для внутривенного введения
Гризеофульвин —Griseofulvinum Внутрь 0,125 г Таблетки по 0,125 г
Тербинафин —Terbinafine Внутрь 0,125—0,25 г; накожно 1% мазь Таблетки по 0,125 и 0,25 г; 1% мазь
Нитрофунгин — Nitrofungine Для наружного применения Флаконы по 25 мл
Нистатин — Nystatinum Внутрь, ректально и интравагинально 250 000-500 000 ЕД; наружно мазь, содержащая в 1 г 100 000 ЕД Таблетки, покрытые оболочкой, по 250 000 и 500 000 ЕД; суппозитории ректальные и вагинальные по 250 000 и 500 000 ЕД; мазь в тубах по 15 и 30 г, содержащая в 1 г 100 000 ЕД
Леворин — Levorinum Внутрь и за щеку 500 000 ЕД; наружно мазь, содержащая в 1 г 500 000 ЕД; интравагинально 250 000-500 000 ЕД; для полосканий 0,2% взвесь Таблетки по 500 000 ЕД; защеч­ные таблетки по 500 000 ЕД; таблетки вагинальные по 250 000 ЕД; порошок для приготовления взвеси, применяе­мой наружно; мазь в тубах по 30 и 50 г, содержащая в 1 г 500 000 ЕД
Декамин — Decaminum Под язык и за щеку 0,00015-0,0003 г; наружно 0,5—1% мазь Карамель с содержанием 0,00015 г препарата; 0,5% и 1% мазь в тубах по 30 и 60 г

 


Глава 33

ПРОТИВОГЛИСТНЫЕ (АНТИГЕЛЬМИНТНЫЕ) СРЕДСТВА

Частота заражения людей паразитическими червями — глистами (гельминта­ми) очень велика. Возникающие при этом заболевания (гельминтозы) в зависи­мости от биологических особенностей и локализации возбудителя в одних случа­ях протекают без выраженной симптоматики, в других являются причиной анемии, поражения печени, легких, глаз, кровеносных сосудов.

По основной локализации гельминтов в организме человека различают кишеч­ные и внекишечные гельминтозы, возбудителями которых могут быть круглые черви (нематоды), а также плоские черви — ленточные (цестоды) и сосальщики (трематоды).

По механизму действия противоглистные средства подразделяют на ряд групп:

1) клеточные яды — четыреххлористый этилен;

2) средства, нарушающие функцию нервно-мышечной системы у круглых червей, — пирантела памоат, пиперазин и его соли, дитразин, левамизол, нафтамон;

3) средства, парализующие нервно-мышечную систему преимущественно у плоских червей и разрушающие их покровные ткани, — празиквантель, фенасал, битионол;

4) средства, действующие преимущественно на энергетические процессы гель­минтов, — аминоакрихин, пирвиния памоат, левамизол, мебендазол.

Лечение гельминтозов заключается в освобождении организма от гельминтов (так называемая дегельминтизация). Поскольку каждое из противоглистных средств активно в отношении определенных гельминтов, лечению гельминтоза должно предшествовать точное установление возбудителя заболевания.

 

33.1. СРЕДСТВА, ПРИМЕНЯЕМЫЕ ПРИ ЛЕЧЕНИИ КИШЕЧНЫХ ГЕЛЬМИНТОЗОВ

При нематодозе кишечника — аскаридозе — основными препаратами являются мебендазол (вермокс), пирантела памоат, левамизол (декарис).

Производное имидазола мебендазол оказывает угнетающее действие отно­шении большинства круглых гельминтов (особенно активен при трихоцефалезе, аскаридозе и энтеробиозе). Угнетает утилизацию гельминтами глюкозы и пара­лизует их. Оказывает губительное действие на яйца власоглава, аскарид и анки­лостом. Всасывается из кишечника плохо (10%). Тем не менее в больших дозах может быть использован для лечения внекишечных гельминтозов — трихинелле­за и эхинококкоза. Быстро метаболизируется в печени. Метаболиты выделяются в основном почками в течение 24-48 ч. Переносится препарат хорошо. Побоч­ные эффекты редки (иногда возникают диспепсические явления, головная боль, кожные аллергические реакции, боли в области живота и др.).

Значительный интерес представляет бензимидазольное производное альбендазол (зентал). Препарат обладает широким спектром антигельминтного дей­ствия. Он эффективен при лечении кишечных нематодозов, а также при эхинококкозе и цистицеркозе. Блокирует захват гельминтами глюкозы, что приводит к их параличу и гибели. Оказывает губительное действие и на яйца аскарид, анки­лостом и власоглава. Хорошо и быстро всасывается в кишечнике, t1/2 = 8-9 ч. Ме­таболизируется в печени (образуются его сульфоксид и другие метаболиты). Вы­деляются метаболиты в основном почками. При кратковременном применении (1-3 дня) побочные эффекты выражены в небольшой степени и наблюдаются от­носительно редко. Могут отмечаться головная боль, диарея, головокружение, бес­сонница и т.д. При длительном приеме (при лечении эхинококкоза курс длится 3 мес) возможны более выраженные и серьезные осложнения (лейкопения, абдо­минальные боли, алопеция, рвота, кожные высыпания).

При инвазии круглыми гельминтами с успехом используется пирантела памоат. Он нарушает нервно-мышечную передачу, угнетает холинэстеразу и вызы­вает у гельминтов спастический паралич. Влияет на многих круглых гельминтов (табл. 33.1). Плохо всасывается из пищеварительного тракта (до 50%). Наиболее часто применяется при аскаридозе, энтеробиозе и анкилостомидозе. Переносит­ся препарат хорошо. Побочные эффекты наблюдаются редко и выражены в не­большой степени (снижение аппетита, головная боль, тошнота, диарея).

Высокой эффективностью при аскаридозе обладает левамизол (декарис). Де­гельминтизация обусловлена тем, что препарат парализует гельминтов. Связано это с деполяризацией их мышц. Кроме того, левамизол угнетает фумаратредуктазу и таким путем нарушает метаболизм гельминтов. Однократное введение левамизола обеспечивает дегельминтизацию у 90-100% пациентов независимо от сте­пени инфицирования. В применяемых дозах левамизол практически не вызывает побочных эффектов.

Менее эффективен левамизол при анкилостомидозе и стронгилоидозе. Анки­лостомы выделяются в частично переваренном виде. Положительное лечебное действие описано и в отношении таких внекишечных гельминтозов, как филяриатоз (вызванный Wuchereria bancrofti и Brugia malayi), однако в этом случае лева­мизол заметно уступает дитразину.

При аскаридозе и энтеробиозе достаточно широко применяют пиперазин и его соли (адипинат, гексагидрат). Чаще всего используют пиперазина адипинат. На нематод пиперазин оказывает парализующее действие. Последнее пре­пятствует их активному продвижению по кишечнику, а также проникновению в желчные ходы. Кроме того, при этом создаются благоприятные условия для вы­ведения гельминтов из кишечника. Выделяются они в живом состоянии. Всасы­вается пиперазин из кишечника хорошо. Препарат и продукты его превращения выделяются преимущественно почками.

Основное показание к применению — аскаридоз. Эффективность его при этой разновидности нематодозов очень высока: дегельминтизация достигает 90-100%

 

Таблица 33.1 Основные препараты, применяемые при некоторых кишечных гельминтозах
Гельминтозы (в скобках даны названия соответствующих гельминтов) Препарат
мебендазол пирантела памоат альбендазол левамизол пиперазина адипинат нафтамон пирвиния памоат празиквантель фенасал трихлорофен аминоакрихин четыреххлористый этилен
Нематодозы
Аскаридоз (аскариды — Ascaris lumbricoides) + + + + + +            
Энтеробиоз (острицы — Enterobius vermicularis) + + +   +   +          
Трихоцефалез (власоглав — Trichocephalus trichiurus) +   +                  
Анкилостомидоз (анкилостомы — Ancylostoma duodenale, Necator americanus) + + + +   +           +
Стронгилоидоз (кишечные угрицы — Strongyloides stercorаlis) +   +   +/±     +        
Трихостронгилоидоз (трихостронгилиды — сем. Trichostrongylide)   + + + + +            
Цестодозы
Дифиллоботриоз (широкий лентец — Diphyllobothrium latum)               + + + +  
Тениоз (вооруженный цепень — Taenia solium)               +   +    
Тениаринхоз (невооруженный цепень — Taenia saginata)               + + + +  
Гименолепидоз (карликовый цепень — Hymenolepis nаnа)               + + + +  
Трематодозы
Метагонимоз (метагонимы — Metagonimus yokogawai)               +       +

(в этом плане препарат незначительно уступает левамизолу). Кроме того, пиперазин с успехом применяют при лечении энтеробиоза (инвазия острицами).

Пиперазин является малотоксичным препаратом. Он хорошо переносится больными. Побочные эффекты (диспепсические явления, головная боль) отно­сительно редки и скоропреходящи.

Активным препаратом этой группы является также моно-четвертичное аммо­ниевое соединение нафтамон (бефения гидроскинафтоат, алкопар). У гельмин­тов он вызывает контрактуру мышц, которая сменяется параличом. Из желудочно-кишечного тракта нафтамон всасывается плохо. Применяют его в основном при лечении анкилостомидоза и аскаридоза. При аскаридозе он менее эффективен, чем левамизол и пиперазин. Препарат обладает легким послабляющим эффектом.

При лечении стронгилоидоза (инвазия кишечными угрицами) и энтеробиоза с успехом применяют моно-четвертичное аммониевое соединение пирвиния памоат (ванкин, ванквин).

При кишечных цестодозах нашли применение празиквантель, фенасал, аминоакрихин (см. табл. 33.1).

Широким спектром антигельминтного действия обладает празиквантель (билтрицид). Он высокоэффективен при кишечных цестодозах, а также при внекишечных трематодозах и цистицеркозе (табл. 33.2). По химическому строению может быть отнесен к производным пиразиноизохинолина. Нарушает

 

Таблица 33.2 Основные препараты, применяемые при внекишечных гельминтозах
Гельминтозы (в скобках даны названия соответствующих гельминтов и их локализация) Препарат
ивермектин дитразин мебендазол празиквантель антимонила натрия тартрат хлоксил битионол эметина нитрохлорид альбендазол
Нематодозы
Филяриатоз (Wuchereria bancrofti, Brugia malayi — лимфатическая система; Loa loa — подкожная клетчатка; Onchocerca volvulus — подкожная клетчатка, ткани глаза) + +              
Трихинеллез (Trichinella spiralis — мышцы, кишечник)     +            
Трематодозы
Шистосомоз (бильгарциоз; Schistosoma mansoni, S. haematobium, S. japonicum — кровеносные сосуды)       + +        
Фасциолез (Fasciola hepatica — печень, желчный пузырь)           + +    
Описторхоз (Opisthorchis felineus — печень, поджелудочная железа)       + + +      
Клонорхоз (Clonorchis sinensis — печень, поджелудочная железа)       + + +     +
Парагонимоз (Paragonimus westermani — легкие, мозг, лимфатические узлы и др.)       +   + + +  
Цестодозы
Цистицеркоз (Cysticercus cellulosae — цистицеркоидная стадия Tenia solium — мышцы, мозг, ткани глаза и др.)     ± +         +
Эхинококкоз (Echinococcus granulosis, E. multilocularis — печень, легкие, мозг и другие ткани)     +           +

обмен кальция у гельминтов, что приводит к нарушению функции мышц и параличу.

Хорошо всасывается при энтеральном введении. Быстро метаболизируется в печени, t1/2 = 60-90 мин. Метаболиты выделяются в основном почками.

Переносится препарат хорошо. Побочные эффекты выражены в небольшой степени (диспепсические явления, головная боль, головокружение и др.).

Фенасал (никлозамид) угнетает окислительное фосфорилирование у цестод и парализует их. Кроме того, он снижает устойчивость ленточных гельминтов к протеолитическим ферментам пищеварительного тракта, которые разрушают цестоды. В связи с этим препарат не рекомендуется применять при тениозе, возбу­дителем которого является вооруженный (свиной) цепень, так как при этом мо­жет возникнуть цистицеркоз.

Из желудочно-кишечного тракта всасывается лишь незначительная часть вве­денного препарата.

Применяют фенасал при кишечных цестодозах, вызываемых широким лентецом, невооруженным (бычьим) цепнем, карликовым цепнем. При последующем приеме солевых слабительных эффективность фенасала снижается. Переносится фенасал хорошо. Серьезных побочных эффектов не вызывает. Иногда отмечают­ся диспепсические явления.

При лечении цестодозов в качестве резервного препарата иногда используют аминоакрихин. Он менее токсичен, чем близкий по химическому строению ак­рихин. По эффективности уступает фенасалу. Обладает раздражающим эффек­том. У части пациентов вызывает тошноту, рвоту. При тениозе может провоциро­вать развитие цистицеркоза. Поэтому при заражении вооруженным цепнем аминоакрихин не рекомендуется.

В отдельных случаях цистицеркоза может быть эффективен мебендазол.

При лечении кишечных цестодозов нередко используют комбинации указан­ных средств.

Для терапии кишечного трематодоза (метагонимоза) применяют четыреххлористый этилен (перхлорэтилен). Кроме того, этот препарат эффективен при анкилостомидозе. Из кишечника он всасывается в небольшой степени. В период подготовки и проведения дегельминтизации и 1-2 дня спустя дают пищу, бога­тую углеводами (без жиров; противопоказаны алкогольные напитки). После при­ема препарата через 15-30 мин принимают солевое слабительное.

 

33.2. СРЕДСТВА, ПРИМЕНЯЕМЫЕ ПРИ ЛЕЧЕНИИ ВНЕКИШЕЧНЫХ ГЕЛЬМИНТОЗОВ

Из внекишечных нематодозов (см. табл. 33.2) наиболее распространенными яв­ляются разные филяриатозы (включая онхоцеркоз, при котором поражаются глаза, часто вплоть до слепоты).

К препаратам, губительно действующим на микрофилярии, относится дитразина цитрат (диэтилкарбамазина цитрат, лоскуран). Он хорошо всасывается из желудочно-кишечного тракта. Максимальная концентрация его в плазме кро­ви накапливается через 3 ч. Выделяется почками в виде метаболитов и частично в неизмененном виде в течение первых 2 сут.

Применяют внутрь при ряде филяриатозов разной локализации. Побочные эффекты (головная боль, слабость, тошнота, рвота) довольно часты, но быстро проходят. Возможно, часть из них связана с разрушением филярий и действием продуктов их распада.

Препарат ивермектин также эффективен при данной патологии. Он являет­ся полусинтетическим макроциклическим лактоновым соединением. Продуци­руется актиномицетами Streptomyces avermitilis. Вызывает у круглых гельминтов вялый паралич, угнетая действие медиатора ГАМК. Подавляет жизнедеятельность филярий и стронгилоид. Наиболее эффективен при терапии онхоцеркоза, осо­бенно при поражении глаз. Побочные эффекты (лихорадка, сонливость, слабость, головокружение, головная боль, гипотензия, бронхоспастические и другие про­явления) связаны как с неблагоприятным действием самого препарата, так и с массовой гибелью микрофилярии.

В отношении возбудителя трихинеллеза, поражающего мышцы и кишечник, некоторый эффект дают производные бензимидазола (мебендазол).

Внекишечные трематодозы вызывают многие гельминты. Наиболее часто встре­чаются шистосомозы (бильгарциозы), при которых поражаются кровеносные со­суды и нарушаются функции и структуры различных органов: печени, селезенки, кишечника, мочеполового тракта и др. Основным средством лечения шистосомозов является празиквантель (билтрицид). Он эффективен и при ряде других внекишечных трематодозов (см. табл. 33.2). При шистосомозах применяют так­же препарат сурьмы антимонила натрия тартрат (винносурьмянонатриевая соль). Вводят его внутривенно (медленно). Препарат токсичен и часто вызывает побочные эффекты. Наиболее серьезны нарушения со стороны сердечно-сосу­дистой системы, стойкая рвота, артриты, анафилактическая реакция. Антимони­ла натрия тартрат противопоказан при заболеваниях печени, недостаточности сердца, беременности. При отравлении препаратом в качестве его антидота ис­пользуют унитиол.

Кроме того, при лечении шистосомозов применяют ниридазол, вводимый внутрь.

При трематодозах печени эффективен и хлоксил. Его назначают внутрь (после еды) при фасциолезе, описторхозе и клонорхозе, вызываемыми разными видами двуусток. За 1-2 дня до лечения и в период применения хлоксила (2 дня) ограни­чивают прием жиров и исключают алкогольные напитки. Переносится хлоксил, как правило, хорошо. Могут возникать головокружение, ощущение легкого опь­янения, сонливость, боли в области печени (последнее устраняется применени­ем спазмолитических и желчегонных средств). Аллергические реакции, по-види­мому, связаны с действием продуктов распада гельминтов. Противопоказан хлоксил при заболеваниях печени, декомпенсации сердца, беременности.

При лечении фасциолеза наибольшей эффективностью обладают битионол и эметина гидрохлорид (вводят подкожно).

При парагонимозе препаратом выбора является битионол (принимают внутрь). Из побочных эффектов иногда наблюдается диарея.

В отношении фармакотерапии цестодозов, имеющих внекишечную локализа­цию, ситуация изменилась, так как появились первые эффективные препараты. Так, при эхинококкозе положительный результата дает применение указанных выше имидазольных производных альбендазола и мебендазола.

Препараты
Название Средняя терапевтическая доза для взрослых; путь введения Форма выпуска
Мебендазол — Mebendazolum Внутрь 0,01 г Таблетки по 0,1 г
Пиперазина адипинат — Piperazini adipinas Внутрь 1,5-2 г Таблетки по 0,2 и 0,5 г
Нафтамон — Naphthammonum Внутрь 5 г (10 таблеток) Таблетки, покрытые оболочкой (таблетки нафтамона «К»), по 0,5 г; таблетки, растворимые в кишечнике, по 0,5 г
Фенасал — Phenasalum Внутрь 2 г Таблетки по 0,25 г
Аминоакрихин — Aminoacrichinum Внутрь 0,3-0,4 г Порошок; таблетки (драже) по 0,1 г
Дитразина цитрат — Ditrazini citras Внутрь 0,002 г/кг Порошок; таблетки по 0,05 и 0,1 г
Празиквантель — Praziquantel Внутрь 0,025-0,04 г/кг Таблетки по 0,6 г
Антимонила натрия тартрат — Stibii et Natrii tartras Внутривенно 0,001— 0,0012 г/кг (в виде 1% раствора) Порошок
Хлоксил — Chloxylum Внутрь по 0,06 г/кг Порошок

 

СРЕДСТВА, ПРИМЕНЯЕМЫЕ ПРИ ЗЛОКАЧЕСТВЕННЫХ НОВООБРАЗОВАНИЯХ

 

Глава 34

ПРОТИВООПУХОЛЕВЫЕ (ПРОТИВОБЛАСТОМНЫЕ) СРЕДСТВА

Лекарственные средства занимают важное место в лечении злокачественных новообразований. В медицинскую практику вошли многие препараты, которые эффективны не только при заболеваниях крови (гемобластозах), но и при истинных опухолях. К сожалению, имеющиеся противоопухолевые средства недоста­точно совершенны. Как правило, они обеспечивают только ремиссию и лишь при некоторых опухолевых заболеваниях (например, при хорионэпителиоме матки, остром лимфолейкозе у детей, лимфогранулематозе, злокачественных опухолях яичка, раке кожи без метастазов) путем применения ряда препаратов можно до­биться полного излечения (табл. 34.1).

Одним из лимитирующих моментов в лекарственном лечении злокачествен­ных новообразований является привыкание опухолевых клеток к препаратам. Процесс привыкания можно до известной степени замедлить путем комбиниро­ванного применения препаратов с разной структурой и неодинаковым механиз­мом действия.

Существенным недостатком большинства современных препаратов является также малая избирательность действия в отношении опухолевых клеток. Обычно применение цитотоксических средств сопровождается серьезными побочными и токсическими эффектами. При этом особенно сильно страдают активно пролиферирующие ткани (костный мозг, слизистая оболочка кишечника). Отрицатель­но влияют многие препараты и на половые железы (могут вызывать стерильность). Ряд антибиотиков с противоопухолевой активностью обладают кардиотоксическим эффектом. У препаратов платины выражено нефротоксическое действие. Цитотоксические препараты часто вызывают тошноту и рвоту. Однако при использо­вании препаратов в терапевтических дозах побочные эффекты обычно обратимы.

Противобластомные цитотоксические средства обладают также иммунодепрессивным, мутагенным и тератогенным эффектами.

В ряде случаев для уменьшения токсического действия и повышения эффек­тивности препаратов их вводят внутриартериально непосредственно к опухоли. При этом целесообразно уменьшить венозный отток от пораженных тканей, что повышает длительность контакта веществ с опухолевыми клетками и снижает

Таблица 34.1 Чувствительность солидных злокачественных опухолей и гемобластозов к современным методам лекарственного лечения1
Возможно излечение с помощью химиотерапии Химиотерапия дает высокую частоту регрессии и продление жизни; излечение наступает менее чем у 10% больных Достигается регрессия опухоли у 20-50% больных, редко — продление жизни Малочувствительны к химиотерапии
Хорионэпителиома матки   Опухоль Беркитта   Острый лимфобластный лейкоз у детей   Злокачественные опухоли яичка   Лимфогранулематоз Острые лейкозы   Миеломная болезнь   Эритремия Саркома Юинга   Рак предстательной железы   Рак яичников   Рак легкого (мелкоклеточный)   Рак тела матки   Опухоль Вильмса   Эмбриональная рабдомиосаркома у детей Лимфосаркомы   Ретинобластома Рак желудка и толстой кишки   Хронические лейкозы   Нейробластома у детей   Меланома   Рак молочной железы2   Плоскоклеточный рак головы и шеи   Рак гортани   Рак мочевого пузыря   Саркома мягких тканей   Остеогенная саркома2   Глиобластома   Кортикостерома Немелкоклеточный рак легкого   Рак пищевода   Рак печени   Рак поджелудочной железы   Рак щитовидной железы   Рак почки   Рак шейки матки   Рак влагалища
1 Из доклада комитета экспертов ВОЗ (1996). 2 Излечение в случае применения адъювантной (после хирургического и лучевого лечения) и неадъювантной (до хирургического и лучевого лечения) химиотерапии при локализованных (операбельных) формах.

выраженность неблагоприятных влияний, связанных с резорбтивным действием веществ. Из этих же соображений иногда прибегают к перфузии растворами противобластомных препаратов той области, где локализована опухоль.

Противопоказаниями к применению большинства противоопухолевых средств являются угнетение кроветворения, острые инфекции, выраженное нарушение функции печени и почек.

В последние годы в качестве одного из компонентов комбинированной хими­отерапии опухолевых заболеваний стали включать иммуностимулирующие сред­ства (интерфероны и др.). В ряде случаев это дает благоприятный эффект.

Естественно, что противоопухолевые препараты назначают в случаях, когда этот метод лечения может дать лучший эффект, чем другие. Современная химио­терапия опухолевых заболеваний основана на комбинированном применении (одновременном или последовательном) противоопухолевых средств из разных групп. Часто химиотерапию сочетают с хирургическим удалением опухоли и лу­чевой терапией.

Вещества, применяемые в качестве противобластомных средств, могут быть представлены следующими группами.

I. Алкилирующие соединения

1. Хлорэтиламины — эмбихин, сарколизин, допан, хлорбутин, циклофосфан, проспидин

2. Этиленимины — тиофосфамид

3. Производное метансулъфоновой кислоты — миелосан

4. Производные нитрозомочевины — нитрозометилмочевина, ломустин, кармустин, нимустин

5. Триазины — дакарбазин, прокарбазин

6. Соединения платины — цисплатин, карбоплатин, оксалиплатин

II. Антиметаболиты

1. Антагонисты фолиевой кислоты — метотрексат

2. Антагонисты пурина — меркаптопурин

3. Антагонисты пиримидина — фторурацил, фторафур, цитарабин

III. Антибиотики с противоопухолевой активностью

1. Актиномицины — дактиномицин

2. Антрациклины — рубомицин, доксорубицин, карминомицин

3. Флеомицины — блеомицин, блеомицетин

4. Производные ауреоловой кислоты — оливомицин

5. Разного химического строения — брунеомицин, митомицин

IV. Препараты растительного происхождения

1. Алкалоиды барвинка розового — винбластин, винкристин

2. Алкалоиды тисового дерева (таксаны) — таксол, таксотер

3. Подофиллотоксины, выделяемые из подофилла щитовидного, — этопозид,тенипозид

4. Алкалоиды безвременника великолепного — колхамин, колхицин

V. Ферментный препарат — L-аспарагиназа

VI. Гормоны и их антагонисты

1. Андрогены — тестостерона пропионат, медротестрона пропионат, тетрастерон

2. Эстрогены — диэтилстильбэстрол, фосфэстрол, этинилэстрадиол

3. Гестагены — оксипрогестерона капронат, медроксипрогестерона ацетат

4. Антагонисты эстрогенов — тамоксифен, торемифен

5. Антагонисты андрогенов — флутамид, андрокур

6. Агонисты гипоталамического гормона, стимулирующего высвобождение гонадотропных гормонов, — госерелин, лейпрорелин

7. Ингибиторы ароматазы — аминоглютетимид, летрозол

8. Глюкокортикоиды — преднизолон, дексаметазон

VII. Цитокины

1. Интерфероны — α-интерферон

2. Интерлейкины — альдеслейкин

VIII. Моноклональные антитела — герцептин

Таким образом, количество препаратов с противоопухолевой активностью очень велико. Задача клинициста состоит в том, чтобы выбрать для каждого кон­кретного пациента наиболее целесообразные препараты и определить необходи­мый лечебный курс.

Большинство противобластомных средств вызывает ряд побочных эффектов, лимитирующих их применение. Чтобы в какой-то степени нивелировать эти ос­ложнения или предупредить их, используется целый комплекс вспомогательных средств, применяемых при химиотерапии опухолевый заболеваний. К ним отно­сятся следующие группы:

I. Средства, стимулирующие кроветворение, — колониестимулирующие факторы

1. Стимуляторы лейкопоэза — лейкомакс, молграмостим, филграстим

2. Стимуляторы эритропоэза — эритропоэтин

II. Противорвотные средства — ондансетрон, трописетрон, метоклопрамид

III. Средства, повышающие иммунную защиту организма, — интерфероны, интерлейкины, препараты тимуса, левамизол

IV. Средства, подавляющие проявления карциноидного синдрома, при злока­чественных нейроэндокринных опухолях — октреотид

V. Средства, препятствующие остеопорозу при метастазах опухолей в кости, — бисфосфонаты (памидронат, клодронат, золедронат и др.)

Кроме того, применяются кардиопротекторные, цитопротекторные средства, вещества, защищающие мочевыводящие пути от повреждения отдельными про­тивоопухолевыми препаратами (их метаболитами) и др.

 

34.1. АЛКИЛИРУЮЩИЕ СРЕДСТВА

К алкилирующим средствам относятся препараты разных групп химических соединений (см. классификацию и структуры).

Относительно механизмов взаимодействия алкилирующих средств с клеточ­ными структурами существует следующая точка зрения. На примере хлорэтиламинов (а) показано, что в растворах и биологических жидкостях они отщепляют ионы хлора. При этом образуется электрофильный карбониевый ион, который переходит в этиленимоний (в).

Последний также образует функционально активный карбониевый ион (г), взаимодействующий, согласно имеющимся представлениям, с нуклеофильными структурами ДНК (с гуанином, фосфатными, аминосульфгидрильными группа­ми и др.). Таким образом, происходит алкилирование субстрата (отсюда и термин «алкилирующие средства»). По аналогичному принципу, очевидно, действуют и другие представители этой группы противобластомных средств.

Взаимодействие алкилирующих веществ с ДНК, в том числе поперечное свя­зывание молекул ДНК, нарушает ее стабильность, вязкость и впоследствии це­лостность. Все это приводит к резкому угнетению жизнедеятельности клеток. Их способность к делению подавляется, многие клетки гибнут. Алкилирующие сред­ства действуют на клетки в интерфазе. Особенно выражено их цитостатическое влияние в отношении быстропролиферирующих клеток.

Поводом к синтезу хлорэтиламинов послужили данные о способности ипри­та (д) вызывать выраженную лейкопению. Для медицинской практики были по­лучены менее токсичные производные азотистого иприта (е), которые представ­ляют собой бис-(2-хлорэтил)амины, называемые сокращенно хлорэтиламинами. Различаются хлорэтиламины значением R (ё).

Первым таким препаратом был эмбихин (мустин; мустарген; R = СН3). Затем были синтезированы препараты, в которых хлорэтиламинные группировки свя­заны с биогенными веществами. Так, допан в качестве R содержит 4-метилурацил, сарколизин — остаток аминокислоты фенилаланина. Биогенные вещества в данном случае рассматриваются в качестве носителей токсичных хлорэтиламинных группировок. Предполагается, что таким путем можно повысить противо­опухолевую избирательность действия алкилирующих средств.

Большая часть хлорэтиламинов применяется в основном при гемобластозах (хронической лейкемии, лимфогранулематозе (болезнь Ходжкина), лимфо- и ретикулосаркомах; рис. 34.1). Сарколизин (рацемельфолан), активный при миеломной болезни, лимфо- и ретикулосаркомах, эффективен при ряде истинных опухолей (семиноме, костной опухоли Юинга). При семиноме яичка сарколизин дает положительный результат даже при наличии метастазов.

Эффективным препаратом является циклофосфан. Это наиболее часто при­меняемый препарат из группы хлорэтиламинов. Сам циклофосфан не оказывает цитотоксического действия. В результате химических превращений в печени из него образуются активные метаболиты (фосфамид и акролеин), которые и обеспечивают

противоопухолевый эффект. Препарат вызывает более или менее дли­тельные ремиссии при гемобластозах (в том числе при остром лимфолейкозе), множественной миеломе. Кроме того, его применяют при раке яичников, молоч­ной железы, мелкоклеточном раке легкого. Допан и хлорбутин вводят внутрь, циклофосфан и сарколизин — парентерально и энтерально.

В эту группу может быть отнесен проспидин, активный при раке гортани. Препарат вызывает диспепсические и неврологические нарушения, но относи­тельно мало угнетает кроветворение.

Этиленимины представлены значительным числом препаратов (тиофосфамид, дипин, бензотэф, имифос и др.). Синтез этих препаратов был основан на приве­денных выше данных о превращении хлорэтиламинов в этиленимоний. Из этилениминов в медицинской практике наиболее часто используется тиофосфамид (тиотэп). Его применяют при истинных опухолях (рак яичников, молочной же­лезы) и при гемобластозах (хронический лейкоз, лимфогранулематоз, лимфосаркоматоз и ретикулосаркоматоз).

Другие этиленимины обладают аналогичными противоопухолевыми свойства­ми. Их назначают при недостаточной активности тиофосфамида или его непере­носимости. Вводят их парентерально — внутривенно, внутримышечно.

Производное метансульфоновой кислоты миелосан применяется при обо­стрениях хронического миелолейкоза. Вводят его внутрь. Аналогичным по при­менению препаратом является миелобромол (митобронитол, дибромманнит). По химическому строению он существенно отличается от миелосана. Активен при устойчивости к миелосану.

Из производных нитрозомочевины выраженными цитотоксическими свойства­ми обладает нитрозометилмочевина. Этот препарат эффективен при мелко­клеточном раке легких и лимфогранулематозе. К этой группе относятся также кармустин и ломустин. Они эффективны при опухолях мозга, опухолях толстой и прямой кишок, болезни Ходжкина и других лимфомах. Из побочных явлений при применении производных нитрозомочевины отмечаются тошнота, рвота, флеби­ты, угнетение кроветворения. Последнее особенно выражено при длительном приеме препаратов.

К производным нитрозомочевины относится также фотемустин (мюстофоран). Применяется при лечении злокачественной меланомы и первичных опухолей головного мозга.

Известны также цитотоксические средства из группы триазенов и гидрази­нов — дакарбазин, прокарбазин (натулан) и др. Дакарбазин особенно эффек­тивен при меланоме.

К числу алкилирующих средств относятся и соединения платины. Одним из таких препаратов является цисплатин (платинол). Он активен только в цис-конфигурации.

Механизм противобластомного действия и для этой группы соединений объяс­няют их способностью проникать в клетку и взаимодействовать с ДНК, образуя поперечные связи, что нарушает ее функционирование. Вводят цисплатин внут­ривенно (при приеме внутрь он неэффективен). Большая его часть связывается с белками плазмы крови. Через гематоэнцефалический барьер препарат проникает плохо. Частично выделяется почками.

Применяют его в основном в сочетании с другими противобластомными препаратами при злокачественных опухолях яичка, раке яичников, мочевого пузыря, плоскоклеточном раке головы, шеи, раке эндометрия, а также при лим­фомах.

Препарат обладает выраженной токсичностью. Поражает канальцы почек, может снижать слух, вызывать тошноту, рвоту, лейкопению, тромбоцитопению, нарушения со стороны нервной и сердечно-сосудистой систем; возможны аллер­гические реакции.

К этой группе относятся также карбоплатин и ряд других препаратов платины.

Применение алкилирующих средств лимитирует вызываемое ими угнетение кроветворения. Возникают лейкопения, тромбоцитопения, а также анемия. В за­висимости от степени этих изменений приходится уменьшать дозу препаратов или прекращать их введение. В последние годы для стимуляции кроветворения применяют цитокины — гранулоцитарно-макрофагальный и гранулоцитарный колониестимулирующие факторы (филграстим, молграмостим), а также ряд интерлейкинов и эритропоэтин (см. главу 18). Для предупреждения возможных ин­фекций, связанных с подавлением иммунитета, используют антибиотики. Такую тактику применяют при аналогичных осложнениях, связанных с использовани­ем и других противобластомньгх средств.

При внутривенном введении препаратов иногда может возникать тромбофле­бит, связанный с их раздражающим действием.

Применение многих противобластомных средств часто сопровождается тош­нотой, иногда — рвотой. Реже наблюдается диарея. В качестве противорвотных средств в данном случае используют антагонисты серотониновых 5-НТ3-рецепторов (ондасетрон, трописетрон), а также блокаторы дофаминовых D2-рецепторов (метоклопрамид, этаперазин и др.).

Возможны развитие аменореи, снижение половой потенции. У ряда больных отмечается выпадение волос.

 

34.2. АНТИМЕТАБОЛИТЫ

Препараты этой группы являются антагонистами естественных метаболитов. При наличии опухолевых заболеваний используют в основном следующие веще­ства (см. структуры).

Антагонисты фолиевой кислоты

Метотрексат (аметоптерин)

Антагонисты пурина

Меркаптопурин (леупурин, пуринетол)

Антагонисты пиримидина

Фторурацил (флуороурацил)

Фторафур (тегафур)

Цитарабин (цитозар)

Флударабина фосфат (флудара)

По химическому строению антиметаболиты лишь похожи на естественные метаболиты, но не идентичны им. В связи с этим они вызывают нарушение син­теза нуклеиновых кислот.

Это отрицательно сказывается на процессе деления опухолевых клеток и при­водит их к гибели.

Действуют антиметаболиты на разных этапах синтеза нуклеиновых кислот. Так, механизм противобластомного эффекта метотрексата, очевидно, заключается в угнетении дигидрофолатредуктазы, а также тимидилсинтетазы. Это нарушает образование пуринов и тимидина, в результате чего угнетается синтез ДНК. Меркаптопурин, по-видимому, препятствует включению пуринов в полинуклеотиды. Полагают, что фторурацил нарушает синтез нуклеотидов или тимидина и их включение в ДНК. Имеются данные о том, что в клетках опухоли фторурацил превращается в 5-фтор-2-дезоксиуридин-5-монофосфат, который является ин­гибитором фермента тимидилсинтетазы.

Антагонист фолиевой кислоты метотрексат и антагонист пурина меркаптопурин назначают главным образом при острых лейкозах. Метотрексат эффективен при указанной патологии в основном у детей, а меркаптопурин — также у взрослых. Кроме того, меркаптопурин и особенно метотрексат с успехом применяют при хорионэпителиоме матки. Метотрексат используют также в комбинирован­ной химиотерапии ряда истинных (солидных) опухолей, например рака молоч­ной железы (см. рис. 34.1; табл. 34.2).

При лечении острых лейкозов улучшение общего состояния и гематологичес­кой картины происходит постепенно. Продолжительность ремиссии исчисляет­ся несколькими месяцами.

Принимают препараты, как правило, внутрь. Метотрексат выпускают и для парентерального введения.

Метотрексат выделяется почками, преимущественно в неизмененном виде. Часть препарата задерживается в организме очень длительное время (месяцы). Меркаптопурин подвергается в печени химическим превращениям, и в моче обнаруживаются его метаболиты.

Отрицательные стороны действия препаратов проявляются в угнетении ими кроветворения, тошноте, рвоте. У ряда больных наблюдается нарушение функ­ции печени. Метотрексат поражает слизистую оболочку желудочно-кишечного тракта, вызывает конъюнктивит.

Антагонист пиримидина фторурацил существенно отличается по спектру антибластомного действия от метотрексата и меркаптопурина. Если последние эф­фективны главным образом при остром лейкозе, т.е. при гемобластозе, то фтору­рацил применяют при истинных опухолях. Его назначают при раке желудка, поджелудочной железы и толстой кишки, раке молочной железы. У части паци­ентов фторурацил обеспечивает временную регрессию опухолей.

Таблица 34.2 Основные показания к применению ряда синтетических цитотоксических средств
Группа Препарат Основное применение
I. Алкилирующие средства    
1. Хлорэтиламины Циклофосфан Лейкемии (ОЛЛ, ОМЛ, ХЛЛ), лимфомы, болезнь Ходжкина, рак мо­лочной железы, яичников, бронхов
2. Этиленимины Тиофосфамид Рак мочевого пузыря
3. Производные нитрозомочевины Кармустин Опухоли мозга, множественная миелома, лимфомы
  Ломустин Лимфомы, опухоли мозга
4. Производные метансульфоновой кислоты Миелосан Лейкемия (ХМЛ)
5. Соединения платины Цисплатин Рак яичка, мочевого пузыря, яични­ков, опухоли в области головы и шеи
  Карбоплатин Рак яичка
6. Производные триазинов и гидразинов Дакарбазин Мелаиома, болезнь Ходжкина
II. Антиметаболиты    
1. Антагонисты фолиевой кислоты Метотрексат Лейкемии (ОЛЛ, ОМЛ), лимфомы, опухоли в области головы и шеи, рак молочной железы, бронхов
2. Антагонисты пурина Меркаптопурин Лейкемии (ОЛЛ, ОМЛ, ХМЛ)
3. Антагонисты пиримидина Фторурацил Рак толстой кишки, молочной желе­зы, желудка, опухоли в области го­ловы и шеи
  Цитарабин Лейкемии (ОМЛ)
Примечание. ОЛЛ — острая лимфобластическая лейкемия; ОМЛ — острая миелогенная лей­кемия; ХЛЛ — хроническая лимфоцитарная лейкемия; ХМЛ — хроническая миелогенная лей­кемия.

Вводят препарат внутривенно, так как из желудочно-кишечного тракта он вса­сывается плохо. В печени фторурацил подвергается химическим превращениям. Образующиеся метаболиты выделяются почками.

Токсичность препарата значительная. Из неблагоприятных эффектов наибо­лее серьезны угнетение кроветворения и язвенное поражение пищеварительного тракта (стоматит, энтерит). Кроме того, нарушается аппетит, возникают тошно­та, рвота, диарея. Отмечаются также облысение, поражение ногтей, дерматит.

В связи с тем что фторурацил вводится только внутривенно, для энтерального применения был предложен капецитабин (кселода). Это пролекарство, из кото­рого в ткани опухоли под влиянием тимидинфосфорилазы высвобождается 5-фторурацил. При этом системное действие последнего выражено в небольшой степени.

Аналогичными фторурацилу свойствами обладает фторафур, являющийся фтористым производным пиримидина. Он несколько менее токсичен, чем фто­рурацил. Применяют его при раке молочной железы, раке прямой и толстой ки­шок, раке желудка.

К антиметаболитам относятся также тиогуанин и цитарабин (цитозин-арабинозид), которые применяют при острых миелоидной и лимфоидной лейкемиях. Антагонист пиримидина флударабина фосфат (флудара) в основном используют при хроническом лимфоцитарном В-клеточном лейкозе и неходжкинских лимфомах низкой степени злокачественности.

 

34.3. АНТИБИОТИКИ С ПРОТИВООПУХОЛЕВОЙ АКТИВНОСТЬЮ

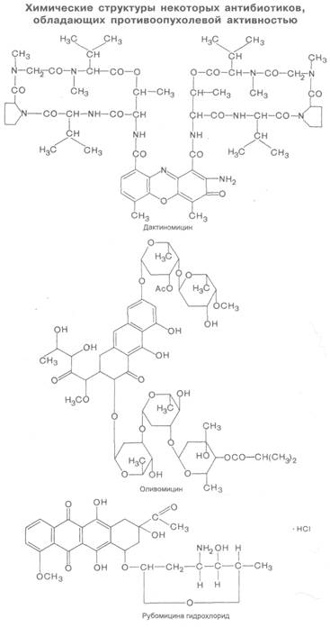
Ряд антибиотиков наряду с противомикробной активностью обладает выра­женными цитотоксическими свойствами, обусловленными угнетением синтеза и функции нуклеиновых кислот. К их числу относится дактиномицин (актиномицин D), продуцируемый некоторыми видами Streptomyces. Применяют дакти­номицин при хорионэпителиоме матки, опухоли Вильмса у детей, при лимфог­ранулематозе (рис. 34.2). Вводят препарат внутривенно, а также в полости тела (при наличии в них экссудата).

Противобластомным эффектом обладает также антибиотик оливомицин, продуцируемый Actinomyces olivoreticuli. В медицинской практике используют его натриевую соль. Препарат вызывает некоторое улучшение при опухолях яичка — семиноме, эмбриональном раке, тератобластоме, лимфоэпителиоме, ретикулосаркоме, меланоме. Вводят его внутривенно. Кроме того, при изъязвлении по­верхностно расположенных опухолей оливомицин применяют местно в виде мазей.

Антибиотики группы антрациклинов — доксорубицина гидрохлорид (об­разуется Streptomyces peuceticus varcaesius) и карминомицин (продуцент A ctinomadura carminata sp. nov.) — привлекают внимание в связи с эффективностью при саркомах мезенхимального происхождения. Так, доксорубицин (адриамицин) ис­пользуют при остеогенных саркомах, раке молочной железы и других опухолевых заболеваниях.

Активный в отношении ряда опухолей антибиотик рубомицин продуциру­ется Actinomyces coeruleorubidus. Применяется он в виде гидрохлорида. По хи­мической структуре и свойствам близок к доксорубицину. Рубомицина гид­рохлорид (даунорубицин, дауномицин, рубидомицин) вызывает ремиссии при хорионэпителиоме матки, остром лейкозе, ретикулосаркоме. Вводят препарат внутривенно.

При применении указанных антибиотиков наблюдаются нарушение аппети­та, стоматит, тошнота, рвота, диарея. Возможно поражение слизистых оболочек дрожжеподобными грибами. Угнетается кроветворение. Иногда отмечается кардиотоксическое действие. Нередко происходит выпадение волос. Имеются у этих препаратов и раздражающие свойства. Следует учитывать также их выраженное иммунодепрессивное действие.

Антибиотик блеомицин (бленоксан), продуцируемый Streptomyces verticillus, и близкий к нему отечественный препарат блеомицетина гидрохлорид ока­зались активными при раке слизистой оболочки ротовой полости, миндалин, гортани, лимфогранулематозе, при комбинированной химиотерапии злокаче­ственных опухолей яичка и ряде других опухолевых заболеваний. Применение блеомицина ограничивают его токсическое действие на легкие, кожные пораже­ния, диспепсические явления. На кроветворение блеомицин влияет в относитель­но небольшой степени.

К антибиотикам с противоопухолевой активностью относятся также брунеомицин (руфокромомицин, стрептонигрин), митомицин.

 

34.4. СРЕДСТВА РАСТИТЕЛЬНОГО ПРОИСХОЖДЕНИЯ, ОБЛАДАЮЩИЕ ПРОТИВООПУХОЛЕВОЙ АКТИВНОСТЬЮ

Выраженной антимитотической активностью обладает колхамин — алкалоид безвременника великолепного (Colchicum speciosum Stev.) и безвременника осен­него (Colchicum autumnale L.).

Колхамин (демеколцин, омаин) применяют местно в мазях при раке кожи (без метастазов). При этом злокачественные клетки погибают, а нормальные клет­ки эпителия практически не повреждаются. Однако во время лечения может воз­никать раздражающий эффект (гиперемия, отек, боль), что заставляет делать пе­рерывы в лечении. После отторжения некротических масс заживление раны происходит с хорошим косметическим эффектом.

При резорбтивном действии колхамин довольно сильно угнетает кроветворе­ние, вызывает диарею, выпадение волос.

Противоопухолевая активность обнаружена также у алкалоидов растения бар­винок розовый (Vinca rosea L.) винбластина и винкристина. Они оказывают антимитотическое действие и, подобно колхамину, блокируют митоз в стадии метафазы.

Винбластин (розевин) рекомендуют при генерализованных формах лимфог­ранулематоза и при хорионэпителиоме. Кроме того, он, как и винкристин, ши­роко используется в комбинированной химиотерапии опухолевых заболеваний. Вводят препарат внутривенно.

Токсическое влияние винбластина характеризуется угнетением кроветворения, диспепсическими явлениями, болями в животе. Препарат обладает выраженным раздражающим эффектом и может быть причиной флебитов.

Другой алкалоид барвинка розового — винкристин — применяется в качестве одного из компонентов комплексной терапии острого лейкоза, а также других гемобластозов и истинных опухолей. Вводят препарат внутривенно.

Токсическое действие винкристина проявляется по-разному. Практически мало угнетая кроветворение, он может приводить к неврологическим нарушениям (атаксии, нарушению нервно-мышечной передачи, невралгии, парестезии), поражению почек (полиурии, дизурии) и др.

К препаратам растительного происхождения относится также подофиллин (смесь веществ из корней подофилла щитовидного — Podophyllum peltatum L.). Он является одним из средств, применяемых местно при папилломатозе гор­тани и мочевого пузыря. В настоящее время используют полусинтетические производные подофиллина эпиподофиллотоксины. К ним относятся тенипозид (вумон) и эт







Date: 2015-07-01; view: 1665; Нарушение авторских прав



mydocx.ru - 2015-2026 year. (1.973 sec.) Все материалы представленные на сайте исключительно с целью ознакомления читателями и не преследуют коммерческих целей или нарушение авторских прав - Пожаловаться на публикацию