Главная Случайная страница


Полезное:

Как сделать разговор полезным и приятным Как сделать объемную звезду своими руками Как сделать то, что делать не хочется? Как сделать погремушку Как сделать так чтобы женщины сами знакомились с вами Как сделать идею коммерческой Как сделать хорошую растяжку ног? Как сделать наш разум здоровым? Как сделать, чтобы люди обманывали меньше Вопрос 4. Как сделать так, чтобы вас уважали и ценили? Как сделать лучше себе и другим людям Как сделать свидание интересным?


Категории:

АрхитектураАстрономияБиологияГеографияГеологияИнформатикаИскусствоИсторияКулинарияКультураМаркетингМатематикаМедицинаМенеджментОхрана трудаПравоПроизводствоПсихологияРелигияСоциологияСпортТехникаФизикаФилософияХимияЭкологияЭкономикаЭлектроника






I. Средства, угнетающие нейрональный захват моноаминов 1 page





1. Неизбирательного действия, блокирующие нейрональный захват серотонина и норадреналина

Имизин

Амитриптилин

2. Избирательного действия

А. Блокирующие нейрональный захват серотонина

Флуоксетин

Б. Блокирующие нейрональный захват норадреналина

Мапротилин

II. Ингибиторы моноаминоксидазы (МАО)

1 Неизбирателъного действия (ингибиторы МАО-А и МАО-В)

Ниаламид

Трансамин

2. Избирательного действия (ингибиторы МАО-А)

Моклобемид

Большое распространение в медицинской практике получили лекарственные средства первой группы (I.1), являющиеся трициклическими антидепрес­сантами (см. структуру). Они относятся к антидепрессантам неизбирательного действия, блокирующим обратный нейрональный захват и серотонина, и норадреналина. Один из их представителей — имизин (имипрамин, мелипрамин, тофранил). Он обладает выраженными антидепрессивными свойствами, которые со­четаются со слабым седативным эффектом. Вместе с тем при определенных состояниях выявляется и психостимулирующий компонент (иногда отмечаются некоторая возбужденность, эйфоричность, может быть бессонница; рис. 11.2).

Относительно механизма действия имизина высказывается ряд предположе­ний. Одна из наиболее принятых гипотез связывает его антидепрессивный эф­фект со способностью угнетать нейрональный захват норадреналина и серотони­на. Это приводит к тому, что в области рецепторов накапливаются большие концентрации медиаторов и их эффекты усиливаются. В частности, усиление тор­мозного влияния серотонина на лимбическую систему (миндалевидное тело) мо­жет быть одним из важных механизмов антидепрессивного действия имизина.

Препарат блокирует также пресинаптические α2-адренорецепторы (что повы­шает высвобождение норадреналина), серотониновые (5НТ1А-1D) и гистаминовые рецепторы.

Наряду с центральным действием имизин обладает некоторыми периферичес­ким м-холиноблокирующим (атропиноподобным), α1-адреноблокирующим, папавериноподобным и отчетливым противогистаминным эффектами.

Из желудочно-кишечного тракта имизин всасывается хорошо. В значитель­ной степени метаболизируется в печени. Один из его метаболитов — дезметилимипрамин (дезипрамин) — обладает выраженной антидепрессивной активностью и используется в медицинской практике. Выделяется в виде метаболитов, конъюгатов и в неизмененном виде в основном почками (40% — в 1-е сутки), частично кишечником.

При использовании имизина при депрессиях лечебный эффект наступает че­рез 2-3 нед. Побочное действие чаще всего связано с атропиноподобными свой­ствами имизина (сухость в полости рта, нарушение аккомодации, тахикардия, запор, затруднение мочеотделения). Отмечаются нарушения и со стороны сер­дечно-сосудистой системы. Имизин в терапевтических дозах может снижать ар­териальное давление. Так, на фоне его действия иногда развивается ортостатическая гипотензия. В больших дозах может вызывать тахикардию, аритмии. Возможны нежелательные отклонения и со стороны психической деятельности. Это либо чрезмерный седативный эффект, либо, наоборот, возбуждение, галлю­цинации, бессонница. При приеме имизина могут быть головная боль, тремор, аллергические кожные реакции, желтуха, редко лейкопения и агранулоцитоз. Пре­парат способствует также повышению массы тела.

Имизин противопоказан при глаукоме, нарушении мочеотделения, связанном с гипертрофией предстательной железы. Нельзя комбинировать его с неизбира­тельными ингибиторами МАО, так как при этом возникают токсические эффек­ты. Если эти два типа антидепрессантов назначают последовательно, интервал после прекращения приема ингибитора МАО должен быть не менее 1,5-2 нед.

Сходным с имизином препаратом является кломипрамин (анафранил). Бо­лее выражение влияет на обратный захват серотонина.

Амитриптилин (триптизол) по строению схож с имизином. Фармакодинамика и фармакокинетика амитриптилина и имизина аналогичны. Наряду с антидепрессивной активностью у амитриптилина имеются выраженные психоседативные свойства.

Стимулирующее действие у него отсутствует (см. рис. 11.1). Кроме того, он превосходит имизин по м-холиноблокирующему и противогистаминному действию. Амитриптилин относится к наиболее активным антидепрес­сивным средствам. Лечебный эффект его выявляется через 10-14 дней.

К трициклическим антидепрессантам относится также азафен (пипофезинум). Он обладает умеренной антидепрессивной активностью и оказывает седативное действие. Отличается в положительную сторону от приведенных антидеп­рессантов отсутствием м-холиноблокирующих свойств. Применяют азафен при депрессиях легкой и средней тяжести. Препарат хорошо переносится. Побочные эффекты наблюдаются лишь в отдельных случаях, поэтому азафен нередко реко­мендуется больным пожилого возраста. Назначают его внутрь.


Отмеченные препараты действуют неизбирательно на нейрональный захват серотонина и норадреналина. Вместе с тем созданы препараты и с избиратель­ным действием. Так, синтезированы соединения, преимущественно угнетающие нейрональный захват серотонина. Одним из таких препаратов является флуоксетин (прозак, фрамекс). По химическому строению он является производным феноксипропиламина. Обладает высокой антидепрессивной активностью, ана­логичной таковой для трициклических антидепрессантов. Эффект развивается по­степенно (в течение 1-4 нед). От трициклических антидепрессантов отличается тем, что у него практически нет седативного действия и обычно выявляется не­который психостимулирующий эффект, отсутствует или весьма незначительно м-холиноблокирующее действие, не отмечено влияния на адренорецепторы. Ге­модинамика при применении флуоксетина стабильна. Масса тела не увеличива­ется. Кроме того, флуоксетин характеризуется низкой токсичностью.

Хорошо всасывается при введении внутрь. Метаболизируется в печени. Один из его метаболитов, норфлуоксетин, обладает выраженной антидепрессивной ак­тивностью. Для флуоксетина t1/2 =1-3 дня (для норфлуоксетина — 7-15 дней). Выделяются метаболиты и неизмененный препарат почками.

Из побочных эффектов отмечаются нарушение аппетита, тошнота, нервоз­ность, головная боль, бессонница, кожные высыпания. Нельзя применять флу­оксетин с неизбирательными ингибиторами МАО, поскольку может развиться так называемый «серотониновый синдром», связанный с накоплением избыточных концентраций серотонина. Это может проявляться мышечной ригидностью, ги­пертермией и сердечно-сосудистым коллапсом, что представляет опасность для жизни. С учетом сказанного между приемами флуоксетина и неизбирательных ингибиторов МАО должен быть интервал не менее 2 нед.

Взаимодействия с пищевыми ингредиентами для флуоксетина не отмечено (в отличие от неизбирательных ингибиторов МАО).

Флуоксетин получил широкое применение в медицинской практике при ле­чении депрессивных состояний.

Из избирательных ингибиторов нейронального захвата серотонина для меди­цинской практики предложен ряд новых препаратов — сетралин, пароксетин и др. Наибольшей избирательностью действия обладает пароксетин (паксил). В экспериментах in vitro было показано, что пароксетин в 320 раз сильнее угнетает обратный захват серотонина, чем норадреналина (сетралин — в 190 раз, флуоксе­тин — в 20 раз). Пароксетин обладает высокой антидепрессивной и анксиолитической (противотревожной) активностью. Оказывает незначительное м-холиноб­локирующее действие.

При энтеральном введении всасывается полностью. 93-95% вещества связы­вается с белками плазмы крови. Основная часть пароксетина метаболизируется в печени; активных метаболитов не образуется. Выделяются метаболиты в основном почками (~ 62%), остальная часть выводится кишечником, t1/2 ~ 21 ч. Время «полу­жизни» препарата увеличивается при недостаточности почек и циррозе печени.

Вводится препарат 1 раз в сутки. Эффект развивается через 1-4 недели. Про­должительность лечения измеряется месяцами и зависит от типа депрессии.


Переносится пароксетин хорошо. Побочные эффекты наблюдаются редко. Возможны тошнота, головная боль, иногда сухость в ротовой полости, сонливость, головокружения и др.

Синтезирован также препарат, избирательно блокирующий нейрональный зах­ват норадреналина, — мапротилин (лудиомил). По фармакологическим свой­ствам и показаниям к применению сходен с имизином.

Всасывается из пищеварительного тракта медленно (9-16 ч.). Около 90% препарата связывается с белками плазмы крови, t1/2 = 43-51 ч. Подвергается био­трансформации в печени. Выделяются мапротилин и его метаболиты в основ­ном почками.

Преимущественным влиянием на нейрональный захват норадреналина обла­дает также дезипрамин. Как уже отмечалось, он является метаболитом имизина. По характеру действия аналогичен последнему. В меньшей степени вызывает седативный и м-холиноблокирующий эффекты.

Антидепрессанты из группы ингибиторов МАО подразделяются на препараты неизбирательного и избирательного действия.

В настоящее время неизбирательные ингибиторы МАО (влияют на МАО-А и МАО-В) применяют относительно редко вследствие довольно высокой токсичности. При выборе антидепрессантов предпочтение, как правило, отдается препаратам, влияющим на ней­рональный захват моноаминов. Однако в некоторых случаях могут быть полезны и инги­биторы МАО, особенно избирательного действия.

Неизбирательные ингибиторы МАО угнетают процесс окислительного дезаминирования норадреналина и серотонина, что приводит к накоплению их в мозговой ткани в зна­чительных количествах. Большинство препаратов этой группы блокируют МАО необра­тимо. В связи с этим для восстановления МАО она должна быть синтезирована заново, что требует значительного времени (до 2 нед). Максимальное ее угнетение происходит через несколько часов после всасывания ингибиторов МАО. Однако антидепрессивный эффект развивается через 7-14 дней. По-видимому, механизм действия рассматриваемой группы веществ связан не только с угнетением МАО, так как между этим эффектом и ан­тидепрессивной активностью не всегда имеется параллелизм. Не исключено, что опреде­ленную роль может играть влияние этих препаратов на обмен ГАМК.

Наряду с антидепрессивным действием ингибиторы МАО характеризуются выражен­ными психостимулирующими свойствами (вызывают эйфорию, возбуждение, бессонни­цу; см рис. 11.1).

Ингибиторы МАО являются активными антагонистами резерпина в отношении его седативного, гипотензивного и ряда других видов действия. Объясняется это тем, что ре­зерпин снижает содержание в мозге катехоламинов и серотонина, а ингибиторы МАО ока­зывают противоположное влияние.

На фоне действия ингибиторов МАО резко усиливается прессорный эффект симпатомиметиков (фенамина, эфедрина, тирамина), в том числе содержащихся в пищевых про­дуктах (например, в сыре имеются существенные количества тирамина). Эти вещества способствуют выбросу из адренергических окончаний избыточных количеств норадрена­лина, который накапливается в них в результате угнетения МАО. При этом возникает гипертензивный криз.


Угнетение МАО под влиянием ее ингибиторов происходит не только в ЦНС, но и в периферических тканях. Кроме того, эти препараты подавляют активность не только МАО, но и ряда других ферментных систем. Так, вследствие угнетения микросомальных фер­ментов печени ингибиторы МАО пролонгируют действие средств для неингаляционного наркоза, антипсихотических препаратов фенотиазинового ряда, опиоидных анальгетиков, противоэпилептических и ряда других средств.

Ингибиторы МАО обладают гипотензивной активностью, что, по-видимому, связано с уменьшением высвобождения норадреналина из варикозных утолщений адренергичес­ких волокон. При стенокардии они уменьшают болевые ощущения (очевидно, за счет бло­кирования центральных звеньев рефлексов с сердца). Всасываются ингибиторы МАО из пищеварительного тракта хорошо. Выделяются преимущественно почками. Ингибиторы МАО обладают относительно высокой токсичностью. Это проявляется главным образом в отношении печени (могут вызывать тяжелый гепатит). Кроме того, они возбуждают ЦНС, что является причиной бессонницы и возникающих в ряде случаев тремора и судорог. Применение этих веществ может сопровождаться ортостатической гипотензией. С осто­рожностью следует комбинировать ингибиторы МАО с другими нейротропными средства­ми, так как нередко это сопровождается неблагоприятными эффектами (например, при сочетании с веществами наркотического типа действия, симпатомиметиками, антидеп­рессантами трициклического ряда). Кроме того, на время приема ингибиторов МАО из диеты следует исключить пищевые продукты, содержащие тирамин (сыр и др.).

Лекарственная зависимость по отношению к ингибиторам МАО не развивается.

В качестве ингибиторов МАО было синтезировано большое количество производных гидразина. Однако в настоящее время в медицинской практике используют единичные гидразиновые препараты, например ниаламид (ниамид, нуредал). Это один из наиме­нее эффективных антидепрессантов. Однако токсическое влияние его на печень и другие побочные эффекты выражены в небольшой степени, что является несомненным достоин­ством ниаламида.

К другому классу химических соединений («негидразиновых») относится трансамин (транилципромин, парнат). Он является фенилциклопропиламином, т.е. по структуре аналогичен фенилалкиламинам (например, фенамину). Трансамин — сильный обратимый ингибитор МАО. Он относится к наиболее эффективным антидепрессантам этой группы. Терапевтическое действие его наступает несколько быстрее, чем у большинства гидрази­нов (у ниаламида — через 12-14 дней, у трансамина — через 2-7 дней).

Фармакодинамика трансамина аналогична таковой других ингибиторов МАО. К это­му следует добавить наличие у него некоторого симпатомиметического эффекта (действует по типу фенамина).

Гепатотоксичность у «негидразиновых» соединений выражена в меньшей степени, чем у препаратов группы гидразина.

Антидепрессанты из группы неизбирательных ингибиторов МАО противопоказаны при заболеваниях печени, почек, при нарушении мозгового кровообращения, выраженном психическом возбуждении.

В последние годы привлекли внимание препараты, обратимо ингибирующие преимущественно МАО-А. К ним относятся моклобемид (аурорикс), пиразидол и др. Они действуют более кратковременно, чем необратимые ингибиторы МАО. Кроме того, при их применении снижается вероятность развития гипертензивного криза при взаимодействии с симпатомиметиками пищевого проис­хождения (например, с тирамином), что типично для неизбирательных ингиби­торов МАО. Моклобемид является производным бензамида.

Пиразидол — это тетрациклическое соединение. По химическому строению он может быть отнесен к производным индола. Антидепрессивное действие пиразидола в зависимости от состояния больного сочетается с седативным (на фоне беспокойства, тревоги) или стимулирующим (на фоне угнетения) эффектом. Меха­низм его антидепрессивного действия объясняется обратимым ингибирующим влиянием на МАО-А и способностью угнетать нейрональный захват норадреналина. М-холиноблокирующая активность у пиразидола отсутствует. Переносится пре­парат хорошо. Побочные эффекты возникают редко. Принимают пиразидол внутрь.

Препараты
Название Средняя терапевтическая доза для взрослых; путь введения Форма выпуска
Имизин — Imizinum Внутрь 0,025-0,05 г; внутримышечно 0,025 г Таблетки, покрытые оболочкой, по 0,025 г; ампулы по 2 мл 1,25% раствора
Амитриптилин — Amitriptyline Внутрь 0,025-0,05 г; внутримышечно и внутривенно 0,025-0,04 г Таблетки по 0,025 г; ампулы по 2 мл 1% раствора
Азафен — Azaphenum Внутрь 0,025-0,05 г Таблетки по 0,025 г
Флуоксетин — Fluoxetine Внутрь 0,02 г Капсулы по 0,02 г
Мапротилин — Maprotiline Внутрь 0,05-0,3 г; внутривенно 0,05-0,15 г Драже по 0,01; 0,025 и 0,05 г; ампулы по 2 мл 1,25% раствора
Пиразидол — Pyrazidolum Внутрь 0,075-0,15 г Таблетки по 0,025 и 0,05 г
Ниаламид — Nialamidum Внутрь 0,025-0,01 г Таблетки (драже) по 0,025 г

 

11.3. СРЕДСТВА ДЛЯ ЛЕЧЕНИЯ МАНИЙ

При лечении маний могут быть использованы антипсихотические средства и соли лития. Антипсихотические средства эффективны не только при маниях, но и вообще при ажитированных состояниях различного происхождения. Их действие проявляется в общем угнетении, апатичности и сонливости. Соли ли­тия действуют более специфично. Они оказывают фармакотерапевтическое дей­ствие при маниях, нормализуя в той или иной степени психическое состояние, но не вызывают общей заторможенности. Может наблюдаться лишь маловыра­женный седативный эффект.

 

 

11.3.1. СОЛИ ЛИТИЯ

Соли лития в основном используют для лечения и профилактики маний (схема 11.1).

Механизм действия лития неясен. Одна из возможностей связана с его влия­нием на токи Na+. Являясь одновалентным катионом, Li+ через быстрые натрие­вые каналы проходит внутрь клетки, где частично замещает Na+. Однако кинети­ка ионов лития отличается от таковой ионов натрия. Li+ более медленно выходит из клеток и нарушает скорость обмена вне- и внутриклеточных ионов натрия, а также распределение К+, что может сказываться на процессе деполяризации. Не исключено и влияние ионов лития на обмен моноаминов. Так, имеются данные, что литий уменьшает высвобождение норадреналина и дофамина.

Кроме того, показано, что литий влияет на вторичные передатчики. Установле­но, что он блокирует фосфоинозитольный путь и уменьшает образование инозитолтрифосфата и диацилглицерола. Последние, как известно, являются вторич­ными передатчиками для системы α-адренорецепторов и м-холинорецепторов. Имеются также данные о том, что литий может уменьшать содержание и другого вто­ричного передатчика — цАМФ (очевидно, за счет ингибирования аденилатциклазы).

При энтеральном введении соли лития хорошо всасываются из тонкой киш­ки. Распределяются в организме довольно равномерно. Проникают через гематоэнцефалический барьер, хотя и медленно. В спинномозговой жидкости лития содержится в 2 раза меньше, чем в плазме крови. Выделяется литий почками пу­тем фильтрации, 4/5 его реабсорбируется.

Содержание лития в плазме уменьшается на 50% примерно через 24 ч. Ско­рость его элиминации можно незначительно увеличить повышением в диете со­держания натрия хлорида. При уменьшении введения натрия хлорида или избы­точном его выведении литий задерживается в организме, и это может привести к интоксикации (например, при применении мочегонных средств, способствую­щих выведению ионов натрия, а также при бессолевой диете). Следует учиты­вать, что в определенных количествах ионы лития в период лактации выделяются молочными железами, что может вызвать интоксикацию ребенка.

В медицинской практике применяют различные соли лития (карбонат, хло­рид, йодид, ацетат, цитрат). Наиболее распространенным препаратом является лития карбонат (Li2CO3). Вводят его только энтерально.

Как уже отмечалось, одно из важнейших показаний к применению солей ли­тия — лечение маний. От антипсихотических средств соли лития отличаются бо­лее медленным развитием эффекта (2-3 нед), более избирательным действием в отношении маний, отсутствием выраженного седативного эффекта (не вызыва­ют у больных вялости, апатичности).

Большое значение имеет эффективность солей лития для профилактики ма­ний, а также депрессий (при маниакально-депрессивном психозе).

Следует учитывать малую терапевтическую широту солей лития (терапевтичес­кий индекс соответствует 2-3). Поэтому при применении солей лития необходим регулярный контроль их содержания в крови (оно не должно превышать 1,6 мэкв/л).

Применение солей лития может сопровождаться различными побочными эф­фектами: диспепсическими расстройствами, мышечной слабостью, тремором, полиурией, жаждой. Иногда развивается нетоксический зоб. Соли лития проти­вопоказаны при нарушении выделительной функции почек, при дисфункции щитовидной железы. Следует с осторожностью применять соли лития при язвен­ной болезни желудка и двенадцатиперстной кишки, холецистите.

Острое отравление солями лития проявляется рвотой, диареей, атаксией, диз­артрией, судорогами. В тяжелых случаях развивается кома с возможным смер­тельным исходом. Лечение острых отравлений направлено на ускорение выведе­ния лития из организма. С этой целью назначают осмотические диуретики, натрия гидрокарбонат, а при необходимости прибегают к гемодиализу.

Для профилактики развития маниакально-депрессивных состояний иногда применяют противоэпилептические препараты карбамазепин и натрия вальпроат (если соли лития не дают желаемого эффекта).

 

Препараты
Название Средняя терапевтическая доза для взрослых; путь введения Форма выпуска
Лития карбонат — Lithii carbonas Внутрь 0,3-0,6 г Таблетки, покрытые оболочкой, по 0,3 г

 

 

11.4. АНКСИОЛИТИКИ (ТРАНКВИЛИЗАТОРЫ)

Основным для этих веществ является анксиолитический (транквилизирующий) эффект. Проявляется он в уменьшении внутреннего напряжения, устранении бес­покойства, тревоги, страха. Кроме того, большинство анксиолитиков оказывают седативное действие. Применяют анксиолитики главным образом при невроти­ческих и неврозоподобных (реактивных) состояниях. На вегетативную иннерва­цию большинство препаратов (за исключением амизила) не влияют; анксиоли­тики не вызывают экстрапирамидных нарушений.

Анксиолитики представлены следующими группами препаратов:

  1. Агонисты бензодиазепшовыхрецепторов (диазепам, феназепам и др.).
  2. Агонисты серотониновых рецепторов (буспирон).
  3. Вещества разного типа действия (амизил и др.).

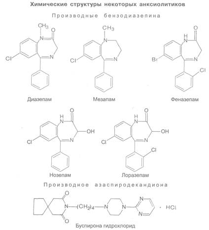
Наиболее широко применяется первая группа веществ. По химическому стро­ению эти препараты являются производными бензодиазепина.

Классифицируют бензодиазепиновые анксиолитики по продолжительности дей­ствия. При этом учитывается общая продолжительность эффекта как основного препарата, так и его активных метаболитов, образующихся в организме. Выделяют следующие группы:

  1. Длительного действия (t1/2 = 24-48 ч)

Феназепам

Диазепам (сибазон, седуксен, валиум)

Хлордиазепоксид (хлозепид, элениум)

  1. Средней продолжительности действия (t1/2 = 6-24 ч)

Нозепам (оксазепам, тазепам)

Лоразепам

Алпразолам

  1. Короткого действия (t1/2 < 6 ч)
    Мидазолам (дормикум)

Для бензодиазепиновых препаратов характерны следующие эффекты:

    • анксиолитический,
    • седативный,
    • снотворный,
    • мышечно-расслабляющий,
    • противосудорожный,
    • амнестический.

Приведенные бензодиазепины обладают выраженными анксиолитическим и седативным свойствами. Уменьшая эмоциональное напряжение, они также спо­собствуют наступлению сна. Психотропное действие этих препаратов в основ­ном связывают с их влиянием на лимбическую систему. Так, показано, что бензо­диазепины в большей степени снижают спонтанную активность нейронов гиппокампа, чем гипоталамуса и ретикулярной формации ствола головного моз­га. Они подавляют импульсное последействие в лимбической системе, а также в гипоталамусе. По-видимому, некоторое значение имеет и угнетающее влияние на активирующую ретикулярную формацию ствола мозга, так как бензодиазепины подавляют реакцию активации ЭЭГ, возникающую в ответ на раздражение рети­кулярной формации.

Механизм действия бензодиазепинов связан с тем, что они являются агонистами бензодиазепиновых рецепторов, которые тесно связаны с ГАМКA-рецепторами. При стимуляции бензодиазепиновых рецепторов наблюдается аллостерическая активация ГАМКА-рецепторов. Поэтому взаимодействие бензодиазепинов с одноименными рецепторами проявляется в виде ГАМК-миметического эффек­та (рис. 11.3). При этом повышается частота открывания каналов для ионов С1-, что увеличивает входящий ток С1-. Возникают гиперполяризация мембраны и угнетение нейрональной активности.

Одним из наиболее эффективных анксиолитиков является феназепам. По анксиолитическому и снотворному действию он превосходит диазепам.

Выделяют бензодиазепины с выраженным анксиолитическим действием и отсутствующим или минимальным седативно-гипнотическим эффектом. Такие препараты иногда обозначают как «дневные анксиолитики (транквилизаторы)». К их числу может быть отнесен мезапам (рудотель).

Бензодиазепины вызывают миорелаксацию, причиной которой являются уг­нетение спинальных полисинаптических рефлексов и нарушение их супраспинальной регуляции (такие вещества относят к числу центральных миорелаксантов). Бензодиазепины обладают противосудорожной активностью. В больших дозах могут вызывать амнезию. Потенцируют угнетающее влияние на ЦНС ве­ществ с наркотическим типом действия. На вегетативную иннервацию они не влияют (м-холиноблокирующие, ганглиоблокирующие и адреноблокирующие свойства у них отсутствуют). Артериальное давление в обычных терапевтических дозах не изменяют.

Являясь липофильными соединениями, бензодиазепины легко проникают че­рез гематоэнцефалический и другие биологические барьеры. Хорошо всасыва­ются из пищеварительного тракта, в основном из двенадцатиперстной кишки.

Быстрее всего абсорбируется диазепам, более медленно — нозепам, лоразепам; промежуточное положение занимают алпразолам, мидазолам.

В организме бензодиазепины подвергаются биотрансформации. Некоторые метаболиты обладают выраженным и продолжительным анксиолитическим эффектом (схе­ма 11.2). В качестве примера может быть назван метаболит хлордиазепоксида и диазепама N-дезметилдиазепам (нордиазепам), снижение содержания которого в плазме на 50% (t1/2) происходит в диапазоне 40-200 ч.

Большая часть бензодиазепинов и их метаболитов связывается с белками плазмы (70-90%). Кроме того, за счет липофильности значительные количества препаратов депонируются в жировой ткани.

Метаболиты, конъюгаты (глюкурониды) и небольшие количества препаратов в неизмененном виде выводятся в основном почками, частично — кишечником.

Переносятся бензодиазепины хорошо. Тем не менее при их применении могут наблюдаться побочные эффекты: сонливость, замедленные двигательные реак­ции, нарушение памяти, слабость, диплопия, головная боль, тошнота, наруше­ние менструального цикла, снижение половой потенции, кожные высыпания. При

 

 

длительном приеме бензодиазепинов (6 мес) развивается привыкание, возможно возникновение лекарственной зависимости (психической и физической). Синдром отмены протекает менее тягостно, чем в случае появления физической зависимости от барбитуратов.

Специфическим антагонистом бензодиазепинов является флумазенил. Он блокирует бензодиазепиновые рецепторы и устраняет полностью или уменьшает выраженность большинства центральных эффектов бензодиазепиновых анксиолитиков.

Обычно флумазенил используют для устранения остаточных эффектов бензодиазепинов (например, при их применении в хирургической практике или при диагностических процедурах), а также при их передозировке или остром отравлении. Есть данные о положительном действии флумазенила при печеночной энцефалопатии, однако это требует более тщательного изучения.

Вводят препарат обычно внутривенно, так как при приеме внутрь большая его часть метаболизируется при первом прохождении через печеночный барьер. Действует флумазенил кратковременно — 30-60 мин, поэтому при необходимости его вводят повторно.

К агонистам (частичным) серотониновых рецепторов относится буспирон. По химическому строению он является азаспиродекандионом. Обладает высоким аффинитетом к серотониновым рецепторам головного мозга подтипа 5-НТ.

 

По имеющимся данным, последние относятся к соматодендритным ауторецепторам. Их стимуляция сопровождается аутоингибирующим эффектом, что приводит к снижению активности нейронов ядра шва, уменьшению синтеза и высвобождения серотонина. Кроме того, буспирон связывается с дофаминовыми рецепторами. С бензодиазепиновыми рецепторами не взаимодействует, ГАМК-миметический эффект отсутствует. Обладает достаточно выраженной анксиолитической активностью (близкой к таковой сибазона). Эффект при его применении развивается медленно (в течение 1-2 нед). У препарата отсутствует седативное, противосудорожное и мышечно-расслабляющее действие. По имеющимся данным, у буспирона мало выражена способность вызывать привыкание и лекарственную зависимость.







Date: 2015-07-01; view: 1265; Нарушение авторских прав



mydocx.ru - 2015-2026 year. (0.907 sec.) Все материалы представленные на сайте исключительно с целью ознакомления читателями и не преследуют коммерческих целей или нарушение авторских прав - Пожаловаться на публикацию