Главная Случайная страница


Полезное:

Как сделать разговор полезным и приятным Как сделать объемную звезду своими руками Как сделать то, что делать не хочется? Как сделать погремушку Как сделать так чтобы женщины сами знакомились с вами Как сделать идею коммерческой Как сделать хорошую растяжку ног? Как сделать наш разум здоровым? Как сделать, чтобы люди обманывали меньше Вопрос 4. Как сделать так, чтобы вас уважали и ценили? Как сделать лучше себе и другим людям Как сделать свидание интересным?


Категории:

АрхитектураАстрономияБиологияГеографияГеологияИнформатикаИскусствоИсторияКулинарияКультураМаркетингМатематикаМедицинаМенеджментОхрана трудаПравоПроизводствоПсихологияРелигияСоциологияСпортТехникаФизикаФилософияХимияЭкологияЭкономикаЭлектроника






Анализ типов рыночных структур





Под рыночной структурой понимается совокупность условий, в которых протекает рыночная конкуренция. Степень конкуренции на рынке во многом определяет ценовую политику фирм. Тип рыночных структур зависит от следующих основных параметров:

1. количество и размер фирм. Существуют 4-е основных показателя, которыми характеризуется размер фирмы:

· доля продаж фирмы в рыночном объеме реализации

,

где di – доля i фирмы на рынке; m – число фирм в отрасли; Qi – количество товара, производимой i-ой фирмой;

· доля стоимости активов фирмы в стоимости активов всех фирм, действующих на рассматриваемом рынке

,

где Аi – стоимость активов i-той фирмы

· доля добавленной стоимости на предприятии в сумме добавленной стоимости всех производителей, действующих на рынке

, DC = П+А+ЗП,

где DC – добавленная стоимость; П – прибыль; ЗП – заработная плата; А – амортизация.

· доля занятых на предприятии в общей численности занятых в производстве данного продукта

,

где ri – численность работников i-фирмы.

В мировой практике считается, что если di до 10 % включительно – фирма мелкая, от 10 – 30 % включительно – средняя, от 30 % – крупная.

Иногда размер крупнейших фирм может служить характеристикой концентрации на рынке. Именно этот критерий лежит в основе определения доминирующего положения в России (признаком доминирования служит контроль не менее 35 % рынка), в Великобритании (соответственно не менее 25 % рынка).

Для определения уровня концентрации рынка товаров важ­но правильно определить прежде всего показатели размера предприятия (фирмы, компании, корпорации) и границы рын­ка, которые характеризуются особенностями продукции (произ­водственно-технического назначения, продуктовые товары), а также временным (товары длительного пользования, текущего потребления) и географическим (территориальные, поясные границы) факторами.

Основными конкретными показателями (индексами), опреде­ляющими уровень концентрации рынка товаров разных фирм, являются показатель пороговых долей (удельных весов) рынка, индекс концентрации, индекс Линда, индекс Херфиндаля — Хиршмана.

Для определения уровня концентрации рынка служит пока­затель размера наиболее крупных фирм (компаний, корпораций, предприятий, объединений), действующих на нем, который на­зывается показателем пороговых долей рынка.

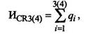
1. Индекс концентрацииCR) (concentration ratio) показы­вает долю наиболее крупных фирм (компаний, корпораций, объединений) в общем объеме рынка товаров в процентах. Он рассчитывается как сумма рыночных долей наиболее крупных фирм, осуществляющих свою деятельность на определенном рынке:

где qt — доля (удельный вес) i-й фирмы, %.

Согласно практическим данным, наиболее достоверна общая оценка состояния рыночной концентрации товаров, осуществля­емая по количественным значениям индексов концентрации для трех наиболее крупных фирм.

Индекс концентрации фирм может колебаться в следующих пределах: 0 < ИCR ≤ 100%. Если ИCR < 45%, то концентрация считается нормальной, а рынок товаров — конкурентным; если 45% < ИCR < 70%, то концентрация достигает средней степени, а при ИCR > 70% получается высокая степень концентрации, в этом случае рынок товаров является неконкурентным.

Указанный индекс концентрации в неполной мере может учитывать специфические особенности рыночной структуры всей конкретной отрасли, однако этот показатель можно применять в качестве определенного ориентира при небольшом числе доми­нирующих фирм в отрасли, прежде всего действующих на рын­ках олигополистической или монополистической конкуренции, а также в сочетании с другими индексами рыночной концентрации товаров (услуг).

2. Индекс Линда (Ид) в основном применяется в странах Европейского союза и рассчитывается прежде всего для наиболее крупных фирм (компаний, корпораций, объединений), действу­ющих в самом «ядре» рынка определенных товаров.

Для двух наиболее крупных фирм индекс Линда:

где d1, d2 — рыночные доли (удельные веса) соответствующих фирм в общем объеме продаж.

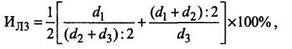
Для трех наиболее крупных фирм индекс Линда:

где d1, d2, d3 — рыночные доли (удельные веса) соответствующих фирм в общем объеме продаж.

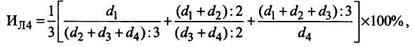
Для четырех наиболее крупных фирм индекс Линда:

где d1, d2, d3, d4 — рыночные доли соответствующих фирм в общем объеме продаж.

Важно отметить, что в случае намерения слияния фирм госу­дарственные органы могут дать соответствующее разрешение при условии, если индекс Линда будет находиться, как правило, в следующих пределах: 120% < Ид < 200%.


3. В качестве критерия демонополизации рынка и создания условий для конкуренции в США используется весьма простой индекс ХерфиндапяХиршманаXX), который можно рас­сматривать как индекс рыночной концентрации товаров разных фирм, представленных на рынке.

Индекс Херфиндаля — Хиршмана (Ихх) рассчитывается по следующей формуле:

где gi — доля (удельный вес) каждой фирмы на рынке в общем объеме выпущенной продукции, %; к — количество фирм в отрасли. При этом

т.е. при любом количестве в конкретной отрасли фирм (компаний, предприятий) общий удельный вес всей выпускаемой ими продукции должен составлять 100%.

При проведении расчета индекса по методу Херфиндаля — Хиршмана рынок считается неконцентрированным (нормальным для конкуренции), если общий Ихх < 1000 ед. (т.е. если общая сумма квадратов удельных весов всей выпускаемой продукции в конкретной отрасли (на рынке) составит меньше 1000 ед.). При таких значениях индекса Херфиндаля—Хиршмана разрешается любое слияние фирм. Рынок считается высококонцентрирован­ным (неконкурентным), если общее значение указанного индек­са превышает 1800 ед.

Наибольшее значение индекса Ихх достигается при монопо­лизации рынка одной фирмой (компанией, концерном), при этом Ихх = (100%)2 = 10 000 ед. Если 1000 < Ихх < 1800, то рынок обладает средней степенью концентрации и слияние допускается при условии до и после слияния не должен превышать 300 пунктов. Последняя становится очень высокой при Ихх > 1800 ед. В этом случае объединение фирм государственными органами не разрешается.

Таким образом, при значениях индекса Херфиндаля — Хиршмана, равных 1000 ед. и ниже, рынки считаются неконцентрированными. Они конкурентны, и в силу этого предложение това­ров и их производство достаточно быстро реагируют на измене­ние ситуации на рынке.

Предложение (производство) товаров в этих условиях очень эластично, потому что вероятность реакции даже одной фирмы на изменившуюся конъюнктуру рынка достаточно высокая, а при небольших значениях Ихх может быть и весьма высокой. В этих условиях конкурентного рынка предложение товаров в зависимо­сти от цены будет расти. Наоборот, чистая монополия, когда фир­ма не имеет конкурентов и является единственной на рынке, по­рождает неэластичность предложения, застой в производстве, при этом вероятность реакции последнего на изменяющиеся ус­ловия рынка невелика.

Следовательно, исходя из проводимого анализа качествен­ных и количественных показателей (индексов), отражающих структуру рынка товаров, можно определять степень рыночной концентрации и уровень конкуренции на рынке, соответствен­но разрабатывать и формировать конкурентную среду на конк­ретном рынке.

Пример 1. Рассчитать индекс Херфиндаля – Хиршмана (Ихх) для 12 фирм, продающих товар на рынке, а также опреде­лить, какое следует принять решение государственным органам (разрешить или не разрешить) о слиянии: а) 1-й и 3-й фирм; б) 4-й и 6-й фирм при следующих исход­ных данных:

1) общий удельный вес продаваемой (выпущенной) продукции фирмами отрасли – 100%;

2) удельный вес продаваемой продукции каждой отдельной фирмой на рынке относительно ее общей величины: 1– 23%; 2 – 17%; 3 – 12%; 4 – 10%; 5 – 9%; 6 – 8%; 7 – 7%; 8 – 5%; 9 – 3%; 10 – 2%; 11–2%; 12 – 2%;


3) слияние (объединение) отдельных фирм разрешается при условии, если общее значение индекса Херфиндаля – Хиршма­на не превышает 1800 ед. (т.е. общей суммы квадратов удельных весов всей продаваемой продукции).

Решение.

1. Рассчитываем индекс Херфиндаля – Хиршмана:

Ихх = 232 + 172 + 122 + 102 + 92 + 82 + 72 + 52 + З2 + (3 х 22) = 529 + 289 + 144 + 100 + 81 + + 64 + 49 + 25 + 9 + 12 = 1302.

т.е. индекс Ихх показывает, что данный рынок является средне концентрированным, то слияние разрешается при условии.

2. Если 1-я и 3-я фирмы пожелают объединиться, то удельный вес продаваемой ими продукции на рынке составит – 35%, при этом вновь рассчитываем индекс Херфиндаля – Хиршмана

Ихх = 352 + 172 + 102 + 92 + 82 + 72 + 52 + З2 + (3 х 22) = 1225 + 289 + 100 + 81 + 64 + 49 + 25 + 9 + 12 = 1854,

Вывод. Поскольку Ихх = 1854 – 1302 > 300, то слияние указанным фирмам со стороны государственных органов не разрешается.

3. Если 4-я и 6-я фирмы пожелают объединиться, то удельный вес продаваемой ими продукции на рынке составит – 18%, при этом вновь рассчитываем индекс Херфиндаля – Хиршмана

Ихх = 232 + 172 + 122 + 182 + 92 + 72 + 52 + З2 + (3 х 22) = = 529 + 289 + 144 + 324 + 81 + 49 + 25 + 9 + 12 = 1462

Вывод. Поскольку Ихх = 1462 – 1302 < 300, то слияние указанным фирмам со стороны государственных органов разрешается.

Пример 2. Рассчитать индекс концентрации и индекс Лин­да для 3-х наиболее крупных компаний, когда на рынке действу­ют 11 компаний и имеют в общем объеме рынка (общем объеме продаж) следующие доли: 1 — 18%; 2 — 14%; 3 — 10%; 4 — 9%; остальные 7 — по 7% каждая; а также определить, возможно ли со стороны государственных органов разрешение на слияние 1-й, 2-й и 3-й компании, если их доли в общем объеме продаж соста­вят соответственно 35; 22 и 25%. При этом следует иметь в виду, что объединение разрешается, если индекс Линда не превышает 200%.

Решение.

1. Рассчитываем индекс концентрации для трех наиболее крупных компаний в общем объеме рынка

CR3 = 18% + 14% + 10% = 42%.

Вывод. Индекс концентрации, равный 42% в общем объеме рынка, показывает, что последний характеризуется умеренной степенью концентрации и его можно рассматривать как конку­рентный рынок.

2. Определяем общий индекс Линда для трех наиболее круп­ных компаний

Вывод. Индекс Линда находится в пределах 120% < Ид< 200%, т.е. отмечается нормальная концентрация рынка.

3. Рассчитываем индекс Линда при доле 1-й компании, равной 35% в общем объеме продаж,

Вывод. Слияние 1-й компании не разрешается со стороны го­сударственных органов.

4. Определяем индекс Линда при доле 2-й компании, равной 22% в общем объеме продаж,

Вывод. Слияние (объединение) 2-й компании разрешается со стороны государственных органов.


5. Рассчитываем индекс Линда при доле 3-й компании, равной 25% в общем объеме продаж,

Вывод. Слияние (объединение) 3-й компании разрешается со стороны государственных органов.

 







Date: 2015-07-01; view: 3200; Нарушение авторских прав



mydocx.ru - 2015-2026 year. (0.422 sec.) Все материалы представленные на сайте исключительно с целью ознакомления читателями и не преследуют коммерческих целей или нарушение авторских прав - Пожаловаться на публикацию