Главная Случайная страница


Полезное:

Как сделать разговор полезным и приятным Как сделать объемную звезду своими руками Как сделать то, что делать не хочется? Как сделать погремушку Как сделать так чтобы женщины сами знакомились с вами Как сделать идею коммерческой Как сделать хорошую растяжку ног? Как сделать наш разум здоровым? Как сделать, чтобы люди обманывали меньше Вопрос 4. Как сделать так, чтобы вас уважали и ценили? Как сделать лучше себе и другим людям Как сделать свидание интересным?


Категории:

АрхитектураАстрономияБиологияГеографияГеологияИнформатикаИскусствоИсторияКулинарияКультураМаркетингМатематикаМедицинаМенеджментОхрана трудаПравоПроизводствоПсихологияРелигияСоциологияСпортТехникаФизикаФилософияХимияЭкологияЭкономикаЭлектроника






Правило большого пальца





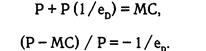
При объеме производства, максимизирующем прибыль можно записать:

Так как целью фирмы является максимизация прибыли, мы можем прирав­нять предельный доход к предельным издержкам:


или

 

Данная формула представляет собой правило «большого пальца» для цено­образования. Левая часть уравнения (Р - МС)/Р выражает превышение цены над предельными издержками как процент от цены. Уравнение показывает, что, данное превышение равняется величине, обратной эластичности спроса, взя­той с отрицательным знаком. Можно переписать это уравнение, чтобы выра­зить цену через предельные издержки:

Например, если эластичность спроса равняется -5, а предельные издержки 10 ден. ед. на единицу продукции, цена должна составить:

10 / (1-1/5) = 10/0,8 = 12,5 ден. ед.

Таким образом, если в условиях совершенной конкуренции цена равна пре­дельным издержкам, то монополист назначает цену, превышающую предельные издержки на величину, обратно пропорциональную эластичности спроса.

Следовательно, способом измерения монопольной власти является вели­чина, на которую цена, максимизирующая прибыль, превышает предельные издержки.

С помощью уравнения () можно рассчитать цену как простую накидку над предельными издержками. Это универсальное правило ценообразования для любой фирмы с монопольной властью, если учитывать, что еD является коэффициен­том эластичности спроса для фирмы, а не рыночного спроса.







Date: 2015-07-01; view: 740; Нарушение авторских прав



mydocx.ru - 2015-2026 year. (1.048 sec.) Все материалы представленные на сайте исключительно с целью ознакомления читателями и не преследуют коммерческих целей или нарушение авторских прав - Пожаловаться на публикацию