Главная Случайная страница


Полезное:

Как сделать разговор полезным и приятным Как сделать объемную звезду своими руками Как сделать то, что делать не хочется? Как сделать погремушку Как сделать так чтобы женщины сами знакомились с вами Как сделать идею коммерческой Как сделать хорошую растяжку ног? Как сделать наш разум здоровым? Как сделать, чтобы люди обманывали меньше Вопрос 4. Как сделать так, чтобы вас уважали и ценили? Как сделать лучше себе и другим людям Как сделать свидание интересным?


Категории:

АрхитектураАстрономияБиологияГеографияГеологияИнформатикаИскусствоИсторияКулинарияКультураМаркетингМатематикаМедицинаМенеджментОхрана трудаПравоПроизводствоПсихологияРелигияСоциологияСпортТехникаФизикаФилософияХимияЭкологияЭкономикаЭлектроника






Контроля уровня надежности





Стратегия технического обслуживания с контролем надежности соответствует стратегии использования элементов технических систем до отказа. При этом межремонтных периодов на них не устанавливается, но контроль и диагностирование выполняются регламентировано. Применительно ко всему парку однотипных изделий осуществляется контроль уровня надежности. В случае, когда фактический уровень надежности становится ниже нормативного, проводится тщательный анализ причин отклонения и осуществляются мероприятия по его повышению. Такими мероприятиями могут являться: дополнительные работы по обслуживанию и ремонту; изменение периодичности контроля надежности; изменение условий и режимов эксплуатации; конструкторские доработки и модернизация оборудования; переход на стратегию обслуживания и ремонта по наработке.

Данная стратегия применяется там, где есть совокупность однотипных узлов или машин, для которой приемлемы математико-статистические методы. Ее использование целесообразно для объектов, отказы которых не влияют на безопасность производства; для которых имеет место экспоненциальное распределение вероятности безотказной работы; которые обладают высокой эксплуатационной технологичностью (легкосъемностью, доступностью, взаимозаменяемостью); затраты на эксплуатацию которых до отказа не превышают затрат на эксплуатацию по профилактике.

Важной особенностью стратегии обслуживания с контролем надежности является ее исследовательская направленность, открывающая перспективы полного перехода к обслуживанию по техническому состоянию.

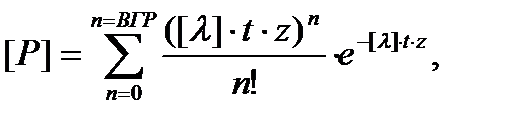
Уровень надежности совокупности однотипных изделий контролируется путем сравнения наблюдаемого числа отказов nf с верхней границей регулирования (ВГР), представляющей собой допустимое число отказов n=ВГР. Это значение устанавливается для заданной вероятности [P] с помощью распределения Пуассона:

 

(7.1)

 

где [λ] -допустимая интенсивность отказов,

z - число однотипных элементов.

t – наработка на отказ.

 

Как правило, [P]=0,95…0,98. Следовательно, с такой вероятностью в течение наработки t не будет превышен порог допустимого числа отказов при наличии одних лишь случайных причин, что удовлетворяет условию nf ≤ n.

 

 







Date: 2015-07-01; view: 549; Нарушение авторских прав



mydocx.ru - 2015-2026 year. (3.561 sec.) Все материалы представленные на сайте исключительно с целью ознакомления читателями и не преследуют коммерческих целей или нарушение авторских прав - Пожаловаться на публикацию