Главная Случайная страница


Полезное:

Как сделать разговор полезным и приятным Как сделать объемную звезду своими руками Как сделать то, что делать не хочется? Как сделать погремушку Как сделать так чтобы женщины сами знакомились с вами Как сделать идею коммерческой Как сделать хорошую растяжку ног? Как сделать наш разум здоровым? Как сделать, чтобы люди обманывали меньше Вопрос 4. Как сделать так, чтобы вас уважали и ценили? Как сделать лучше себе и другим людям Как сделать свидание интересным?


Категории:

АрхитектураАстрономияБиологияГеографияГеологияИнформатикаИскусствоИсторияКулинарияКультураМаркетингМатематикаМедицинаМенеджментОхрана трудаПравоПроизводствоПсихологияРелигияСоциологияСпортТехникаФизикаФилософияХимияЭкологияЭкономикаЭлектроника






Задача 2. Условие:Дана таблица распределения 100 машин по затратам на перевозки Х денежных единиц и по протяженности маршрутов перевозок Y км





Условие: Дана таблица распределения 100 машин по затратам на перевозки Х денежных единиц и по протяженности маршрутов перевозок Y км. Известно, что между Х и Y существует линейная корреляционная зависимость. Требуется:

1) найти уравнение прямой регрессии Y на Х;

2) построить уравнение эмпирической линии регрессии и случайной точки выборки ХY.

y x                    
        - - - - -    
  -       - - - -    
  - -       - - -    
  - - -       - -    
  - - - -       -    
  - - - -            
                   

 

Решение:

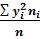
Для нахождения выборки , , составим таблицу:

х            
           

 

= = = = 448

= - = - = 256192 – 200704 = 55488

= = 234,56

Составим закон распределения для y:

y                
               

 

= = (800*3+2200*10+3600*13+5000*18+6400*31+7800*14+9200*8+10800*3) = 5748

= - = ( *3+ *10+ *13+ *31+ *14+ *8+ *3) - = 38173600 – 33039504 = 5134096

= = 2265,85

Выборочный коэффициент корреляции:

, где = ) -

= (40(800*3+2200*5+3600*2) + 200(2200*5+3600*4+5000*5) + 360(3600*7+5000*5+6400*15) + 520(8*5000+9*6400+4*7800) +680(7*6400+5*7800+4*9200) + 840(5*7800+4*9200+3*10800)) – 448*5748 = 3034080 – 2575104 = 458976

= = 0,86

Подставим и найдем значения:

Y = + (x - ) = 5748 +0,86 (x – 448) = 8,27x + 2042

y(0) = 2042

y(840) = 8988,8

Список использованной литературы.

1) В.Е. Гмурман «Теория вероятностей и математическая статистика», изд. «Высшая школа», 2004г.

2) В.Е. Гмурман «Руководство к решению задач по теории вероятностей и математической статистике», изд. «Высшая школа», 2004г.







Date: 2015-07-17; view: 1349; Нарушение авторских прав



mydocx.ru - 2015-2026 year. (1.385 sec.) Все материалы представленные на сайте исключительно с целью ознакомления читателями и не преследуют коммерческих целей или нарушение авторских прав - Пожаловаться на публикацию