Главная Случайная страница


Полезное:

Как сделать разговор полезным и приятным Как сделать объемную звезду своими руками Как сделать то, что делать не хочется? Как сделать погремушку Как сделать так чтобы женщины сами знакомились с вами Как сделать идею коммерческой Как сделать хорошую растяжку ног? Как сделать наш разум здоровым? Как сделать, чтобы люди обманывали меньше Вопрос 4. Как сделать так, чтобы вас уважали и ценили? Как сделать лучше себе и другим людям Как сделать свидание интересным?


Категории:

АрхитектураАстрономияБиологияГеографияГеологияИнформатикаИскусствоИсторияКулинарияКультураМаркетингМатематикаМедицинаМенеджментОхрана трудаПравоПроизводствоПсихологияРелигияСоциологияСпортТехникаФизикаФилософияХимияЭкологияЭкономикаЭлектроника






Образец оформления титульного листа





 

ФГБОУ ВПО

Новосибирский государственный аграрный университет

Инженерный институт

Кафедра эксплуатации машинно-тракторного парка

 

ЭКСПЛУАТАЦИЯ МАШИННО-ТРАКТОРНОГО ПАРКА

Расчётное задание

 

ЭМ РЗ. __0000. ПЗ

 

 

Выполнил студент: ______________

Группа: _______

Номер зачётной книжки __________

 

Принял: _______________________

 

Дата «___» ___________201_ г.

 

Новосибирск 201_ г.


 

 
 

 

 


 

 


 

 

 


 

 

 


 

 

 


 

 

 

 


 

 

 


 

 


 

 

 

 


 

 

 


 

 


 

 

 


 

 

 

 


 

 

 


 

 


 

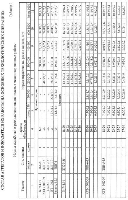
Таблица 12

Производительность тракторов на уплотнении измельченной

зеленой массы при оптимальной подаче

Трактор Производительность, т/ч Расход топлива, кг/ч
ВТ-100д   7,0
ХТЗ-150К-09   10,5
Т-402.01   9,3
К-744.Р1   17,2

 

 

Приложение 4

Нормы выработки и расхода топлива на выполнение







Date: 2015-06-11; view: 790; Нарушение авторских прав



mydocx.ru - 2015-2026 year. (0.786 sec.) Все материалы представленные на сайте исключительно с целью ознакомления читателями и не преследуют коммерческих целей или нарушение авторских прав - Пожаловаться на публикацию