Главная Случайная страница


Полезное:

Как сделать разговор полезным и приятным Как сделать объемную звезду своими руками Как сделать то, что делать не хочется? Как сделать погремушку Как сделать так чтобы женщины сами знакомились с вами Как сделать идею коммерческой Как сделать хорошую растяжку ног? Как сделать наш разум здоровым? Как сделать, чтобы люди обманывали меньше Вопрос 4. Как сделать так, чтобы вас уважали и ценили? Как сделать лучше себе и другим людям Как сделать свидание интересным?


Категории:

АрхитектураАстрономияБиологияГеографияГеологияИнформатикаИскусствоИсторияКулинарияКультураМаркетингМатематикаМедицинаМенеджментОхрана трудаПравоПроизводствоПсихологияРелигияСоциологияСпортТехникаФизикаФилософияХимияЭкологияЭкономикаЭлектроника






Определение экономической эффективности использования систем автоматизированного проектирования





 

Информатизация общества, опирающаяся на современные средства вычислительной техники, во многом меняет подход к самому понятию эффективности и к ее оценке. Использование персональных компьюте­ров и периферии, систем передачи информации и т. д. повышает интел­лектуальные возможности человека, качественно меняя производитель­ность, масштабы порождения новой стоимости. Поэтому с учетом мен­талитета средств ВТ делаются ненужными многие экономические ра­счеты.

Однако при запуске больших машин, крупных партий ПЭВМ, рас­пределенных информационных сетей возникает необходимость оце­нить экономическую эффективность принимаемых решений. Вообще говоря, создается некий техноценоз (как совокупность средств ВТ и сопровождения), а эффективность оценивается по созданию информ-ценоза — системы документации на строительство, на основе которого в свою очередь создается техноценоз (цех, завод). Все эти пересечения и взаимосвязи требуют договорных отношений по всей цепочке. Для покупателя ВТ важно интуитивно (экспертно) оценить возможность более качественного и более быстрого выпуска документации.

В общем случае эффективность создания и использования САПР появляется в сфере проектирования (сокращение сроков, снижение трудоемкости проектирования); в сфере объектов, спроектированных средствами- САПР, за счет повышения качества проектной документации и лучших проектных решений (сокращение сроков, экономия трудо­затрат, материалов, энергии и других ресурсов) и в сфере эксплуатации за счет повышения технико-экономических характеристик.

Схема определения годового экономического эффекта использова­ния САПР следующая.

 

Годовой экономический эффект определяется по разности приве­денных затрат базового и оцениваемого способов проектирования:

где 3 = С + ЕИК.

Полные приведенные затраты определяются как сумма приведенных затрат в сферах проектирования, строительства и эксплуатации:

Затраты в сфере проектирования

где Сп - себестоимость проектирования; Кп единовременные затра­ты в проектирование; ДЗП = ДСП - Е^АК^. Затраты в сфере строительства

где Сс себестоимость строительства; Кс основные фонды строитель­ной организации. Специфика САПР: Д3с =ДСс; kc баз с о.

Затраты в сфере эксплуатации

где Сэ текущие затраты на выпуск продукции на запроектированном объекте; К — сопутствующие капитальные вложения в сфере эксплуа­тации. Специфика САПР: Д3д =ДСд; КэЛю =*э-0цен.

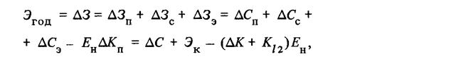
Тогда годовой экономический эффект

где ДС = ДСп; Эк = ДСс + ДСЭ; Д£п = ДК + К}2 -, Еу =0,15 - норматив­ный коэффициент сравнительной экономической эффективности капи­тальных вложений, 1/год; ДК — величина общих дополнительных капи­тальных затрат, определяемая как алгебраическая сумма значений из­менения стоимости активной и пассивной частей основных фондов про­ектной организации, рассчитанных на сопоставимые объемы проектных работ в базовом и оцениваемом способах проектирования; К^2 за­траты на разработку технического, методического, программного, ин­формационного обеспечений САПР и на подготовку специалистов САПР, тыс. руб.

 

Расчет экономической эффективности создания и использования САПР производится для трех расчетных стадий: 1) предпроектные исследования, разработка технического задания; 2) разработка техни­ческого проекта; 3) ввхэд в действие и промышленное функционирова­ние САПР. В качестве базового применяется такой лучший существую­щий способ выполнения рассматриваемой задачи (процедуры) проекти­рования или совокупности задач (проектных работ), подлежащих ав­томатизации, который может быть реализован (показатели наиболее передовой организации).

Экономическая эффективность использования САПР характеризу­ется следующими основными показателями: годовым экономическим эффектом; сроком окупаемости; расчетным коэффициентом общей экономической эффективности САПР; ростом производительности труда проектировщиков; коэффициентом роста объема проектных работ — общим в целом по организации за счет средств автоматизации проектирования с использованием оцениваемой САПР и частным — только на работах, охваченных автоматизацией с использованием оце­ниваемой САПР; численностью условно высвобожденных работников; общим изменением себестоимости проектирования; снижением расхо­да ресурсов (металл, цемент, лес, электроэнергия, топливо и др.); го­довой экономией от снижения сметной стоимости строительства объек­тов, запроектированных средствами САПР; общей годовой экономией от повышения качества проектных решений; уровнем автоматизации проектных работ за счет внедрения САПР (определяется отношением объема автоматизированной части к общему объему данного вида про­ектных работ); годовым объемом проектных работ, выполняемых средствами САПР; общим годовым объемом работ.


Вопросы для самопроверки

 

Оцените область использования и особенности технике-экономи­
ческих расчетов в энергетике.

Определите экономический смысл понятий "срок окупаемости"
и "приведенные затраты".

Обоснуйте необходимость учета в технико-экономических расче­
тах ущерба от перерывов электроснабжения (посадок напряжения)
и от отклонений показателей качества электроэнергии.

Что такое укрупненные показатели стоимости элементов системы
электроснабжения и как они образуются?

 

Оцените необходимость использования теории распознавания
образов при пользовании укрупненными показателями. Какие ценоло-
гические ограничения накладываются на использование стоимостных
показателей?

Определите потери электроэнергии для одного элемента (транс­
форматора, шины) или простейшей электрической цепи и рассмотрите

 

 

возможность ежесуточного (годового) определения потерь электро­энергии на всех уровнях системы электроснабжения как сумму потерь в каждом из элементов. Какие исходные данные необходимы для этого?

Каковы особенности технико-экономических расчетов при техни­
ческом перевооружении, модернизации и реконструкции промышленных
предприятий?

Обоснуйте необходимость учета фактора времени при проведении
технико-экономических расчетов.

Рассмотрите особенности определения эффективности САПР в ус­
ловиях информатизации общества.







Date: 2015-06-11; view: 1228; Нарушение авторских прав



mydocx.ru - 2015-2026 year. (0.217 sec.) Все материалы представленные на сайте исключительно с целью ознакомления читателями и не преследуют коммерческих целей или нарушение авторских прав - Пожаловаться на публикацию