Главная Случайная страница


Полезное:

Как сделать разговор полезным и приятным Как сделать объемную звезду своими руками Как сделать то, что делать не хочется? Как сделать погремушку Как сделать так чтобы женщины сами знакомились с вами Как сделать идею коммерческой Как сделать хорошую растяжку ног? Как сделать наш разум здоровым? Как сделать, чтобы люди обманывали меньше Вопрос 4. Как сделать так, чтобы вас уважали и ценили? Как сделать лучше себе и другим людям Как сделать свидание интересным?


Категории:

АрхитектураАстрономияБиологияГеографияГеологияИнформатикаИскусствоИсторияКулинарияКультураМаркетингМатематикаМедицинаМенеджментОхрана трудаПравоПроизводствоПсихологияРелигияСоциологияСпортТехникаФизикаФилософияХимияЭкологияЭкономикаЭлектроника






Технико-экономические расчеты при реконструкции





 

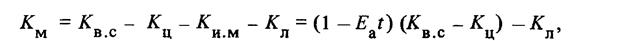
В ряде случаев возникает необходимость сравнивать экономическую целесообразность сооружения новой установки или реконструкции (расширения) действующей. Приведенные затраты для реконструируе­мых объектов определяются по выражению

 

 

 

где К — капиталовложения во вновь сооружаемые элементы электроснабжения в действующих ценах по укрупненным показателям; Къс -восстановительная стоимость существующих элементов по укрупнен­ным показателям; Е = Е + Е • К = К + К – стоимость существующих элементов электроснабжения, сохраняемых при рекон­струкции; К = Е tK — износ существующих элементов электроснабжения; t — время с начала эксплуатации до момента реконструк­ции, лет; К =К - Кк - стоимость существующих элементов элект­роснабжения, освобождаемых при реконструкции и пригодных для использования в другом месте; К — цена оборудования по прейскуранту; Кло = А'в с - К^ - Кд + KR =*_ с(1 -Ej) -АГД + ЛГД - капи-таловложения в существующие элементы электроснабжения, ликвиди­руемые при реконструкции; К = Е - tK — износ этого оборудо­вания; km = km + К- — стоимость существующих элементов элект­роснабжения, ликвидируемых при демонтаже элементов К о и состоя­щих из стоимости монтажа km и демонтажа К этих элементов, вклю­чая ликвидируемые при этом конструкции.

Стоимость первоначального монтажа и ликвидируемых конструк­ций демонтированного оборудования km определяют по восстанови­тельной стоимости неизношенной части этих элементов установки за вычетом их ликвидируемой стоимости Кл, принимаемой равной стоимости лома:

На основании формулы (15.13) можно получить выражение для расчета затрат при полной замене существующего оборудования:

При использовании существующего оборудования и установке но­вого

В полученных выражениях (15.14) и (15.15) в капиталовложениях учитывается восстановительная стоимость неизношенной части суще­ствующих элементов электроснабжения, сохраняемых при рекон­струкции (-^ст). В то же время стоимость реконструируемого объекта уменьшается за счет возвратных сумм, учитывающих реализацию демон­тируемого оборудования, пригодного для дальнейшего использования на других объектах ).

 

Сохранение существующих трансформаторов или подстанций при реконструкции систем электроснабжения промышленных предприятий создает определенные эксплуатационные удобства: не требуется ограни­чения потребителей на период монтажа; можно обходиться без произ­водства работ под напряжением; не снижается, как правило, надеж­ность электроснабжения в период монтажа и т. Д. При установке до­полнительных трансформаторов на существующих понижающих под­станциях 35—220/6—10 кВ и сооружении новых подстанций уменьшают­ся капиталовложения и сокращаются сроки реконструкции. Все это подтверждает целесообразность учета в ТЭР только новых капитало­вложений или безвозвратно утерянных при реконструкции (К, К^ о) по упрощенным формулам.

 







Date: 2015-06-11; view: 723; Нарушение авторских прав



mydocx.ru - 2015-2026 year. (1.333 sec.) Все материалы представленные на сайте исключительно с целью ознакомления читателями и не преследуют коммерческих целей или нарушение авторских прав - Пожаловаться на публикацию