Главная Случайная страница


Полезное:

Как сделать разговор полезным и приятным Как сделать объемную звезду своими руками Как сделать то, что делать не хочется? Как сделать погремушку Как сделать так чтобы женщины сами знакомились с вами Как сделать идею коммерческой Как сделать хорошую растяжку ног? Как сделать наш разум здоровым? Как сделать, чтобы люди обманывали меньше Вопрос 4. Как сделать так, чтобы вас уважали и ценили? Как сделать лучше себе и другим людям Как сделать свидание интересным?


Категории:

АрхитектураАстрономияБиологияГеографияГеологияИнформатикаИскусствоИсторияКулинарияКультураМаркетингМатематикаМедицинаМенеджментОхрана трудаПравоПроизводствоПсихологияРелигияСоциологияСпортТехникаФизикаФилософияХимияЭкологияЭкономикаЭлектроника






Колодцев на колодцев на колодцев на





расстоянии 2R влияния расстоянии 2R питания расстоянии менее 2R

Третья схема (рис. 1.30). Расстояние между колодцами - менее 2R питания. Зоны питания, соответствующие дебитам колодцев, определенным для первого и второго слу­чаев размещения колодцев, перекрывают в плане друг друга.

Если сохранить в колодцах приблизительно такую же глубину понижения уровня воды при откачке, какая была принята в первом и втором случаях размещения колодцев, то суммарный дебит всех колодцев уменьшится.

Как бы не размещались колодцы, они должны добыть из водоносного пласта требу­емый Q м3/сут., а для этого необходимо перехватить грунтовый поток на полосе:

,м (1.49)

где i - гидравлический уклон.

Расчет группового водозабора из шахтных колодцев с сифонным сборным водово­дом выполняется в следующем порядке:

1. Задаются расстояния между колодцами. При этом учитывают опыт аналогичных установок в водоносных пластах, близких по своим показателям к данному. Для предва­рительного подсчета рекомендуется принимать примерные расстояния между колодца­ми по табл. 10.10.

 

Таблица 10.10

Расстояния между колодцами, м

Грунт водоносного пласта Мощность водоносного пласта, м
  10 – 15 Более 15
Суглинки 50 – 60 40 – 50 30 – 40
Чистые пески средне- и крупнозернистые 40 – 50 40 – 30 20 – 30
Галечники 40 – 20 30 – 15 10 – 20

2. Задаются числом колодцев.

Если мощность водоносного пласта достаточно велика и если возможно и выгодно в данных местных условиях значительно понижать уровень воды в колодцах, т.е. рабо­тать при больших глубинах откачки, то для ориентировочного подсчета можно прини­мать число колодцев равным:


n1 ≈ Q/q, (1.50)

 






 

где q - дебит одиночного колодца.

Число запасных колодцев назначается после окончания расчета и уточнения числа рабочих колодцев.

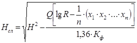
3. Проверяется величина слоя воды Нсл у колодца, находящегося в центре группы колодцев, уравнением

(1.51)

где Н - мощность водоносного пласта, м; Q - необходимый дебит всей группы колод­цев, м3/сек; n - число колодцев; R - радиус влияния всей установки, т.е. расстояние от ее центра до границы понижения, м; хjх23...хп - расстояния от центров колодцев I, 2, 3... n до точки, в которой определяется Нсл.

Величина Нсл центрального колодца должна быть не менее 0,3 H.

Аналогично центральному колодцу определяется величина слоя воды у каждого ко­лодца группового водозабора.

Проверяют захватную способность каждого колодца притока воды к нему по нера­венству:

, м3/сут (1.52)

где h = Нсл -b;b - не снабженная водоприемными отверстиями часть колодца, измеря­емая по высоте, м; r - радиус колодца, м; Н ~ слой воды у данного колодца, м; Iпр - предельный уклон.

Проверочные расчеты продолжают до получения желаемых результатов.

После окончательного установления дебитов и величин слоев воды у внешнего пе­риметра отдельных колодцев приступают к проектированию конструкции водоприем­ной части колодца, стволов и оголовков.

Водоприемная поверхность колодца в зависимости от глубины и других гидрогео­логических условий залегания грунтовых вод может оборудоваться в стенах, на дне ко­лодца или одновременно и там, и там. При поступлении воды в колодец через дно его оборудуют обратным гравийно-песчаным фильтром с несколькими слоями фильтрую­щего материала или пористой железобетонной плитой. При поступлении воды через стены колодца в них устраивают специальные окна, заполняемые гравием, пористыми фильтрующими блоками, гидрозатворными фильтрующими элементами (рис. 10.12)

 

Рис. 10.12. Фильтры шахтных колод­цев с пенополисти рольной обсып­кой: 1- стенка колодца; 2 - патрубок для закачки и выпуска пенополистирольной обсыпки;

3 - водоприемные окна; 4 - водоносная порода;

5 - пенополистирольная обсыпка

 

Фильтры шахтных колодцев, как и фильтры водозаборных скважин, должны соответствовать следующим характеристикам: обеспечение подачи воды потребителю без песка или других механических примесей;

- незначительное сопротивление;

- механическая прочность фильтрующих эле­ментов;

- стойкость против коррозии;

- индустриальность и экономичность изготовления.

 

 

Эти факторы в существенной мере зависят от способа изготовления перфорации каркаса. Запад­ногерманской фирмой НОЛЬД и КО для забора во­ды из мелкозернистых песчаных водоносных гори­зонтов разработаны фильтры с диаметром до 1,5 м с рильсановым покрытием и гравийно-клеевой обсыпкой. При заборе воды из мелкозернистых и илистых песков рационально использовать водо­приемные фильтры с пенополистирольной обсып­кой, разработанные на кафедре водоснабжения Украинского института инженеров водного хозяй­ства, и фильтры из пористого бетона ФПБ-НИ-МИ, разработанные в Новочеркасском инженерно-мелиоративном институте. Входной канал пенополистирольных фильтров устраивают во вре­мя изготовления опорных бетонных колец для за­крепления ствола шахты. Для засыпки используют полувспененные гранулы полистирола плотностью 0,2-0,8 т/м3 и диаметром, превы­шающим 50%-ный диаметр частиц водоносной породы в 8-15 раз. С внешней стороны колодца входной канал перекрывают перфорированным пластмассовым листом со ще­лями шириной, равной 0,8 диаметра гранул.


запаса воды в нем. Для увеличения дебита колодца при по­ступлении воды в него через дно из безнапорных пластов сотрудниками ЮжНИИГиМа было предложено нижнюю часть колодца оборудовать специальным металлическим

При мощности водоносного пласта менее 1,5 м водоприемную часть колодца уг­лубляют с целью увеличения ко­зырьком, позволяющим увеличить водоприемную поверхность дна почти в 2,5...3,0 ра­за.

 

Типовые проекты шахтных колодцев из сборных железобетонных колец с внутренним диаметром до 1,0 м и толщиной стенки 0,08 м предназначены для забора воды на глубине до 30 м.

При сооружении неглубоких колодцев для облегчения трудоемких земляных работ используют экскаваторы и грейферы. Когда проходка колодцев осуществляется в песча­ных, супесчаных и глинистых грунтах при наличии на месте сооружения в достаточном количестве подземной воды, для механизации сооружения колодцев иногда используют эрлифты и эжекторы. Перспективным является метод сооружения шахтных колодцев роторным способом бурения с обратной промывкой забоя с помощью буровых устано­вок УРБ-3 AM. Таким образом, бурение с помощью эрлифта позволяет сооружать колод­цы диаметром 500-1200 мм.

Наиболее распространенными средствами при механизации сооружений шахтных железобетонных колодцев в настоящее время являются копатели КШК-ЗОА и КШК-40, запроектированные и испытанные ГСКБ Главазсредводстроя. В КШК-40 исключаются ручные работы по разгрузке грунта из рабочего органа, подтаскиванию железобетонных колец к обсадке ими ствола шахты, техническая характеристика которой приведена и табл. 10.11.Таблица 10.11

Техническая характеристика КШК-40

 

№ п/п Наименование параметров Единица измерения Значения парамет­ров
1. Диаметр выработки м 0,75-1,3
2. Максимальная глубина колодца м  
3. Средняя производительность (скорость проходки) м/ч 1,6-1,8
4. Мощность двигателя кВт 29,4
5. Грузоподъемность лебедок т 2,0-3,0
6. Масса агрегата т 13,42
7. Габаритные размеры м 12x7,74x1,0

 

 

Самоходный копатель КШК-40 смонтирован на прицепе ММЗ-768 и транспортиру­ется к месту эксплуатации тракторами К-700 или Т-150. По сравнению с КШК-ЗОА при работе на нем трудозатраты снижаются в 3 раза, а производительность возрастает в 2,5 раза.

При сдаче колодцев и эксплуатацию составляют акт и заполняют паспорт, где ука­зывают дебит, глубину залегания воды и колодца, геологический разрез, динамические


уровни при откачках с разной производительностью. В процессе эксплуатации колодцев

проводят их профилактические осмотры и текущие ремонты. Наиболее ответственны­ми операциями при ремонтах являются чистка колодцев, ликвидация обвалов и боковых трещин в стенках шахты, ремонт боковых или донного фильтров. Очистку колодцев от наносов (при некачественной работе фильтров или внезапных обвалах) производят с по­мощью эрлифтов, а при небольших глубинах - вручную, с помощью простейших подъ­емных механизмов.

 

Модернизированная установка ОШК-ЗОА позволяет производить очистку шахтных колодцев глубиной до 40 м (табл. 10.12).

К достоинствам очистителя относятся простота и удобство обслуживания, надеж­ность, возможность откачки воды с повышенным содержанием примесей. Он смонтиро­ван на шасси автомобиля ЗИЛ-131А с источником электроэнергии - синхронным гене­ратором ЕСС-5-62-4М101, приводимым в действие от двигателя автомобиля.

Сотрудниками Казгипроводхоза разработана методика восстановления шахтных колодцев путем разбуривания части заплывшего ствола установкой ударно-канатного бурения и монтажа в разбуренной части гравийного фильтра с каркасом из перфориро­ванных труб большого диаметра.

Предотвращению аварий и долголетней эксплуатации колодцев способствует пра­вильный подбор водоподъемного оборудования. При выборе типа водоподъемника оп­ределяющее значение имеет глубина залегания динамического уровня воды от поверх­ности земли и водоотдача водоносного пласта, определяющая удельный дебит. В каче­стве водоподъемников используют эрлифты, поршневые, вихревые и центробежные на­сосы, простейшие монтажные водоподъемники. При водоснабжении пастбищ и отдель­но расположенных, удаленных от населенных пунктов ферм или временных строитель­ных площадок, там где возможно, стремятся использовать природные, экологически чистые источники энергии (в первую очередь, энергию ветра и солнца), а также меха­нические приводы. В комплекте с такими источниками энергии для водоподъема ис­пользуют спирально-цепные, ленточные, шнуровые, ветровые водоподъемники.

Таблица 10.12

Техническая характеристика очистителя шахтных колодцев ОШК-ЗОА

Показатели Единица измерения Величина
1. Производительность при удалении донных наносов пог. м/ч 0,3-0,36
2. То же, что при откачке воды м"/ ч 3-4
3. Глубина очищаемых колодцев м  
4.     Скорость опускания и подъема рабо­чих органов: - ускоренная м/с 0,28
- замедленная м/с 0,04
5. Механизм, заглубляющий вибробадью в наносы   электромеханический вибратор ИВ-24
6. Габаритные размеры м 7,4x2,47x3,4
7. Масса т 9,2
8. Обслуживающий персонал чел.  

 

При централизованном водоснабжении сельских населенных пунктов приводами


водоподъемных устройств обычно служат электродвигатели и двигатели внутреннего

сгорания. Применение электронасосов позволяет подавать воду, как в резервуары-нако­пители, так и непосредственно в водонапорную башню, пневмоустановку или в водо­проводную сеть. На рис. 1.32 представлены наиболее типичные схемы водоподъема из шахтных колодцев различными водоподъемниками, а в табл. 10.13 - основные характери­стики водоподъемников.

Рис. 10.13. Схемы водоподъема из шахтных колодцев:

а) центробежным насосом; б) эрлифтом; в) погружным насосом: 1,6- центробежный насос; 2 - пневмобак; 3 - реле давления; 4 - приемный клапан; 5 - эрлифт; 7 - погружной электронасое; 8 - нагнетательные водоводы

 

 

Таблица 10.13

Основные характеристики водоподъемных установок для забора воды из шахтных колодцев

Тип водоподъ­емника Марка Производи­тельность, м3 Полный напор, м Мощность, кВт Высота всасывания, м Вес, кг
                   
1. Центробежные консольные насосы 1/2К-6, 2К-6, ЗК-ба 6-14 10-30 20-65 14-20 34-24 45-30 1,7 1,7 14 6 7-6,3 7,5-5,3 26,8 26,8 26,8    
2. Маломощные центробежные бытовые насо­сы с верти­кальным валом Кама-3, БЦН-3/7, «Родничок» 1,5 3,0 20 17 0,35 0,5-1,0 4-6 4-6 11,05    
3. Вихревые насо­сы 1В-0,9М ЗВ-2,7 ВК-1/16 ВКС-2/26 ВКС-5/24 ВКС-10/45 1-35   1,1-3,6 2,7-8 8,5-18,4 18-40 9-88   39-14 59-24 67-20 93-29 1,5-22 1,5 4 10 17        
4. Погружные центробежные насосы ЭЦВ5-4-125 ЭЦВ6-10-50 4 10 129 49 4,5 4,5        
5. Эрлифты   2-30 10-50          
6. Ручник порш­невые насосы РЫ-1, РН-2, РН-4 БКФ 0,72 2,1 2,3-3,9 30 30 30   7-6 7-6 6-7      
                     

 

 

Как и в случае со скважинами, при недостаточном дебите одного шахтного колод­ца и проектировании централизованной системы водоснабжения в районе залегания грунтовых вод, предусматривают сооружение группы шахтных колодцев с общим водо­водом, по которому вода поступает в водонапорную башню или резервуар.







Date: 2015-06-06; view: 1460; Нарушение авторских прав



mydocx.ru - 2015-2026 year. (1.746 sec.) Все материалы представленные на сайте исключительно с целью ознакомления читателями и не преследуют коммерческих целей или нарушение авторских прав - Пожаловаться на публикацию