Главная Случайная страница


Полезное:

Как сделать разговор полезным и приятным Как сделать объемную звезду своими руками Как сделать то, что делать не хочется? Как сделать погремушку Как сделать так чтобы женщины сами знакомились с вами Как сделать идею коммерческой Как сделать хорошую растяжку ног? Как сделать наш разум здоровым? Как сделать, чтобы люди обманывали меньше Вопрос 4. Как сделать так, чтобы вас уважали и ценили? Как сделать лучше себе и другим людям Как сделать свидание интересным?


Категории:

АрхитектураАстрономияБиологияГеографияГеологияИнформатикаИскусствоИсторияКулинарияКультураМаркетингМатематикаМедицинаМенеджментОхрана трудаПравоПроизводствоПсихологияРелигияСоциологияСпортТехникаФизикаФилософияХимияЭкологияЭкономикаЭлектроника






Конкурентоспроможність товарів





З переходом економіки України на ринкові відносини термін "конкурентоспроможність" став основним у визначенні іміджу фірм та ефективності їх діяльності. Конкурентоспроможність фірми визначається конкурентоспроможністю вироблених нею товарів. Ця складна властивість характеризує привабливість товару для споживача (покупця, замовника) і прибутковість для виробника (постачальника, продавця).

Конкурентоспроможність — сукупність якісних і вартісних характеристик товару, що забезпечують задоволення конкретної потреби.

Спочатку конкурентоспроможність товарів оцінювали за допомогою психофізичного закону Вебера — Фехнера, що пояснює психологію споживачів і формалізацію їхнього вибору. Привабливість певного товару залежить від сукупності його властивостей (характеристик, показників), що зумовлюють задоволення певних потреб. Ця сукупність характеристик називається якістю товару. Дослідження в цій галузі, хоча й не були позбавлені теоретичного інтересу, проте мали обмежене значення, оскільки ґрунтувались на абстрактній ідеї про психологію індивідуума. Кількісних методів прогнозування вибору покупцем певного товару за їх допомогою вироблено не було.

Конкурентоспроможність визначається відношенням корисного ефекту до сумарних витрат, пов'язаних з придбанням і експлуатацією товару:

де Е — економічний ефект; ЦС — ціна споживання.

Конкурентоспроможність товару — поняття складне й інтегральне, оскільки охоплює не лише економічні та технічні, а й технологічні показники. її оцінюють залежно від того, є товар кінцевим продуктом, призначеним для задоволення певних потреб (індивідуальних або суспільних), чи засобом виробництва інших товарів. У першому випадку порівняння й оцінювання здійснює споживач, який купує певний товар за певну ціну. У другому випадку завдання можна поділити на дві частини: визначення потреб і вибір альтернативних способів їх задоволення.

Алгоритм визначення наведено на схемі 3.5.

Конкурентоспроможність завжди визначається в порівнянні з іншими товарами, а також на підставі рівня задоволення потреб потенційних споживачів. Рівень конкурентоспроможності оцінюють за допомогою системи одиничних, групових та інтегральних показників.

Одиничний показник відображає відсоткове співвідношення показників одного й того самого параметра порівнюваних товарів. Груповий показник поєднує одиничні показники та характеризує ступінь задоволення потреби загалом.

Інтегральний показник конкурентоспроможності товару щодо то-вару-зразка — це числова характеристика конкурентоспроможних товарів, що є відношенням групового показника за технічними параметрами до групового показника за економічними параметрами:

де Iнп, Iеп — груповий показник за параметрами відповідно нормативними та техніко-економічними; Iц с — груповий показник ціни споживання.

Схема 3.5. Алгоритм оцінювання конкурентоспроможності товару

Якщо К < 1, пропонований товар поступається товару-зразку; при К > 1, товар має вищу конкурентоспроможність.

Якщо метою оцінювання конкурентоспроможності товару є прийняття рішення щодо виведення його на ринок, прогнозована оцінка конкурентоспроможності товару така:

К = 1,6 і більше — дуже перспективне;

К = 1,40-1,59 — перспективне;

К = 1,20-1,39 — малоперспективне;

К = 1,00-1,19 — неперспективне.

Конкурентоспроможність товару характеризується технічними, комерційними, організаційними та економічними параметрами. Кожна характеристика (одиничний показник якості товару) вимірюється у певній (специфічній) одиниці, а тому здебільшого показники непорівнянні між собою. Наприклад, колір автомобіля не можна порівнювати із силуетом, максимальною швидкістю чи часом гальмування. Проте автомобіль марки "Wo1kswagen" привабливіший, ніж "Жигулі", за сукупністю показників. А це можна з'ясувати, сформувавши комплексні показники якості й порівнявши їх.

Як правило, показники якості засобів виробництва пов'язані з якістю продукту, що виробляється. За наявності такого зв'язку питання про порівняльну оцінку переходить зі сфери засобів виробництва у сферу споживчих товарів.

Обираючи альтернативні способи задоволення потреб, необхідно дотримуватись єдності мети. Єдність мети є основою порівняння й оцінювання. Певна річ, вантажі можна перевозити вантажівкою і високої, і низької якості. Єдність мети як основи порівняння сприяє принциповому поділу показників якості. Розрізняють так звані класифікаційні показники. Наприклад, якщо одна з двох вантажівок не придатна для перевезення певних вантажів через їх габарити, порівняти ці вантажівки неможливо, і тоді маємо не варіанти одного об'єкта, а два різних об'єкти, що не можуть замінити один одного. Розглянемо показники, що відіграють роль обмежень: Показники безпеки товару для життя, здоров'я і майна людей. Товари, що не відповідають цим обмеженням, не підлягають реалізації, їх якість оцінювати не потрібно. Отже, не можна порівнювати кількість нещасних випадків у процесі виробництва з технологічними можливостями устаткування. Але завдання можна сформулювати інакше: які засоби виробництва доцільно вибирати для того, щоб досягти встановленого рівня безпеки.


Показники, що забезпечують екологічність товару. Технічні показники: • класифікаційні — визначають належність виробу до певного виду, класу, типу продукції;

• конструктивні — характеризують конструкторсько-технологічні рішення;

• нормативні — відповідають міжнародним стандартам, нормам, правилам;

• ергономічні (гігієнічні, антропометричні, фізіологічні, психологічні) — засвідчують відповідність товару властивостям людського організму та психіки;

• естетичні — характеризують єдність змісту й форми предмета. Приклад. Розрахувати інтегральний показник конкурентоспроможності двох видів виробів хлібопекарської промисловості: батонів "турецького" і звичайного (табл. 4.3). За нормативними параметрами груповий показник дорівнює одиниці. Дані, отримані за допомогою методу експертних оцінок, наведено в балах від нуля до одиниці. Значущість показника підвищується.

1. Визначаємо груповий показник конкурентоспроможності за техніко-економічними показниками:

де аi — коефіцієнт вагомості і-го параметра (визначається за допомогою експертних оцінок); Рi, Р0і — абсолютне значення і-го технічного параметра виробу відповідно порівнюваного й базового; п — кількість технічних параметрів.

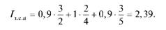
Підставляючи числові дані, дістаємо

2. Визначаємо груповий показник конкурентоспроможності за економічними показниками:

де т — кількість економічних параметрів; Сi, C0i — вартісне вираження витрат на виробництво товару; Цi, Ц0i. — ціна реалізації порівнюваного і базового товарів.

Підставляючи числові значення, отримаємо

Таблиця 3.3

Вихідні дані для обчислення інтегрального показника конкурентоспроможності виробів

 

    Продукт     Показник Сорт борошна Кількість яєць, на 1кг борошна Час сходження тіста, хв Собівартість 1 виробу, що випускається, грн. Ціна реалізації одного виробу, грн. Добові обсяги реалізації, грн.
Батон звичайний (базовий продукт) Експертна оцінка 0,9   0,9 0,5 0,6  
Абсолютне значення і-го техніко-економічного параметра      
Загальні характеристики В    
Батон "турецький" (порівнюваний продукт) Експертна оцінка 0,9   0,9 0,6 0,9  
Абсолютне значення і-го техніко- економічногопараметра      
Загальні характеристики В    

 

3. За формулою (3.2) обчислюємо показник конкурентоспроможності:

К = 2,39: 0,648 = 3,68.

Відповідь: батон "турецький" має вищу конкурентоспроможність порівняно з батоном звичайним.


За певними умовами конкурентноспроможність визначається різними показниками.

За комерційними умовами: рівнем ціни; терміном постачання; умовами оплати; рівнем митних зборів, податків і коштів, витрачених на придбання товарів; мірою відповідальності продавців за виконання зобов'язань.

За організаційними умовами придбання та використання товару: наближенням продавців до покупців, доставкою продавцями товарів до місць споживання; зручністю розрахунків; сервісним обслуговуванням.

За економічними умовами споживання: енергоємністю та економічністю у споживанні сировини на одиницю продукції, що випускається; вартістю сировини та експлуатаційних матеріалів; безвідходністю технологій; надійністю, періодичністю і витратами на ремонт; чисельністю і кваліфікаціею обслуговуючого персоналу; рівнем заробітної плати працівників.

Оцінка конкурентоспроможності методом узагальнення здійснюється з урахуванням зведених витрат:

де С — собівартість товару; Ен — нормативний коефіцієнт ефективності капіталовкладень.

Розбіжності в якості засобів виробництва (і споживчих товарів, коли точно відома потреба, для якої вони призначені) можна визначити за двома формулами: С(Б) - С(А) (товар А дає економію) та КВ(А) - КВ(Б), де КВ — капіталовкладення (товар А дорожчий). Щоб зробити вибір на користь товару А, необхідно визначити нормативний коефіцієнт ефективності капіталовкладень Ен. Товар А матиме вищі характеристики якості, якщо виконуватиметься нерівність

тобто зведені витрати З(А) < З(Б).

Рівень конкурентоспроможності визначається прибутком П, тобто різницею між ціною товару Ц, для виробництва якого використовуються засоби виробництва А або Б, і зведеними витратами З:

Знаючи рівень конкурентоспроможності, зв'язок між рівнем задоволення потреб та обсягом продажу, можна оцінити обсяг надходжень (залежить від розміру партії товару), а отже, і прибуток при досягненні запланованого масштабу збуту.







Date: 2015-04-23; view: 767; Нарушение авторских прав



mydocx.ru - 2015-2026 year. (1.105 sec.) Все материалы представленные на сайте исключительно с целью ознакомления читателями и не преследуют коммерческих целей или нарушение авторских прав - Пожаловаться на публикацию