Главная Случайная страница


Полезное:

Как сделать разговор полезным и приятным Как сделать объемную звезду своими руками Как сделать то, что делать не хочется? Как сделать погремушку Как сделать так чтобы женщины сами знакомились с вами Как сделать идею коммерческой Как сделать хорошую растяжку ног? Как сделать наш разум здоровым? Как сделать, чтобы люди обманывали меньше Вопрос 4. Как сделать так, чтобы вас уважали и ценили? Как сделать лучше себе и другим людям Как сделать свидание интересным?


Категории:

АрхитектураАстрономияБиологияГеографияГеологияИнформатикаИскусствоИсторияКулинарияКультураМаркетингМатематикаМедицинаМенеджментОхрана трудаПравоПроизводствоПсихологияРелигияСоциологияСпортТехникаФизикаФилософияХимияЭкологияЭкономикаЭлектроника






Модели атома Томсона и Резерфорда





 

Представление об атомах как неделимых мельчайших частицах вещества («атомос» — неразложимый) возникло еще в античные времена (Демокрит, Эпикур, Лукреций). В средние века, во времена безграничного господства церкви, учение об атомах, будучи материалистическим, естественно, не могло получить признания, а тем более дальнейшего развития. К началу XVIII в. атомистическая теория приобретает все большую популярность, так как к этому времени в работах А. Лавуазье (1743—1794, французский хи­мик), М. В. Ломоносова и Д. Дальтона была доказана реальность существования атомов. Однако в это время вопрос о внутреннем строении атомов даже не возникал, так как атомы по-прежнему считались неделимыми.

Большую роль в развитии атомисти­ческой теории сыграл Д. И. Менделеев, разработавший в 1869 г. Периодическую систему элементов, в которой впервые на научной основе был поставлен вопрос о единой природе атомов. Во второй половине XIX в. экспериментально было доказано что электрон является одной из основных составных частей любого вещества.

Эти выводы, а также многочисленные экспериментальные данные при­вели к тому, что в начале ХХ в. серьезно встал вопрос о строении атома.

Первая попытка создания на основе накопленных экспериментальных данных модели атома принадлежит Дж. Дж. Томсону (1903). Согласно этой модели атом представляет собой равномерно положи­тельно заряженный шар радиусом поряд­ка 10-10 м, внутри которого около своих положений равновесия колеблются электроны; суммарный отрицательный заряд электронов равен положительному заряду шара. Модель Томсона оказалась несостоятельной.

Большую роль в развитии представле­ний о строении атома сыграли опыты английского физика Э. Резерфорда (1871 — 1937) по рассеянию a-частиц в веществе, a-частицы возникают при радиоактивных превращениях; они представляют собой положительно заряженные частицы с заря­дом и массой, примерно в 7300 раз большей массы электрона. Пучки a-частиц обладают высокой монохроматичностью (для данного превращения имеют практи­чески одну и ту же скорость порядка 107 м/с).

Резерфорд, исследуя прохождение a-частиц в веществе (через золотую фольгу толщиной примерно 1 мкм), показал, что основная их часть испытывает незначи­тельные отклонения, но некоторые ос-частицы (примерно одна из 20000) резко отклоняются от первоначального направ­ления (угол отклонения достигает 180°) Так как электроны не могут существен­но изменить движение столь тяжелых и

быстрых частиц, как a-частицы, то из опытов Резерфорда следовал вывод, что значительное отклонение a-частиц обус­ловлено их взаимодействием с положи­тельным зарядом большой массы. Одна­ко значительное отклонение испытывают лишь немногие a-частицы; следователь­но, лишь некоторые из них проходят вблизи данного положительного заряда. Это в свою очередь, означает, что положительный заряд атома сосредоточен в объеме, очень малом по сравнению с объемом атома.

На основании своих исследований Резерфорд предложил ядерную (планетар­ную) модель атома (1911). Согласно этой модели, вокруг положительно заряжен­ного ядра, имеющего заряд Z е (Z — поряд­ковый номер элемента в системе Менде­леева, е — элементарный заряд), размер 10-15 —10-14 м и массу, практически равную массе атома, в области с ли­нейными размерами порядка 10 -10 м по замкнутым орбитам движутся электроны, образуя электронную оболочку атома. Так как атомы нейтральны, то заряд ядра равен суммарному заряду электронов, т. е. вокруг ядра должно вращаться Z электронов.

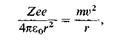
Для простоты предположим, что элект­рон движется вокруг ядра по круговой орбите радиуса r. При этом кулоновская сила взаимодействия между ядром и электроном сообщает электрону центро­стремительное ускорение. Второй закон Ньютона для электрона, движущегося по окружности под действием кулоновской силы, имеет вид

где u скорость электрона на орбите радиуса г, e0 — электрическая постоянная. Указанное уравнение содержит две неиз­вестные — r и u. Следовательно, суще­ствует бесчисленное множество значений радиуса и соответствующих ему значений скорости (а значит, и энергии), удовлет­воряющих этому уравнению. Поэтому величины r, u (следовательно, и Е) могут меняться непрерывно и при переходе с одной орбиты на другую, более близкую к ядру, может испускаться любая, а не вполне определенная порция энергии, т. е. спектрs атомов должны быть сплошными. В действительности же опыт пока­зывает, что атомы имеют линейчатый спектр. Согласно уравнению движения электрона, при радиусе орбиты r»10 -10 м скорость движения электронов u» 106 м/с, а уско­рение u2/r = 1022 м/с2. Согласно электро­динамике, ускоренно движущиеся электро­ны должны излучать электромагнитные волны и вследствие этого непрерывно терять энергию. В результате электроны будут приближаться к ядру и в конце концов упадут на него. Таким образом, атом Резерфорда оказывается неустойчи­вой системой, что опять-таки противоречит действительности.


Попытки построить модель атома в рамках классической физики не привели к успеху: модель Томсона была опроверг­нута опытами Резерфорда, ядерная же модель оказалась неустойчивой электро­динамически и противоречила опытным данным. Преодоление возникших труд­ностей потребовало создания качественно новой — квантовой — теории атома.

Линейчатый спектр атома водорода. Исследования спектров излучения раз­реженных газов (т. е. спектров излучения отдельных атомов) показали, что каждому газу присущ вполне определенный линей­чатый спектр, состоящий из отдельных спектральных линий или групп близко расположенных линий. Самым изученным является спектр наиболее простого ато­ма — атома водорода.

Швейцарский ученый И. Бальмер (1825— 1898) подобрал эмпирическую фор­мулу, описывающую все известные в то время спектральные линии водорода в видимой области спектра. Обобщенная фор­мула Бальмера имеет следующий вид:

где т имеет в каждой данной серии постоянное значение, т = 1, 2, 3, 4, 5, 6 (определяет серию), п принимает цело­численные значения начиная с т + 1 (определяет отдельные линии этой се­рии).

Приведенная выше сериальная форму­ла подобрана эмпирически и долгое время не имели теоретического обосно­вания хотя и была подтверждена экспериментально с очень большой точностью. Удивительная повторяемость в ней целых чисел, универсальность постоянной Ридберга свидетельствуют о глубоком физическом смысле этой найденной законо­мерности, вскрыть которую в рамках классической физики оказалось невозмож­ным.

Постулаты Бора. Первая попытка построения качественно новой — квантовой теории атома была предпринята в 1913 г. датским физиком Нильсом Бором (1885 — 1962). Он поставил перед собой цель связать в единое целое эмпирические закономерности линейчатых спектров, ядерную модель атома Резерфорда и квантовый характер излучения и поглощения света. В основу своей теории Бор положил два постулата.

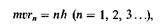
Первый постулат Бора (постулат ста­ционарных состояний): в атоме суще­ствуют стационарные (не изменяющиеся со временем) состояния, в которых он не излучает энергии. Стационарным со­стояниям атома соответствуют стацио­нарные орбиты, по которым движутся электроны. Движение электронов по ста­ционарным орбитам не сопровождается излучением электромагнитных волн.

В стационарном состоянии атома элек­трон, двигаясь по круговой орбите, дол­жен иметь дискретные квантованные зна­чения момента импульса, удовлетворяю­щие условию

где m — масса электрона, u скорость по п-й орбите радиуса гn, = h/2p.

Второй постулат Бора (правило частот): при переходе электрона с одной ста­ционарной орбиты на другую излучается (поглощается) квант излучения с энергией

hn = En - Em

равной разности энергий соответствую­щих стационарных состояний n и Еm соответственно энергии стационарных со­стояний атома до и после излучения (поглощения)). При Еm < Еn происходит излучение кванта (переход атома из со­стояния с большей энергией в состоя­ние с меньшей энергией, т. е. переход электрона с более удаленной от ядра орбиты на более близлежащую), при Еm > Еn - его поглощение (переход атома в состояние с большей энергией, т. е. переход электрона на более удаленную от ядра орбиту). Набор возможных ди­скретных частот n = n — Еm)/h квантовых переходов и определяет линейчатый спектр атома.

Немецкие физики Д. Франк и Г. Герц, изучая методом задерживающего потен­циала столкновения электронов с атомами газов (1913), экспериментально доказали дискретность значений энергии атомов.







Date: 2015-05-19; view: 829; Нарушение авторских прав



mydocx.ru - 2015-2026 year. (0.987 sec.) Все материалы представленные на сайте исключительно с целью ознакомления читателями и не преследуют коммерческих целей или нарушение авторских прав - Пожаловаться на публикацию