Главная Случайная страница


Полезное:

Как сделать разговор полезным и приятным Как сделать объемную звезду своими руками Как сделать то, что делать не хочется? Как сделать погремушку Как сделать так чтобы женщины сами знакомились с вами Как сделать идею коммерческой Как сделать хорошую растяжку ног? Как сделать наш разум здоровым? Как сделать, чтобы люди обманывали меньше Вопрос 4. Как сделать так, чтобы вас уважали и ценили? Как сделать лучше себе и другим людям Как сделать свидание интересным?


Категории:

АрхитектураАстрономияБиологияГеографияГеологияИнформатикаИскусствоИсторияКулинарияКультураМаркетингМатематикаМедицинаМенеджментОхрана трудаПравоПроизводствоПсихологияРелигияСоциологияСпортТехникаФизикаФилософияХимияЭкологияЭкономикаЭлектроника






Отражение и преломление света





Отражение света. Наблюде­ния показывают, что в однород­ной среде свет распространяется прямолинейно. Прямая, указы­вающая направление распрост­ранения света, называется свето­вым лучом.

На границе раздела двух сред свет может частично отразиться и распространяться в первой среде по новому направлению, а также частично пройти через гра­ницу раздела и распространиться во второй среде.

В большей или меньшей ме­ре отражение света происходит от любых предметов, поэтому мы видим все освещенные тела.

Закон отражения. Как пока­зывают наблюдения, при отраже­нии света всегда выполняется за­кон отражения: луч падающий, луч отраженный и перпендику­ляр к границе раздела двух сред, восставленный в точке падения луча, лежат в одной плоскости; угол отражения g равен углу па­дения a (рис. 2).

 

 

Рис. 2

 

Этот закон совпадает с зако­ном отражения для волн любой природы и может быть получен как следствие принципа Гюйген­са.

Принцип Гюйгенса. Отраже­ние волн и другие закономерности их распространения можно объяснить на основании принципа, сформулированного в 1690 г. голландским физиком Христианом Гюйгеом. Согласно принципу Гюйгенса каждая точка поверхности, которой достигла в данный момент волна, является точечным источником вторичных волн. По­верхность, касательная ко всем вторичным волнам, представляет собой волновую поверхность в следующий момент времени.

Зная форму волновой поверх­ности в некоторый момент вре­мени t, можно найти форму вол­новой поверхности через интервал времени Dt. Если среда однород­на, то от каждой точки волно­вой поверхности распространяет­ся вторичная сферическая волна с одинаковой скоростью с, и рас­стояние D l, на которое эти вол­ны распространяются, будет оди­наковым.

Волновой фронт в момент времени t + Dt образуют точ­ки, удаленные от первоначаль­ного фронта волны на расстоя­ние D l = c Dt в направлении пря­мой, перпендикулярной фронту волны (рис. 3).

 

 

Рис. 3

 

Если волны от точечного ис­точника колебаний распростра­няются на поверхности воды, то волновые поверхности имеют фор­му окружностей. При распростра­нении волн от точечного источ­ника звука в воздухе волновые поверхности имеют сферическую форму, луч здесь является ра­диусом сферы.

Закон отражения волн. Рас­смотрим процесс возникновения отраженной волны при падении волны с плоским фронтом на плоскую поверхность раздела двух сред.

Угол между перпендикуляром к границе раздела двух сред и лучом называется углом паде­ния волны. Если угол падения волны отличен от нуля, то падаю­щая волна достигает различных точек границы раздела двух сред в разные моменты времени. Когда участок падающей волны, отме­ченный лучом А1А (рис. 4), дос­тигнет границы раздела двух сред, точка А согласно принципу Гюйгенса становится источником вторичных волн. За то время, по­ка границы раздела достигнет участок волнового фронта, отме­ченный лучом В1 В, вторичные волны от точки А распростра­нятся на расстояние R = с Dt. По­ложение фронта отраженной вол­ны в тот момент времени, когда луч В1 В достигнет границы раз­дела в точке В, отмечено на ри­сунке прямой ВD.

Рис.4

Падающая и отраженная вол­ны распространяются в одной и той же среде, скорость их оди­накова. Поэтому за одно и то же время они проходят одинаковые расстояния, длина отрезка ВС равна длине отрезка АD. Из ра­венства катетов АD и ВС двух прямоугольных треугольников АСВ и АDВ с общей гипотену­зой АВ следует равенство этих треугольников. Поэтому равны между собой углы САВ и DВА. Этим углам равны соответственно угол падения a и угол отраже­ния g как углы со взаимно пер­пендикулярными сторонами. Сле­довательно, углы a и g равны между собой. Этот вывод, полу­ченный теоретически на основа­нии использования принципа Гюйгенса, полностью подтверж­дается на опыте.

Может показаться, что закон отражения может быть успешно объяснен и корпускулярной тео­рией света. Действительно, при ударе о пол упругого мяча угол отражения также равен углу па­дения, поэтому свет можно пред­ставить себе как поток частиц, испытывающих упругие столкно­вения с поверхностью раздела двух сред. Но эта гипотеза не может объяснить, почему свет почти не испытывает отражения от поверхности твердого стекла или даже алмаза, но полностью отражается тончайшей пленкой серебра или жидкой ртутью. Электромагнитная теория света объясняет эти факты. Стекло и алмаз — диэлектрики, а диэлект­рики прозрачны для электромаг­нитных волн. Тонкий слой сереб­ра или другого металла, нанесен­ный на лист стекла, делает этот лист непрозрачным для электро­магнитных волн. Падающая электромагнитная волна возбуж­дает в проводящем слое вынуж­денные колебания свободных электронов с частотой, равной частоте колебаний вектора на­пряженности электрического по­ля в электромагнитной волне. Эти колебания электронов и по­рождают отраженную электро­магнитную волну. Таким образом объясняется способность зер­кала отражать падающий на него свет.


Преломление света. Волновая теория света объяснила и явле­ние преломления света. Наблюде­ния показывают, что при пе­реходе света из одной среды в другую может происходить из­менение направления распрост­ранения света — преломление света.

В XVII в. был эксперимен­тально установлен закон прелом­ления света: падающий луч, пре­ломленный луч и перпендикуляр к границе раздела двух сред, восставленный в точке падения луча, лежат в одной плоскости; отношение синуса угла падения к синусу угла преломления есть величина постоянная для двух данных сред.

Обозначим угол падения a, угол преломления b (рис. 2), тогда закон преломления света получит выражение

где п — постоянная величина для двух данных сред, называемая относительным показателем пре­ломления второй среды отно­сительно первой.

Экспериментально установ­ленный закон преломления света получает объяснение на осно­вании принципа Гюйгенса. Со­гласно волновым представлени­ям преломление является след­ствием изменения скорости рас­пространения волн при переходе из одной среды в другую, а фи­зический смысл показателя пре­ломления — это отношение ско­рости распространения волн в первой среде u1 к скорости их распространения во второй сре­де u2:

 

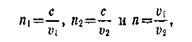
Показатель преломления п сре­ды относительно вакуума назы­вается абсолютным показателем преломления этой среды:

где с — скорость света в ва­кууме, u — скорость света в дан­ной среде. Абсолютные показа­тели преломления всех веществ больше единицы. Это значит, что скорость распространения света в любом веществе меньше скорости распространения света в вакууме. Для двух сред с абсолютны­ми показателями преломления п1 и n2 относительный показатель преломления п равен отношению абсолютного показателя прелом­ления второй среды к абсолют­ному показателю преломления первой среды. Действительно, так как

Из двух сред та среда, которая обладает меньшим значением абсолютного показателя прелом­ления, называется оптически ме­нее плотной средой. Если свет пе­реходит из оптически менее плот­ной среды в оптически более плот­ную, то угол преломлен b меньше угла падения a.

При переходе из оптически более плотной среды в оптически менее плотную среду угол пре­ломления b оказывается боль­ше угла падения a (рис. 5).

 

Рис. 5

 

Полное отражение. При наб­людении явления преломления света можно заметить, что наря­ду с преломлением происходит и отражение света от границы раздела двух сред; при увели­чении угла падения интенсив­ность отраженного луча увели­чивается. В случае перехода света из оптически более плотной среды в оптически менее плотную, например из стекла в воздух, при постепенном увели­чении угла падения можно до­стигнуть такого его значения a0, при котором угол преломле­ния должен стать равным bо = 90° (рис. 5). При этом выпол­няется равенство


Опыт показывает, что при достижении такого значения угла падения интенсивность прелом­ленного луча становится равной нулю: свет, падающий на грани­цу раздела двух сред, полностью отражается от нее.

Угол падения a0, при кото­ром наступает полное отражение света, называется предельным углом полного отражения. При всех углах падения, больших и равных a0, происходит полное от­ражение света.

Рассмотрим закон преломления, как и закон отражения с позиции принципа Гюйгенса.

Закон преломления волн. Рас­смотрим процесс возникновения преломленной волны при па­дении волны с плоским фрон­том на плоскую поверхность раз­дела двух сред. Если угол паде­ния волны отличен от нуля, то падающая волна достигает раз­личных точек границы раздела двух сред в разные моменты вре­мени. В тот момент времени, ког­да участок падающей волны, от­меченный лучом А1 А (рис.6), достигает границы раздела двух сред, точка А согласно принципу Гюйгенса становится источником вторичных волн. За то время, по­ка в первой среде границы раз­дела достигнет участок волнового фронта, отмеченный лучом В1 С, волны

 

Рис.6

 

во второй среде от точки А распространятся на расстояние АD = u2Dt. Положение фронта преломленной волны в тот момент времени, когда луч В 1 С достигает границы раздела в точке В, отме­чено на рисунке прямой ВD. Па­дающая и преломленная волны распространяются в разных сре­дах, скорости их различны. По­этому за одно и то же время они проходят различные расстояния. Угол падения a равен углу САВ, угол преломления b равен углу DВА как углы с взаимно перпен­дикулярными сторонами. Найдем отношение синуса угла падения a к синусу угла преломления b:

Так как | ВС | = u1 Dt и | АD | | = u2 Dt, то

Это выражение называется зако­ном преломления волн: падаю­щий луч, преломленный луч в перпендикуляр к границе разде­ла двух сред, восставленный в точке падения луча, лежат в од­ной плоскости; отношение синуса угла падения к синусу угла пре­ломления есть величина постоян­ная для двух данных сред.

 

Отношение синуса угла паде­ния к синусу угла преломления называется относительным пока­зателем преломления:







Date: 2015-05-19; view: 804; Нарушение авторских прав



mydocx.ru - 2015-2026 year. (2.038 sec.) Все материалы представленные на сайте исключительно с целью ознакомления читателями и не преследуют коммерческих целей или нарушение авторских прав - Пожаловаться на публикацию