Главная Случайная страница


Полезное:

Как сделать разговор полезным и приятным Как сделать объемную звезду своими руками Как сделать то, что делать не хочется? Как сделать погремушку Как сделать так чтобы женщины сами знакомились с вами Как сделать идею коммерческой Как сделать хорошую растяжку ног? Как сделать наш разум здоровым? Как сделать, чтобы люди обманывали меньше Вопрос 4. Как сделать так, чтобы вас уважали и ценили? Как сделать лучше себе и другим людям Как сделать свидание интересным?


Категории:

АрхитектураАстрономияБиологияГеографияГеологияИнформатикаИскусствоИсторияКулинарияКультураМаркетингМатематикаМедицинаМенеджментОхрана трудаПравоПроизводствоПсихологияРелигияСоциологияСпортТехникаФизикаФилософияХимияЭкологияЭкономикаЭлектроника






ИЗД Механика поступательного и вращательного движения. 13.1. Скорость тела, движущегося по оси ОХ, изменяется со временем по закону





Вариант 13

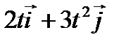
13.1. Скорость тела, движущегося по оси ОХ, изменяется со временем по закону . Средняя скорость движения тела (в м/с) в интервале времени от 1 c до 2 c равна …

 

13.2. Два бруска массами m 1 = 5 кг и m 2 = 3 кг связаны невесомой и нерастяжимой нитью, перекинутой через невесомый блок. Брусок I может скользить по наклонной плоскости, образующей с горизонтом угол α = 300. Коэффициент трения бруска I о наклонную плоскость μ = 0,1. Найти ускорение, с которым движутся бруски и силу натяжения нити.

 

13.3. Материальная точка начинает двигаться под действием силы = (Н). Если зависимость радиус-вектора материальной точки от времени имеет вид (м), то мощность (Вт), развиваемая силой в момент времени t = 2 c равна …

 

13.4. На дне гладкой полусферы радиусом R = 2 м лежит кубик массой m 1 = 0,3 кг. С края полусферы соскальзывает кубик массы m 2 = 0,2 кг такого же размера, как и первый. Какой будет высота подъема кубиков после неупругого удара? Чему равно количество теплоты, выделившееся в результате абсолютно неупругого столкновения кубиков?

 

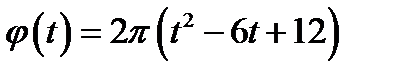
13.5. Частица движется по окружности радиусом R = 1м в соответствии с уравнением , где - в радианах, - в секундах. Определите угловое ускорение и угловую скорость движения в момент времени .

13.6. На рисунке представлен график зависимости проекции вращательного момента силы, действующей на тело, от времени. На каком из интервалов времени тело вращалось равнозамедленно?

 

 

13.7. Два маленьких массивных шарика закреплены на невесомом длинном стержне на расстоянии друг от друга. Стержень вращается без трения в горизонтальной плоскости вокруг вертикальной оси, проходящей посредине между шариками. Стержень раскрутили до угловой скорости , совершив работу А 1. Какую работу А 2 надо совершить, если шарики раздвинуть симметрично на расстояние и раскрутить до угловой скорости в два раза большей?

 

 

13.8. Сплошной (1) и полый цилиндры (2) одинаковых масс и радиусов катятся без скольжения по горизонтальной поверхности с одинаковой скоростью. Чему равно отношение расстояний , которое пройдут цилиндры до своей полной остановки. Значение коэффициента трения тел одинаково на протяжении всего пути и равно m = 0,1.

 







Date: 2015-05-19; view: 1497; Нарушение авторских прав



mydocx.ru - 2015-2026 year. (0.331 sec.) Все материалы представленные на сайте исключительно с целью ознакомления читателями и не преследуют коммерческих целей или нарушение авторских прав - Пожаловаться на публикацию