Главная Случайная страница


Полезное:

Как сделать разговор полезным и приятным Как сделать объемную звезду своими руками Как сделать то, что делать не хочется? Как сделать погремушку Как сделать так чтобы женщины сами знакомились с вами Как сделать идею коммерческой Как сделать хорошую растяжку ног? Как сделать наш разум здоровым? Как сделать, чтобы люди обманывали меньше Вопрос 4. Как сделать так, чтобы вас уважали и ценили? Как сделать лучше себе и другим людям Как сделать свидание интересным?


Категории:

АрхитектураАстрономияБиологияГеографияГеологияИнформатикаИскусствоИсторияКулинарияКультураМаркетингМатематикаМедицинаМенеджментОхрана трудаПравоПроизводствоПсихологияРелигияСоциологияСпортТехникаФизикаФилософияХимияЭкологияЭкономикаЭлектроника






Й случай. Двухпутный участок





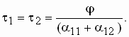
Расчетная схема представлена на рис. 8.2, б. Для определения Еу составим систему уравнений Максвелла, учитывая, что в точке М нет заряда:

;

; (8.11)

,

где a – потенциальные коэффициенты, t 1, t 2 – заряды проводов на единицу длины.

Ранее указывалось, что a21 = a12; a11 = a22, так как высота подвеса эквивалентных проводов обоих путей одинакова, кроме того, j1 = j2 = j, поэтому первые два уравнения системы (8.11) предстанут в виде

;

.

Решение этой системы дает

Подставив значения t1 и t2 в третье уравнение системы (8.11), получим

(8.12)

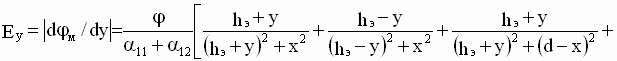
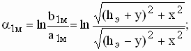
Выразим коэффициенты a и a через координаты точки М, с учетом рис. 8.2, б

Подставив значения a, a в формулу (8.12), получим

(8.13)

Вертикальная составляющая напряженности электрического поля будет равна

. (8.14)

Рассчитаем Еу на уровне головы человека, стоящего на земле (у=1,8 м), и на уровне головы человека, работающего под напряжением, с изолированной вышки (у = 6,24 м). Как и в первом случае, hэ = 7,05 м, j = 27,5 кВ; примем расстояние между путями на перегоне d = 5м.
Находим значения a 11 и a 12: ; . Подставляя указанные и найденные значения в формулу (8.14), при у = 1,8 м, находим Еу для разных значений х и заносим в табл. 8.2.

Выполнив аналогичные расчеты по формуле (8.14) для у = 6,24 м, заполняем соответствующую графу в табл. 8.2.

По данным табл. 8.2 строим графики Еу в зависимости от х (рис. 8.3).

Рис. 8.3. Кривые зависимости Еу от расстояния до оси путей: а) для однопутного участка, б) для двухпутного участка

На рис. 8.3, а кривая 1 – для h = 1,8 м, кривая 2 – для h = 6,24 м для однопутного участка. Обе кривые симметричны (ось симметрии при
х = 0), поэтому кривые при х < 0 не приводятся.

Аналогичные кривые для двухпутного участка изображены на рис. 8.3, б, здесь ось симметрии – вертикаль при х = 2,5 м.

Допустимое значение напряженности электрического поля, при котором человек может длительно работать, составляет 5 кВ/м. При работе под напряжением на изолирующей вышке эксплуатационный персонал контактной сети подвергается воздействию напряженности электрического поля выше допустимого значения. Следовательно, время работы людей под напряжением с изолирующей вышки должно быть ограничено в соответствии с санитарными нормами [12].







Date: 2015-05-18; view: 805; Нарушение авторских прав



mydocx.ru - 2015-2026 year. (0.832 sec.) Все материалы представленные на сайте исключительно с целью ознакомления читателями и не преследуют коммерческих целей или нарушение авторских прав - Пожаловаться на публикацию