Главная Случайная страница


Полезное:

Как сделать разговор полезным и приятным Как сделать объемную звезду своими руками Как сделать то, что делать не хочется? Как сделать погремушку Как сделать так чтобы женщины сами знакомились с вами Как сделать идею коммерческой Как сделать хорошую растяжку ног? Как сделать наш разум здоровым? Как сделать, чтобы люди обманывали меньше Вопрос 4. Как сделать так, чтобы вас уважали и ценили? Как сделать лучше себе и другим людям Как сделать свидание интересным?


Категории:

АрхитектураАстрономияБиологияГеографияГеологияИнформатикаИскусствоИсторияКулинарияКультураМаркетингМатематикаМедицинаМенеджментОхрана трудаПравоПроизводствоПсихологияРелигияСоциологияСпортТехникаФизикаФилософияХимияЭкологияЭкономикаЭлектроника






Расчет напряженности электрического поля трехфазной высоковольтной линии





Как показано в подразд. 5.5, потенциал электрического поля, создаваемого трехфазной линией с конкретным расположением фазовых проводов, в произвольной точке М с координатами x, y, определяется выражением (5.37)

(8.1)

где Д – межфазовое расстояние; Н – высота подвески проводов; – фазовое напряжение линии; – потенциальные коэффициенты, определяемые по формулам (5.10), (5.28).

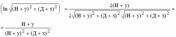
Если продифференцируем j м по x, то получим выражение для горизонтальной составляющей напряженности электрического поля, то есть , аналогично, вертикальная составляющая напряженности будет равна . Тогда модуль напряженности электрического поля в точке М определится выражением

На человека, находящегося перпендикулярно проводам, действует вертикальная составляющая Еу, (ток, протекающий через человека, создается именно этой составляющей), поэтому нам необходимо найти только Еу [9].

Напомним, что lna/b = lna – lnb, производная от логарифма производная от квадратного корня равна производной от подкоренного выражения, деленной на удвоенный квадратный корень. Поэтому производная от по у будет равна

После нахождения производных от всех составляющих квадратной скобки формулы (8.1), получим (опуская знак минус):

(8.2)

Пример расчета: Вычислить напряженность электрического поля линии 500 кВ, построить график напряженности поля в поперечном сечении линии на высоте 1,8 м (рост человека) от поверхности земли при высоте подвески проводов у опоры Н1 = 22 м и для середины пролета (габарит проводов), где Н2 = 8 м. После построения графика напряженности в указанных точках определить безопасную зону для человека, исходя из допустимого значения напряженности Едоп = 5 кВ /м.

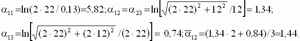
Исходные данные: Uн = 500 кВ, Uф = 289 кВ; расстояние между фазами Д = 12 м, Н1 = 22 м, Н2 = 8 м, у = 1,8» 2 м; радиус провода АС-240 ro = 10,8 мм; количество проводов в расщепленной фазе n = 3, ее радиус rp = 0,23 м, следовательно эквивалентный радиус фазы в соответствии с формулой (5.16) будет равен

1-й случай, Н1 = 22 м.

По формулам (5.10) находим

После подстановки найденных значений в формулу (8.2), получим выражение

(8.3)

Задавая значения х, определяем по формуле (8.3) соответствующие им значения модуля Еу ,кВ/м, результаты сводим в табл. 8.1.

Таблица 8.1

х, м                        
Еу при Н1 = 22м 1,4     1,8   2,5 2,7 2,9   2,7 2,3 2,0
Еу при Н2 = 8 м 12,8 12,3 9,7 7,8 9,4 12,8 14,4 12,5 9,7 6,3 3,2 1,9

2-й случай, Н2 = 8 м.

Потенциальные коэффициенты находим аналогично первому случаю:

Подставим найденные значения в формулу (8.2), получим выражение:

(8.4)

Подставляя в формулу (8.4) значения х, находим соответствующие им значения Еу и заносим их в табл. 8.1. По данным табл. 8.1 строим графики зависимости Еу от х для Н1 = 22 м и Н2 = 8 (рис. 8.1).

Рис. 8.1. Зависимость напряженности электрического поля под проводами ЛЭП

Проведя на этом рисунке горизонталь на уровне 5 кВ/м (допустимое значение напряженности поля), определяем безопасную зону для людей. Безопасная зона при Н2 = 8 находится на расстоянии 10 м от крайней фазы. Под опорой (Н1 = 22 м) опасная зона отсутствует, так как вся кривая Еу лежит ниже 5 кВ/м. Кривые Еу при х < 0 симметричны кривым при х > 0, поэтому не приводятся.







Date: 2015-05-18; view: 2376; Нарушение авторских прав



mydocx.ru - 2015-2026 year. (1.486 sec.) Все материалы представленные на сайте исключительно с целью ознакомления читателями и не преследуют коммерческих целей или нарушение авторских прав - Пожаловаться на публикацию