Квантовая физика, физика атома
1. При изучении внешнего фотоэффекта увеличили освещенность катода. Это привело к …
| 1)
| увеличению значения задерживающего напряжения
| 2)
| уменьшению работа выхода электрона
| | 3)
| увеличению работы выхода электрона
| 4)
| увеличению значения тока насыщения
| 2. При освещении катода вакуумного фотоэлемента потоком монохроматического света происходит фотоэффект. При увеличении частоты падающего света в 2 раза максимальная энергия электронов
| 1)
| не изменяется
| 2)
| увеличивается в 2 раза
| | 3)
| увеличивается менее, чем в 2 раза
| 4)
| увеличивается более, чем в 2 раза
| 3. Работа выхода электрона из металла равна 2,4 эВ. Какова максимальная возможная кинетическая энергия электрона, «выбитого» из металла фотоном с энергией в 6,0 эВ?
| 1)
| 2,5 эВ
| 2)
| 3,6 эВ
| 3)
| 8,4 эВ
| 4)
| 14,4 эВ
|
4. На черную пластинку падает поток света. Если число фотонов, падающих на единицу поверхности в единицу времени увеличить в 2 раза, а черную пластинку заменить зеркальной, то световое давление...
| 1)
| увеличится в 4 раза
| 2)
| уменьшится в 2 раза
| | 3)
| останется неизменным
| 4)
| увеличится в 2 раза
| 
5. На рисунке изображен спектр излучения абсолютно черного тела при температуре Т. При температуре площадь под кривой увеличилась в 16 раз. Температура равна
| 1)
|
| 2)
|
|
| | 3)
| 4 Т
| 4)
| 2 Т
| 6. На рисунке показана кривая зависимости спектральной плотности энергетической светимости абсолютно черного тела от длины волны при T=6000K. Если температуру тела уменьшить в 4 раза, то длина волны, соответствующая максимуму излучения абсолютно черного тела,
| 1)
| увеличится в 4 раза
| 2)
| уменьшится в 2 раза
| | 3)
| уменьшится в 4 раза
| 4)
| увеличится в 2 раза
|
7. На рисунке показаны направления падающего фотона (g), рассеянного фотона (g’) и электрона отдачи (e). Угол рассеяния 90°, направление движения электрона отдачи составляет с направлением падающего фотона угол . Если импульс электрона отдачи Pе, то импульс рассеянного фотона равен…
| 1)
| Pе
| 2)
| Pе
| 3)
| 0,5 Pе
| 4)
| Pе
|
8. На рисунке показаны направления падающего фотона , рассеянного фотона и электрона отдачи (e). Угол рассеяния 90°, направление движения электрона отдачи составляет с направлением падающего фотона угол . Если импульс падающего фотона Pф, то импульс рассеянного фотона равен…
| 1)
| Pф/
| 2)
| Pф
| 3)
| 0,5Pф
| 4)
| Pф
|
9. При переходе из одного стационарного состояния в другое атом может
| 1)
| излучать или поглощать фотоны любой энергии
| | 2)
| поглощать фотоны любой энергии, а излучать лишь с определенными значениями энергии
| | 3)
| излучать фотоны любой энергии, а поглощать лишь с определенными значениями
| | 4)
| излучать или поглощать фотоны лишь с определенными значениями энергии
| 10. Атом переходит из возбужденного состояния с энергией Е1 в состояние с энергией Е0. Энергия фотона hv, излучаемого при таком переходе, равна
| 1)
| Е1 ‑ Е0
| 2)
| Е1 + Е0
| 3)
| (Е1 ‑ Е0)/2
| 4)
| Е0 ‑ Е1
| 
11. На рисунке указаны три низших значения энергии атома натрия. Атомы находятся в состоянии . При освещении паров натрия светом с энергией 3,2∙10–19 Дж
| 1)
| ) атомы не будут поглощать свет
| | 2)
| произойдет переход атомов в состояние
| | 3)
| произойдет ионизация атомов
| | 4)
| атомы перейдут в состояние с энергией –11,4∙10–19 Дж
| 
12. Закон сохранения момента импульса накладывает ограничения на возможные переходы электрона в атоме с одного уровня на другой (правило отбора).В энергетическом спектре атома водорода (рис.) запрещенным переходом является…
| 1)
| 4s – 3d
| 2)
| 3s – 2p
|
| | 3)
| 2p – 1s
| 4)
| 4s – 3p
|
13. Закон сохранения момента импульса накладывает ограничения на возможные переходы электрона в атоме с одного уровня на другой (правило отбора). В энергетическом спектре атома водорода (рис.) запрещенным переходом является…
| 1)
| 4s – 3p
| 2)
| 3p – 2s
|
| | 3)
| 3s – 2s
| 4)
| 4f – 3d
|
14. В атоме водорода уровню энергии номера отвечает (без учёта спина)
| 1)
| различных квантовых состояний
| | 2)
| различных квантовых состояний
| | 3)
| различных квантовых состояний
| | 4)
| различных квантовых состояний
| | 5)
| различных квантовых состояний
|
15. Какова полная энергия связи нуклонов в ядре аргона ?
| 1)
| 35681,4 МэВ
| 2)
| 35353,2 МэВ
| | 3)
| 328,6 МэВ
| 4)
|
|
16. Первый и второй лазеры испускают свет с частотами соответственно v и 2 v. Энергия фотона в пучке второго лазера по сравнению с энергией фотона первого лазера
| 1)
| такая же
| 2)
| в 2 раза меньше
| | 3)
| в 2 раза больше
| 4)
| в 4 раза меньше
|
17. Высокая монохроматичность лазерного излучения обусловлена относительно большим временем жизни электронов в метастабильном состоянии ~ . Учитывая, что постоянная Планка , ширина метастабильного уровня (в эВ) будет не менее…
18. Положение пылинки массой m =10 –9кг можно установить с неопределенностью . Учитывая, что постоянная Планка , неопределенность скорости (в м/с) будет не менее…
19. Если протон и нейтрон двигаются с одинаковыми скоростями, то отношения их длин волн де Бройля равно …
20. Длина волны электромагнитного излучения 663 нм. Импульс фотона равен
| 1)
| 6,63∙10–34
| 2)
| 3∙10–19
| 3)
| 3∙103
| 4)
| 1∙10–27
| 21. Длины волн света в двух пучках связаны соотношением λ2 = 2λ1. Отношение энергий фотонов в этих пучках равно
22. Волновая функция частицы в потенциальной яме с бесконечно высокими стенками шириной L имеет вид: . Величина импульса в первом возбужденном состоянии (n = 2) равна …
23. Частица массой m с энергией подлетает к потенциальному барьеру высотой . Для области I уравнение Шредингера имеет вид …
24. Стационарным уравнением Шредингера для частицы в одномерном ящике с бесконечно высокими стенками является уравнение…
25. Вероятность обнаружить электрон на участке (a,b) одномерного потенциального ящика с бесконечно высокими стенками вычисляется по формуле , где – плотность вероятности, определяемая -функцией. Если -функция имеет вид, указанный на рисунке, то вероятность обнаружить электрон на участке равна…
26. Вероятность обнаружить электрон на участке (a,b) одномерного потенциального ящика с бесконечно высокими стенками вычисляется по формуле , где – плотность вероятности, определяемая -функцией. Если -функция имеет вид, указанный на рисунке, то вероятность обнаружить электрон на участке равна…
27. Для нуклонов верными являются следующие утверждения:
| 1)
| спин нейтрона меньше спина протона
| | 2)
| протон обладает зарядом, равным + е
| | 3)
| массы нуклонов практически одинаковы
|
Сколько a – и b – распадов должно произойти, чтобы америция превратился в стабильный изотоп висмута 
| 1)
| 9 a – распадов и 3 b– – распадов
| | 2)
| 7 a – распадов и 3 b– – распадов
| | 3)
| 6 a – распадов и 5 b– – распадов
| | 4)
| 8 a – распадов и 4 b– – распадов
|
28. Сколько a – и b – распадов должно произойти, чтобы превратился в стабильный изотоп свинца .
| 1)
| 9 a – распадов и 5 b– – распадов
| | 2)
| 10 a – распадов и 4 b– – распадов
| | 3)
| 8 a – распадов и 6 b– – распадов
| | 4)
| 6 a – распадов и 8 b– – распадов
|
29. Законом сохранения электрического заряда запрещена реакция...
30. На рисунке показана кварковая диаграмма – распада нуклона. Эта диаграмма соответствует реакции …
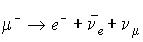
31. Реакция распада электрона по схеме невозможна вследствие невыполнения закона сохранения…
| 1)
| электрического заряда
| 2)
| лептонного заряда
| | 3)
| энергии
|
|
|
32. Соответствует ли уравнение N g C + e законам сохранения массового числа и заряда в ядерных реакциях?
| 1)
| для массового числа соответствует, для заряда – нет
| | 2)
| для массового числа – нет, для заряда – соответствует
| | 3)
| соответствует обоим законам сохранения
| | 4)
| не соответствует обоим законам сохранения
| 33. В процессе электромагнитного взаимодействия принимают участие …
| 1)
| фотоны
| 2)
| нейтроны
| 3)
| нейтрино
|
|
|
34. В порядке возрастания интенсивности фундаментальные взаимодействия располагаются следующим образом …
| 1)
| электромагнитное, гравитационное, слабое, сильное
| | 2)
| слабое, сильное, гравитационное, электромагнитное
| | 3)
| электромагнитное, слабое, гравитационное, сильное
| | 4)
| гравитационное, слабое, электромагнитное, сильное
|
Date: 2015-05-18; view: 2349; Нарушение авторских прав | Понравилась страница? Лайкни для друзей: |
|
|