Главная Случайная страница


Полезное:

Как сделать разговор полезным и приятным Как сделать объемную звезду своими руками Как сделать то, что делать не хочется? Как сделать погремушку Как сделать так чтобы женщины сами знакомились с вами Как сделать идею коммерческой Как сделать хорошую растяжку ног? Как сделать наш разум здоровым? Как сделать, чтобы люди обманывали меньше Вопрос 4. Как сделать так, чтобы вас уважали и ценили? Как сделать лучше себе и другим людям Как сделать свидание интересным?


Категории:

АрхитектураАстрономияБиологияГеографияГеологияИнформатикаИскусствоИсторияКулинарияКультураМаркетингМатематикаМедицинаМенеджментОхрана трудаПравоПроизводствоПсихологияРелигияСоциологияСпортТехникаФизикаФилософияХимияЭкологияЭкономикаЭлектроника






Выбор оборудования для свайных работ





- Исходные данные: расчётная несущая способность сваи по грунту, равная 310 кН, длина забиваемых свай 8м; масса сваи (включая массу наголовника и подбабка)составляет 17,2 кН.

Забивка свай выполняется трубчатыми дизель молотами с водяным охлаждением.

Молоты монтируются на копрах, имеющих рабочую платформу с ходовой частью и вертикальные направляющие устройства.

Определение необходимой минимальной энергии ЭМИН (Дж) удара молота:

, (5.1)

где a – коэффициент, равный 25 Дж/кН,

Р –расчётная несущая способность сваи по грунту, равная 310 кН.

По минимальной энергии удара принимаем трубчатый дизель-молот СП-40Д.

Техническая характеристика трубчатого дизель молота СП-40Д: масса ударной части – 1,2т; наибольшая высота подъёма ударной части – 3 м; наибольшая энергия удара–21,5кДж; частота ударов – 43…55 удар/мин; масса забиваемой сваи – 1,6 т; габаритные размеры: длина – 720 мм; ширина – 520 мм; высота – 3955 мм; масса полного комплекта – 2,6 т.

Расчётная энергия удара трубчатого дизель-молота принимается:

, (5.2)

где Q – вес ударной части, равный 12 кН

h – высота падения ударной части, равная 3 м.

 

Расчётная энергия удара молота должна быть равна или больше необходимой минимальной для забивки сваи, т.е.

32400≥13562,5 – условие выполняется.

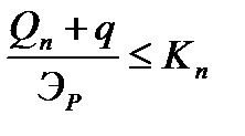
Принятый тип дизель-молота должен удовлетворять условию:

, (5.3)

где - полная масса молота, равная 26 кН; q – масса сваи (включая массу наголовника и подбабка), равная 17,2 кН; ЭР – расчётная энергия удара принятого молота, равная 32.4 кДж;

Кn – коэффициент применимости молота, значение которого зависит от типа молота и материала сваи, равный 6.

условие выполняется.

 

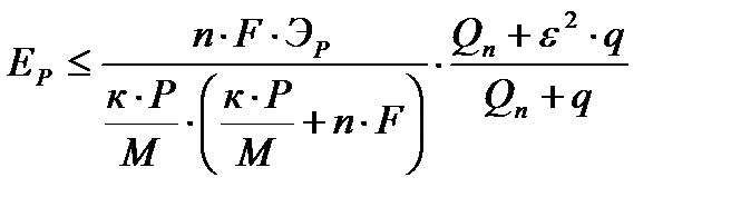
Для выбранного молота определяется расчётный отказ ЕР, при котором обеспечивается заданная несущая способность сваи.

, (5.4)

где ЕР – расчётный отказ сваи, см; n – коэффициент, равный 150 кН/м2; F – площадь, ограниченная наружным контуром сплошного поперечного сечения сваи, равная 0,09 м2

к – коэффициент надёжности по грунту, принимаемый равным 1,4; М – коэффициент, для молотов ударного действия принимается равным 1; ε – коэффициент восстановления удара, принимаемый для наголовников с деревянным вкладышем 0,2.







Date: 2015-05-18; view: 650; Нарушение авторских прав



mydocx.ru - 2015-2026 year. (0.104 sec.) Все материалы представленные на сайте исключительно с целью ознакомления читателями и не преследуют коммерческих целей или нарушение авторских прав - Пожаловаться на публикацию