Главная Случайная страница


Полезное:

Как сделать разговор полезным и приятным Как сделать объемную звезду своими руками Как сделать то, что делать не хочется? Как сделать погремушку Как сделать так чтобы женщины сами знакомились с вами Как сделать идею коммерческой Как сделать хорошую растяжку ног? Как сделать наш разум здоровым? Как сделать, чтобы люди обманывали меньше Вопрос 4. Как сделать так, чтобы вас уважали и ценили? Как сделать лучше себе и другим людям Как сделать свидание интересным?


Категории:

АрхитектураАстрономияБиологияГеографияГеологияИнформатикаИскусствоИсторияКулинарияКультураМаркетингМатематикаМедицинаМенеджментОхрана трудаПравоПроизводствоПсихологияРелигияСоциологияСпортТехникаФизикаФилософияХимияЭкологияЭкономикаЭлектроника






Расчет элементов водоснабжения





 

 

На строительной площадке воду расходуют на производственные, хозяйственно-бытовые и противопожарные нужды. Для производственных нужд вода используется на обслуживание машин, механизмов, выполнение строительнмонтажных работ (приготовление растворов, бетонов, увлажнение грунта и бетона).

Для хозяйственно-бытовых нужд воду используют на приём душа, питьё и другое.

Потребность строительства в воде определена на основании “Пособия по разработке ПОС и ППР для жилищно-гражданского строительства» (к СНиП 3.01.01-85) по формуле:

(5.26)
где Q1 – суммарный расход воды на производственные нужды, л/с;
  Q2 – суммарный расход воды на хозяйственно-бытовые нужды, л/с;
  Q3 – расход воды на нужды пожаротушения, л/с.
     

Расход воды для производственных нужд:

(5.27)
где 1,2 - коэффициент на неучтённые расходы воды;
  Qср – средний производственный расход воды в смену, л;
  – коэффициент неравномерности потребления воды;
  8 – число часов работы в смену.
     

Таблица 5.3 – Расход воды

№ п/п Потребители Удельные показатели Количество потребителей, n1 Расход воды, Литр/сутки
Ед. изм. Расход воды, q1
  Экскаватор с двигателем внутреннего сгорания л/час      
  Бульдозер (заправка+ +мойка) л/сутки      
  Автомашины (мойка и заправка) л/сутки      
  Поливка бетона и Ж/Б л/сутки      
  Промывка гравия (щебня) л/сутки      
  Компрессорная станция л/час      
Итого: q1 x n1 250 590

 

Суммарный расход на производственные нужды, л/с:

 

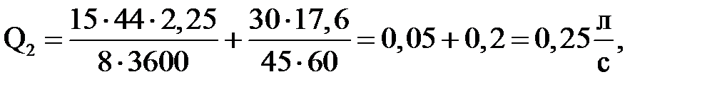
Q2 – Суммарный расход воды на хозяйственно-бытовые нужды, определяется по формуле:

(5.28)
где q2 – удельный расход воды на хозяйственно-питьевые нужды, принимается 15 л/смена (не канализированная площадка);
  n2 – число работающих в наиболее загруженную смену (44 чел.);
  k2 – коэффициент часовой неравномерности потребления воды (равен 1,5 – 3);
  8 – число часов работы в смену.
  q3 – расход воды на прием душа одним работающим, принимается 30 л;
  n3 – число работающих, пользующихся душем – 0,4 х 44 = 17,6 чел.;
  t2 – продолжительность использования душевой установки (равная 45 мин).
 
     

Q3 – Расход воды для нужд пожаротушения определяется по таблице 19 «Пособия по разработке ПОС и ППР для жилищно-гражданского строительства» (к СНиП 3.01.01-85) и составляет 10 л/сек. Также эта величина может быть определена по таблице 8 СНиП 2.04.02-84*, что составляет 15 л/сек. Принимаем 15 л/сек.

Общая потребность строительства в воде составляет:

 

Снабжение строительства водой осуществляется от существующей сети, питаемой 2-мя скважинами. Место подключения согласовывает Заказчик со службой эксплуатации.

· Расчетное количество одновременных пожаров при площади застройки до 150 га составляет – 1 пожар. (п.2.22 СНиП 2.04.02-84*).

· Продолжительность тушения пожара для зданий I и II степеней огнестойкости с помещениями категорий Г и Д – 2 часа (п.2.24).

· Максимальный срок восстановления пожарного объема воды должен составлять не более 36 часов с помещениями по пожарной опасности категорий Г и Д.

· Свободный напор в сети противопожарного водопровода низкого давления (на уровне поверхности земли) при пожаротушении должен составлять не менее 10 м. (п.2.30).

Расчет диаметров водопроводных труб

(5.29)
где Qобщ - общий суммарный расход воды, л/с;
  V - скорость движения воды по трубам, м/с.
 
     

По ГОСТ 3262-75 подбирается труба диаметром 170 мм, что соответствует требованиям пожарной безопасности.

 

 







Date: 2015-05-18; view: 987; Нарушение авторских прав



mydocx.ru - 2015-2026 year. (0.701 sec.) Все материалы представленные на сайте исключительно с целью ознакомления читателями и не преследуют коммерческих целей или нарушение авторских прав - Пожаловаться на публикацию