Главная Случайная страница


Полезное:

Как сделать разговор полезным и приятным Как сделать объемную звезду своими руками Как сделать то, что делать не хочется? Как сделать погремушку Как сделать так чтобы женщины сами знакомились с вами Как сделать идею коммерческой Как сделать хорошую растяжку ног? Как сделать наш разум здоровым? Как сделать, чтобы люди обманывали меньше Вопрос 4. Как сделать так, чтобы вас уважали и ценили? Как сделать лучше себе и другим людям Как сделать свидание интересным?


Категории:

АрхитектураАстрономияБиологияГеографияГеологияИнформатикаИскусствоИсторияКулинарияКультураМаркетингМатематикаМедицинаМенеджментОхрана трудаПравоПроизводствоПсихологияРелигияСоциологияСпортТехникаФизикаФилософияХимияЭкологияЭкономикаЭлектроника






Ограниченность механического детерминизма





Уравнения классической механики в совокупности с заданными начальными условиями дают возможность предсказать поведение механической системы в будущем. Это положение носит название детерминизма (определенности) классической механики.

В квантовой механике дело обстоит иначе. Согласно соотношению неопределенностей Гейзенберга невозможно одновременно точно определить в начальный момент времени значения величин координаты и скорости, необходимых для предсказания поведения механической системы. В данный момент времени можно вычислить только вероятность, с которой ее (систему) можно обнаружить в данной области (точке) пространства, т.е. достоверные понятия классической механики – координата, скорость и т.д. становятся вероятностными.

Конечная величина постоянной Планка необычайно мала по сравнению с масштабами физических величин классической физики, поэтому неопределенность физических явлений классической физики пренебрежимо мала. Отсюда вытекает детерминизм классической физики.

В квантовой физике эта неопределенность уже значительна и она не дает возможности описывать события согласно требованиям детерменизма. Детерменизм в квантовой физике заменяется вероятностными законами.

 

Частица в одномерной прямоугольной “потенциальной яме”

с бесконечно высокими “стенками”

Качественный анализ решения квантово-механической задачи проведем на примере простейшей задачи о частице в одномерной “потенциальной яме” с бесконечно высокими “стенками”. Для простоты считаем, что частица движется только вдоль оси х. Такая “яма” описывается потенциальной энергией U, имеющей следующие значения:

U(x) = ∞ при x < 0,

U(x) = 0 при 0 ≤ x ≤ Ɩ,

U(x) = ∞ при x > 0,

где Ɩ - ширина “ямы” (рис. 166). Уравнение Шредингера для стационарных состояний запишется (для одномерной задачи)

 

 

.

 

Рис. 166

 

По условию задачи частица не может проникнуть за пределы “ямы”, так как внутри “ямы” её потенциальная энергия равна нулю. Поэтому вероятность ее обнаружения (а следовательно, и волновая функция) за пределами “ямы” равна нулю. На границах “ямы” (при х=0 и х=l) волновая функция в силу непрерывности также должна обращаться в нуль. Следовательно, граничные условия имеют вид

Ψ(0) = Ψ(Ɩ) = 0.

Так как в пределах “ямы” (0 ≤ x ≤ l) U = 0, то уравнение Шредингера сведется к виду

,

или , где

Общее решение этого уравнения: Ψ(х) = Аsin kx + Bcos kx.

 

Так как Ψ(0) = 0, то Аsin 0+ Bcos 0 = 0, откуда В = 0, и тогда

Ψ(х) = Аsin kx.

Условие Ψ(Ɩ) = Аsin kƖ = 0 выполняется только при kƖ = nπ, где n – целые числа, т.е. необходимо, чтобы . Тогда

откуда

(n = 1, 2, 3, …).

Таким образом, уравнение Шредингера для данной задачи удовлетворяется только при собственных значениях Еn, зависящих от целого числа n. Следовательно энергия Еn частицы принимает лишь определенные дискретные значения, т.е. квантуется. Квантовые значения энергии Еn называются уровнями энергии, а число n, определяющее уровни энергии частицы, называется главным квантовым числом.

Определим вид собственной функции

Ψ(х) = Аsin kx; ; Ψ(х) = Аsin .

Постоянную А найдем из условия нормировки

Учитывая, что среднее значение равно ½, получим

, ; откуда .

Собственные функции будут иметь вид

, (n = 1, 2, 3, …).

 

Рис. 167 График собственных функций для уровней с n = 1, 2, 3  
Рис. 168 График плотности вероятностей обнаружения частицы для уровней с n = 1, 2, 3

 

 


На рис. 167 и 168 приведены графики собственных функций и плотности вероятности обнаружения частицы для уровней с n = 1, 2, 3. В квантовом состоянии с n =2 частица не может находиться в середине “ямы”, в то время как одинаково часто может пребывать в ее левой и правой частях. Такое поведение чаcтицы указывает на то, что представления о траекториях частицы в квантовой механике несостоятельны.

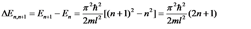
Энергетический интервал между двумя соседними уровнями n и n+1 будет

Для значений n существенно больших 1 можно приблизительно считать, что

.

Если размер “ямы” соизмерим с атомом (l ∼10-10 м), то для электрона в атоме ΔЕn 10-17 Дж, т.е. получаются явно дискретные уровни энергии. Для свободных электронов в металле l 10–1м,

Еn ≃n·10-37Дж, т.е. энергетические уровни расположены столь тесно, что спектр практически можно считать непрерывным.


 







Date: 2015-05-17; view: 1967; Нарушение авторских прав



mydocx.ru - 2015-2026 year. (2.144 sec.) Все материалы представленные на сайте исключительно с целью ознакомления читателями и не преследуют коммерческих целей или нарушение авторских прав - Пожаловаться на публикацию