Главная Случайная страница


Полезное:

Как сделать разговор полезным и приятным Как сделать объемную звезду своими руками Как сделать то, что делать не хочется? Как сделать погремушку Как сделать так чтобы женщины сами знакомились с вами Как сделать идею коммерческой Как сделать хорошую растяжку ног? Как сделать наш разум здоровым? Как сделать, чтобы люди обманывали меньше Вопрос 4. Как сделать так, чтобы вас уважали и ценили? Как сделать лучше себе и другим людям Как сделать свидание интересным?


Категории:

АрхитектураАстрономияБиологияГеографияГеологияИнформатикаИскусствоИсторияКулинарияКультураМаркетингМатематикаМедицинаМенеджментОхрана трудаПравоПроизводствоПсихологияРелигияСоциологияСпортТехникаФизикаФилософияХимияЭкологияЭкономикаЭлектроника






Эффект Комптона. Рассеяние электромагнитного излучения на свободных или слабосвязанных электронах, при котором отдельный фотон в резуль­тате упругого соударения с электроном





Рассеяние электромагнитного излучения на свободных или слабосвязанных электронах, при котором отдельный фотон в резуль­тате упругого соударения с электроном передает ему часть своего им­пульса и энергии, называется эффектом Комптона (впер­вые наблюдался в 1923 г.) Эффект Комптона показывает, что фотоны, несмотря на волновую природу, ведут себя как частицы и способны к взаимодействию с другими частицами по принципу, напоминающему удар упругих шаров.

Падающий фотон, обладающий энергией hν (рис. 163), в результате соударения часть своей энергии передает электрону и превращается в другой фотон с энергией hν', который движется под углом Θ к первоначальному направлению движения фотона.

 

 

  Рис. 163

 

 


По закону сохранения энергии сумма начальной энергии фотона hν и энергии покоящегося электрона Е0 = m0c2 должна быть равна сумме энергии рассеянного фотона hν' и полной энергии электрона после соударения

hν + m0c2 = hν' + mc2, где .

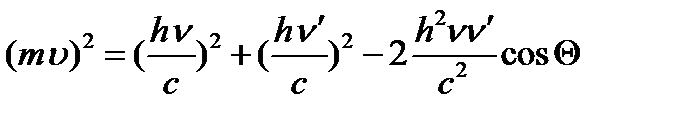
В процессе соударения электрона и фотона выполняется еще и закон сохранения импульса

р + р Э = р ' + р 'Э,

р и р Э – начальные импульсы фотона и электрона, р ' и р 'Э – их импульсы после рассеяния.

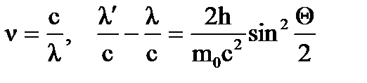
Будем считать, что начальная скорость электрона была равна нулю. Тогда р Э = 0. Импульс фотона р = . После подстановки этого значения получим

, (1)

где h – постоянная Планка; ν и ν' – частоты падающего и рассеянного

  Рис. 164
излучений; m и v - масса и скорость электрона.

 

Из векторной диаграммы импульсов (рис. 164) следует:

. (2)

Решая совместно уравнения 1 и 2 с учетом того, что ,

получим: или

.

Учитывая, что , и сократив на с, получим

.

Величина называется комптоновской длиной волны электрона. Как видно, изменение длины волны в эф­фекте Комптона зависит от угла рассеяния Θ. Наибольшее изменение длины волны Δλ будет при угле рассеяния Θ = 1800, т.е. при зеркальном отражении фотона, а минимальное при малых углах рассеяния. Комптоновское рассеяние наблюдается и на других частицах – протонах, атомах, ядрах и др. При рассеянии фотонов на электронах, связь которых с атомом велика, обмен энергией и импульсом происходит с атомом как целым. Поскольку масса атома намного превосходит массу электрона, то длина волны λ' рассеянного на атоме излучения практически не отличается от длины волны λ падающего излучения.

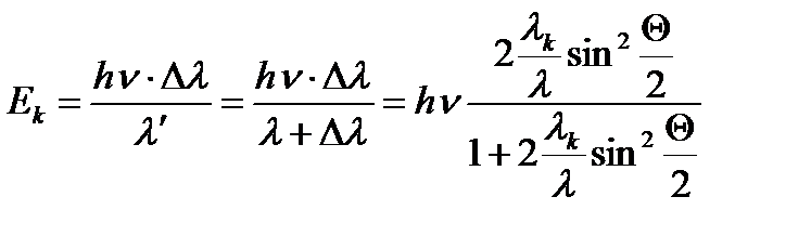
Кинетическая энергия электрона отдачи (после взаимодействия с фотоном) будет равна

или

.

Электрон отдачи достигает максимальной энергии при Θ = π, т.е. когда фотон рассеивается в противоположном направлении

.

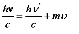
Поглощение фотона свободным электроном невозможно, т.к. такой процесс противоречит законам сохранения энергии и импульса.

, где .

Эти два соотношения совместны только при υ= 0.

 







Date: 2015-05-17; view: 2125; Нарушение авторских прав



mydocx.ru - 2015-2026 year. (0.377 sec.) Все материалы представленные на сайте исключительно с целью ознакомления читателями и не преследуют коммерческих целей или нарушение авторских прав - Пожаловаться на публикацию