Главная Случайная страница


Полезное:

Как сделать разговор полезным и приятным Как сделать объемную звезду своими руками Как сделать то, что делать не хочется? Как сделать погремушку Как сделать так чтобы женщины сами знакомились с вами Как сделать идею коммерческой Как сделать хорошую растяжку ног? Как сделать наш разум здоровым? Как сделать, чтобы люди обманывали меньше Вопрос 4. Как сделать так, чтобы вас уважали и ценили? Как сделать лучше себе и другим людям Как сделать свидание интересным?


Категории:

АрхитектураАстрономияБиологияГеографияГеологияИнформатикаИскусствоИсторияКулинарияКультураМаркетингМатематикаМедицинаМенеджментОхрана трудаПравоПроизводствоПсихологияРелигияСоциологияСпортТехникаФизикаФилософияХимияЭкологияЭкономикаЭлектроника






Глава 16. Квантовая природа излучения





Тепловое излучение. Закон Кирхгофа.

Все тела в той или иной степени излучают электромагнитные волны. Энергия, расходуемая светящимся телом на излучение, может пополняться из различных источников.

Свечение возникающее за счет энергии, выделяющейся при химическом превращении называется хемилюминисценцией. Электролюминисценция – это свечение, возникающее в самостоятельном газовом разряде за счет энергии электрического поля. Катодолюминисценция – это свечение, возникающее при бомбардировке твердого тела электронами за счёт их энергии. Фотолюминисценция появляется при облучении тела светом. Но самым распространенным является свечение тел (излучение электромагнитных волн), обусловленное их нагреванием. Этот вид свечения называется тепловым. Тепловое излучение имеет место при любой температуре, однако при обычных температурах излучаются лишь длинные (инфракрасные) волны.

Каким путем передается энергия от одного тела к другому?

Теплообмен или радиационный теплообмен – это самопроиз­вольный процесс передачи энергии в форме теплоты от тела более на­гретого к телу менее нагретому, осуществляемый путем из­лучения и поглощения электромагнитных волн этими телами. Тепловое излучение – единственное, которое может находиться в термодинамическом равновесии с веществом. При термодина­мическом равновесии расход энергии тела на тепловое излучение ком­пенсируется поглощением телом такого же количества энергии падающего на него излучения.

Допустим, что равновесие между телом и излучением нарушено:

- тело испускает энергии больше чем поглощает;

- внутренняя энергия тела убывает и температура его снижается;

- количество излучаемой энергии убывает.

Температура тела будет снижаться до тех пор, пока количество излучаемой энергии не станет равным количеству поглощаемой. При нарушении равновесия в другую сторону, т.е. когда количество излучаемой энергии оказывается меньше, чем поглощаемой, температура тела будет возрастать до тех пор, пока снова не установится равновесие.

Для характеристики теплового излучения используются сле­дующие величины:

1. Интегральная энергетическая светимость тела Rэ или Rт – это поток энергии, испускаемый единицей поверхности излучающего тела в 1 с на всевозможных частотах по всем направлениям (в преде­лах телесного угла 2π).

2. Спектральная плотность энергетической светимости (испуска­тельная способность тела) или - это физическая величина, численно равная отношению энергии dW, излучаемой за 1 с с 1 м2 по­верхности тела посредством электромагнитных волн в узком интервале частот от ν до

ν + dν (или длин волн от λ до λ +dλ) к ширине этого интервала при определенной температуре Т.

; , [Дж/м2с]

.

Интегральная энергетическая светимость тела RЭ связана со спектральной плотностью энергетической светимости соотношением:

3. Спектральная поглощательная способность - это безразмер­ная величина, показывающая какая доля энергии волн с частотами от ν до

ν + dν, или длинами волн от до , падающих на поверхность тела поглощается им

Испускательная и поглощательная способности являются функциями частоты (длин волны) и температуры. По определению не может быть больше 1. Тело, которое полностью поглощает все падающее на него излучение, называется абсолютно черным телом. Для абсолютно черного тела

. Абсолютно черных тел не существует, но хорошей его моделью может служить замкнутая теплоизолированная полость с небольшим отверстием. Серым телом называется тело, у которого

< 1.

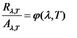
Между испускательной и поглощателной способно­стями любого тела имеется определенная связь, выраженная в законе Кирхгофа:

отношение испускательной и поглощательной способностей не зависит от природы тела, и является для всех тел одной и той же универсальной функцией частоты ν (или λ) и температуры Т.

;

В самом деле в равновесном состоянии тело, обладающее большей испускательной способностью , теряет в единицу времени с 1 м2 поверхности больше энергии, чем тело с меньшей испускательной способностью . Поскольку температура, (а значит и энергия) при термодинамическом равновесии тел не меняется, то тело больше испускающее, должно и больше поглощать, т.е. обладать большей поглащательной способностью . Таким образом, чем больше испускательная способность тела , тем больше и его поглощательная способность .

Сами величины и взятые отдельно, могут изменяться чрезвычайно сильно при переходе от одного тела к другому. Отноше­ние же их оказывется одинаковым для всех тел. Для абсолютно чёрного тела указанная выше функ­ция f(ν,T)= называется универсальной функцией Кирхгофа и представляет собой не что иное, как испускательную способность аб­солютно черного тела.


Экспериментальное изучение испускательной способности абсолютно черного тела позволило найти экспериментальный вид этой функции, график которой для различных температур представлен на рис. 157, и представляет собой распределение энергии излучения абсолютно чёрного тела.

Рис. 157

 








Date: 2015-05-17; view: 764; Нарушение авторских прав



mydocx.ru - 2015-2026 year. (0.954 sec.) Все материалы представленные на сайте исключительно с целью ознакомления читателями и не преследуют коммерческих целей или нарушение авторских прав - Пожаловаться на публикацию