Главная Случайная страница


Полезное:

Как сделать разговор полезным и приятным Как сделать объемную звезду своими руками Как сделать то, что делать не хочется? Как сделать погремушку Как сделать так чтобы женщины сами знакомились с вами Как сделать идею коммерческой Как сделать хорошую растяжку ног? Как сделать наш разум здоровым? Как сделать, чтобы люди обманывали меньше Вопрос 4. Как сделать так, чтобы вас уважали и ценили? Как сделать лучше себе и другим людям Как сделать свидание интересным?


Категории:

АрхитектураАстрономияБиологияГеографияГеологияИнформатикаИскусствоИсторияКулинарияКультураМаркетингМатематикаМедицинаМенеджментОхрана трудаПравоПроизводствоПсихологияРелигияСоциологияСпортТехникаФизикаФилософияХимияЭкологияЭкономикаЭлектроника






Масса и импульс фотона. Давление света





Согласно закону пропорциональности массы и энергии энергия ε фо­тона равна

ε = mc2

где с – скорость света в вакууме.

По гипотезе Планка энергия фотона равна

ε = hν.

Из этих уравнений получаем выражения для массы фотона

,

с учетом того, что

.

Выражение для импульса р в общем виде: . Так как скорость фотона равна с, получаем

р = mc = ; р = = .

Масса покоя фотона равна нулю. Квант электромагнитного излучения существует только распространяясь в пространстве со скоростью света.

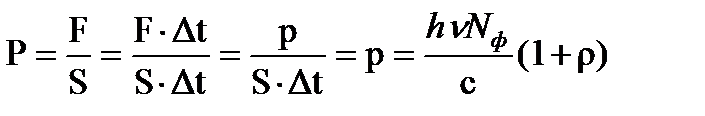
Поскольку фотон обладает импульсом, то свет, падая на поверхность тел, должен оказы­вать давление. Пусть на поверхность s = 1 м2 непрозрачного тела за время Δt = 1с падает поток фотонов, число которых равно Nф. Если по­верхность тела имеет коэффициент отражения ρ, то ρNф фотонов отра­зится от нее, а (1 – ρ) Nф поглотится телом. Каждый отраженный фотон сообщит телу импульс р1, равный изменению импульса этого фотона, т.е.

, а поглощенный фотон отдает телу свой импульс р2

.

Полный импульс, получаемый 1 м2 поверхности за 1 с, равен р

 

р = р1· ρNф + р2(1 – ρ) Nф = ρNф + (1 – ρ) = .

Давление будет равно импульсу силы, сообщаемому фотонами единице поверхности в 1 с. Отсюда следует, что полный импульс, получаемый 1 м2 за 1 секунду, численно равен давлению Р.

; .

Величина есть плотность потока световой энергии (энергия, приходящаяся на 1 м2 в 1 с [Дж/(м2 с)]), или энергетическая освещенность , и тогда

.

Это выражение для давления света получено из квантовой теории света.

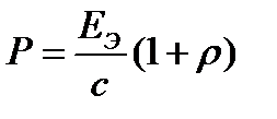
Выражение для давления света можно получить, пользуясь вол­новой теорией света. Если на поверхность металла падает нормально электромагнитная волна, то под действием электрического поля напряженностью (Е) электроны будут перемещаться в направлении, противоположном направлению вектора Е. При этом со стороны магнитного поля световой волны с индукцией В световой волны на каж­дый электрон, движущийся со скоростью v будет действовать сила Лоренца FЛ = evB, направленная внутрь металла перпендикулярно к его поверхности. Таким образом, световая волна будет производить давление на поверхность металла. Согласно вычислениям, проведенным по электромагнитной тео­рии Максвелла, световое давление выражается формулой

,

где ЕЭ – энергетическая освещенность поверхности, т.е. плотность потока световой энергии, падающего на данную поверхность. Таким образом, давление света успешно объясняется как волно­вой, так и квантовой теорией.

 







Date: 2015-05-17; view: 820; Нарушение авторских прав



mydocx.ru - 2015-2026 year. (0.267 sec.) Все материалы представленные на сайте исключительно с целью ознакомления читателями и не преследуют коммерческих целей или нарушение авторских прав - Пожаловаться на публикацию