Главная Случайная страница


Полезное:

Как сделать разговор полезным и приятным Как сделать объемную звезду своими руками Как сделать то, что делать не хочется? Как сделать погремушку Как сделать так чтобы женщины сами знакомились с вами Как сделать идею коммерческой Как сделать хорошую растяжку ног? Как сделать наш разум здоровым? Как сделать, чтобы люди обманывали меньше Вопрос 4. Как сделать так, чтобы вас уважали и ценили? Как сделать лучше себе и другим людям Как сделать свидание интересным?


Категории:

АрхитектураАстрономияБиологияГеографияГеологияИнформатикаИскусствоИсторияКулинарияКультураМаркетингМатематикаМедицинаМенеджментОхрана трудаПравоПроизводствоПсихологияРелигияСоциологияСпортТехникаФизикаФилософияХимияЭкологияЭкономикаЭлектроника






Задача №5.1





 

Определить часовое количество тепла, переданное вследствие теплового излучения с 1 м2 поверхности тела, если излучение возникает между двумя безграничными плоскими параллельными поверх­ностями. Температура одной из поверхностей tw1 = 1000°С, а другой tw2 = 100°С.

Расчет произвести для следующих условий:

1) Обе поверхности выполнены из литого необработанного железа;

2) Первая поверхность выполнена из литой полированной стали, вторая из латуни.

Среду, разделяющую поверхности, считать теплопрозрачной.

Решение

Удельный тепловой поток, переданный вследствие теп­лового излучения между двумя поверхностями, определится по форму­ле:

 

Приведенный коэффициент черноты для безграничных параллель­ных поверхностей определим по формуле:

 

Рассмотрим первый случай.

Коэффициент черноты литого необработанного железа ɛ = 0,87-0,95 Примем ɛ1 = ɛ2 = 0,9, тогда:

 

 

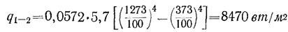
Количество тепла, переданное вследствие теплового излучения q1-2, равно:

 







Date: 2015-05-09; view: 2724; Нарушение авторских прав



mydocx.ru - 2015-2026 year. (1.193 sec.) Все материалы представленные на сайте исключительно с целью ознакомления читателями и не преследуют коммерческих целей или нарушение авторских прав - Пожаловаться на публикацию