Главная Случайная страница


Полезное:

Как сделать разговор полезным и приятным Как сделать объемную звезду своими руками Как сделать то, что делать не хочется? Как сделать погремушку Как сделать так чтобы женщины сами знакомились с вами Как сделать идею коммерческой Как сделать хорошую растяжку ног? Как сделать наш разум здоровым? Как сделать, чтобы люди обманывали меньше Вопрос 4. Как сделать так, чтобы вас уважали и ценили? Как сделать лучше себе и другим людям Как сделать свидание интересным?


Категории:

АрхитектураАстрономияБиологияГеографияГеологияИнформатикаИскусствоИсторияКулинарияКультураМаркетингМатематикаМедицинаМенеджментОхрана трудаПравоПроизводствоПсихологияРелигияСоциологияСпортТехникаФизикаФилософияХимияЭкологияЭкономикаЭлектроника






Разработка котлованов и траншей экскаваторами, оборудованными обратной лопатой и драглайном





Наименьшую высоту забоя для обратной лопаты принимают согласно табл. 1.2, а для экскаваторов с оборудованием драглайн минимальная глубина забоя должна составлять от 0,15 до 0,2 длины стрелы.

Применение боковой проходки позволяет отсыпать грунт от траншеи на большее расстояние, но при этом ширина проходки по верху выемки не превышает наибольшего радиуса копания, а глубина 0,75 — наибольшей глу­бины копания. Лобовая разработ­ка забоя дает возможность разра­батывать траншею большей глу­бины и ширины.

Максимальная ширина лобо­вой проходки по верху (рис. 1.6) при односторонней выгрузке грун­та составляет (м)

 

Рис. 1.6. Схема разработки грунта экскаватором обратная лопата при торцовой проходке

 

где R max — наибольший радиус резания, м; l п — длина рабочей передвижки экскаватора, м; R т — наибольший радиус выгрузки грунта в транспортные средства, м; b к — ширина транспортных средств (табл. 1.3) или отвала грунта, м. При двусторонней выгрузке грунта (м)

ширина проходки по низу, м

где т — коэффициент откоса; Н — высота забоя, м.

Разработку драглайном широких и глубоких котлованов, как и при работе с прямой лопатой, выполняют уступами (ярусами) и ширина (первой проходки определяется по предыдущим форму­лам, а каждой последующей (м)

где R н — радиус резания по дну котлована пои наибольшей его глубине, м (рис. 1.7)

 

Рис. 1.7. Схема для определе­ния наибольшего радиуса ко­пания по низу котлована

 

Рис. 1.8. Схема поперечного сечения траншеи:

а — при двустороннем отвале; б — при од­ностороннем

 

где H — глубина котлована, м; h ш — высота до оси пяты стрелы, м; b — расстояние от оси пяты стрелы до оси вращения экскава­тора, м.

Размеры забоев для драглайна определяются так же, как и для обратной лопаты, только величина рабочей передвижки при­нимается равной 1/5 длины стрелы экскаватора.

Схемы движения экскаватора, размеры отвалов, а также спо­собы выгрузки грунта в отвал или на транспортные средства оп­ределяют в зависимости от габаритов разрабатываемой выемки (рис. 1.8, а).

Если сумма

наибольшего радиуса ре­зания экскаватора, то его следует ставить по оси траншеи, при этом места для размещения отвала грунта с одной стороны тран­шеи будет достаточно.

Если сумма

то экскаватор необходимо сместить от оси траншеи в сторону отвала грунта на

В этом случае экскаватор будет передвигаться зигзагом с вы­грузкой грунта в двусторонний отвал.

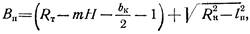
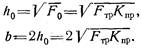
Размеры отвала определяют из условия

где F о площадь поперечного сечения отвала; F тр — то же, траншеи; К пр — коэффициент первоначального разрыхления грунта. Высота и ширина отвала по низу при угле естественного от­коса φ = 45° равны (м)

Если h +0,5 м окажется больше максимальной высоты вы­грузки экскаватора H т, то размеры отвала необходимо опреде­лить по схеме рис. 1.8, б.

Тогда ширина отвала по верху равна (м)

где h о — высота отвала, принимается равной H т — 0,5 м; т — ко­эффициент откоса, принимаемый для насыпного грунта равным 1. Ширина отвала по низу (м)

 

Планировка площадок скреперами

Скрепер как землеройно-транспортная машина может вы­полнять следующие операции: [послойную разработку грунта с одновременным наполнением ковша, транспортирование набран­ного грунта и укладку слоями заданной толщины. Скреперы ши­роко применяют в планировочных работах.

При планировке площадок скреперами применяют следую­щие схемы разработок грунта: последовательная, через полосу и ребристо-шахматная проходка.

Наиболее эффективными являются разработки проходками через полосу и ребристо-шахматной (рис. 1.9). Разработка по­следовательной проходкой не рациональна из-за потерь грунта в виде боковых валиков.

Рис. 1.9. Схема разработки грунта скреперами при плани­ровке площадок:

а — проходка через полосу; б — ребристо-шахматная проходка

При разработке плотных грунтов (III—IV категории) для улучшения условий наполнения ковша скрепера применяют предварительное рыхление.

Самоходные скреперы набирают грунт только с помощью трактора-толкача. Тракторы-толкачи рационально использовать также при работе прицепных скреперов группами.

Ориентировочное количество скреперов, обслуживаемое од­ним трактором-толкачом, приведено в табл. 1.4.

 

Таблица 1.4. Количество скреперов, обслуживаемое трактором-толкачом

 


  Количество скреперов на один толкач
Расстояние перемещения грунта (полусумма) рабочего и холостого хода за один рейс, м прицепных само­ходных
емкость ковшей, м3
  2,25 8...10 8...10
1000 и более - - - -

 

При планировке площадки наиболее рациональными являют­ся следующие схемы движения скреперов (рис. 1.10): эллипти­ческая, «восьмеркой» и спиральная.

Рис. 1.10. Схема движения скрепера при планировке пло­щадок:

с — по эллипсу; б — по «восьмерке»; в — по спирали; 1 — набор грун­та; 2 — разгрузка грунта

 

Производительность скрепера при движении по «восьмерке» и по спиральной схеме выше, чем при эллиптической схеме.

По эллиптической схеме скреперы работают в случае, если полная длина срезки превышает длину пути для наполнения ков­ша, и в случае, когда толщина срезки превышает глубину реза­ния скрепера. В этом случае скрепер движется по замкнутой кривой и проходит по одному следу несколько раз.

Скрепер срезает грунт сразу на всю ширину выемки при дви­жении по спирали и в случае, когда срезка ведется последова­тельно ярусами.

При значительно протяженных вдоль нулевой линии площад­ках рационально применять схему «восьмерка».

 

Планировка площадок бульдозерами

Процесс разработки грунта бульдозером состоит из трех ос­новных операций: набор, транспортирование и укладка грунта.

Планировку площадок бульдозерами выполняют преимущест­венно двумя способами: траншейным и послойным (рис. 1.11).

 

Рис. 1.11. Схема разработки грунта бульдозером:

а — траншейным зарезанием; б — послойным; 1, 2, 3,... — последова­тельность резания

 

Траншейный способ разработки применяют для уменьшения потерь при перемещении грунта на расстоянии до 50 м. Парал­лельные полосы — траншеи глубиной от 0,4 до 0,6 м — получают путем нескольких проходов бульдозера по одному и тому же месту. Ширину траншей принимают равной длине отвала бульдо­зера, а перемычки, оставляемые между траншеями, шириной 0,4 м в связных грунтах и 0,6 м — в малосвязных. Перемычки разрабатывают после прохода каждой траншеи.

При дальности перевозки свыше 50 м через каждые 25 м устраивают промежуточные валы, которые затем перемещают двумя или тремя спаренными бульдозерами.

При послойной схеме разработку грунта производят парал­лельными полосами, причем каждая предыдущая полоса пере­крывается последующей от 0,3 до 0,5 м.







Date: 2015-05-09; view: 1382; Нарушение авторских прав



mydocx.ru - 2015-2026 year. (1.099 sec.) Все материалы представленные на сайте исключительно с целью ознакомления читателями и не преследуют коммерческих целей или нарушение авторских прав - Пожаловаться на публикацию