Главная Случайная страница


Полезное:

Как сделать разговор полезным и приятным Как сделать объемную звезду своими руками Как сделать то, что делать не хочется? Как сделать погремушку Как сделать так чтобы женщины сами знакомились с вами Как сделать идею коммерческой Как сделать хорошую растяжку ног? Как сделать наш разум здоровым? Как сделать, чтобы люди обманывали меньше Вопрос 4. Как сделать так, чтобы вас уважали и ценили? Как сделать лучше себе и другим людям Как сделать свидание интересным?


Категории:

АрхитектураАстрономияБиологияГеографияГеологияИнформатикаИскусствоИсторияКулинарияКультураМаркетингМатематикаМедицинаМенеджментОхрана трудаПравоПроизводствоПсихологияРелигияСоциологияСпортТехникаФизикаФилософияХимияЭкологияЭкономикаЭлектроника






А) с общим истоком; б) с общим стоком





Рис.1.22. Схемы включения МДП ПТ с индуцированным р- каналом:

А) с общим истоком; б) с общим стоком.

Рис.1.23. ВАХ ПТ с n-каналом:

А) УГО ПТ; б) входная ВАХ; в) выходная ВАХ.

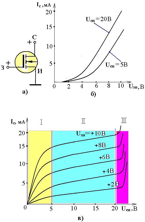
Рис.1.24. ВАХ ПТ МДП-типа с n -каналом:

А) УГО ПТ; б) входная ВАХ; в) выходная ВАХ.

 

Рис.1.25. К расчёту параметров ПТ с ОИ:

а) крутизна характеристики: S =d Iс / dUзu, при Uси = const;

б) коэффициент усиления: Ки =dUси / dUзu , при Iс = const;

в) внутреннее сопротивление: Ri = dUси /dIc, при Uзu= const;

г) входноесопротивление: Rвх=dUзu /dIзu, при Uси = const.

Рис.1.26. Диодный тиристор:

а) структура; б) УГО; в) ВАХ; г) двухтранзисторная модель.

Рис.1.27. Триодный тиристор:

А) структура; б) УГО; в) ВАХ.

Рис.1.28. Триодный симистор:

А) структура; б) УГО; в) ВАХ.

Рис.1.29. Схемы включения тиристоров:

А) с управленем по аноду; б) и в) в регуляторах мощности;

Г) схема включения триодного симистора;







Date: 2015-05-09; view: 687; Нарушение авторских прав



mydocx.ru - 2015-2026 year. (0.956 sec.) Все материалы представленные на сайте исключительно с целью ознакомления читателями и не преследуют коммерческих целей или нарушение авторских прав - Пожаловаться на публикацию