Главная Случайная страница


Полезное:

Как сделать разговор полезным и приятным Как сделать объемную звезду своими руками Как сделать то, что делать не хочется? Как сделать погремушку Как сделать так чтобы женщины сами знакомились с вами Как сделать идею коммерческой Как сделать хорошую растяжку ног? Как сделать наш разум здоровым? Как сделать, чтобы люди обманывали меньше Вопрос 4. Как сделать так, чтобы вас уважали и ценили? Как сделать лучше себе и другим людям Как сделать свидание интересным?


Категории:

АрхитектураАстрономияБиологияГеографияГеологияИнформатикаИскусствоИсторияКулинарияКультураМаркетингМатематикаМедицинаМенеджментОхрана трудаПравоПроизводствоПсихологияРелигияСоциологияСпортТехникаФизикаФилософияХимияЭкологияЭкономикаЭлектроника






Вводная часть. При рассмотрении неравновесных процессов, протекающих при движениисплошнойсреды, в подвижной среде выделяется элемент потока (макрочастица





При рассмотрении неравновесных процессов, протекающих при движениисплошнойсреды, в подвижной среде выделяется элемент потока (макрочастица, или жидкая частица). Объём макрочастицы должен быть, с одном стороны, элементарным, чтобы в пределах его можно было пренебречь изменением термодинамических параметров и считать состояние макрочастицы равновесным, а с другой стороны, он должен быть достаточно большим, чтобы число содержащихся в нём молекул было достаточно для статистического осреднения их кинетических энергий и однозначного определения макроскопических величин.

Элемент потока при движении деформируетсяи изменяет свой объём, но масса его остается неизменной, т. е. рассматривается подвижная закрытая равновесная термодинамическая система, состояние которой однозначно определяется параметрами . Изучаемое течение среды (поток) рассматривается как движение совокупности непрерывно распределённых в пространстве элементов среды (жидких частиц).

Абсолютное движение микрочастиц (атомов, молекул), составляющих элемент потока, относительно неподвижных стенок канала можно представить как сумму двух движений: хаотического (теплового) – относительного движения относительно центра инерции элемента потока и направленного механического(переносного) движения вместе с центром инерции (полюсом) относительно стенок канала. Для каждого вида движения микрочастиц составляется соответствующее балансовое уравнение изменения энергии:

1) для хаотического движения микрочастиц относительно их центра инерции – уравнение первого закона термодинамики для хаотического движения (2.42)

; (2.63)

2) для направленного движения микрочастиц относительно стенок канала – уравнение энергии для потока в механическом виде (для направленного движения) – обобщённое уравнение Бернулли для стационарного течения

; (2.64)

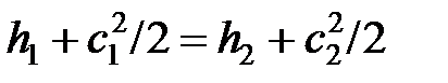
3) для абсолютного движения микрочастиц относительно стенок канала – уравнение первого закона термодинамики для стационарного потока

, (2.65)

где h – удельная энтальпия, Дж/кг.

Течение газа без внешнего теплообмена () и совершения технической работы называется энергоизолированным. Такое течение происходит в различных каналах (соплах, диффузорах).
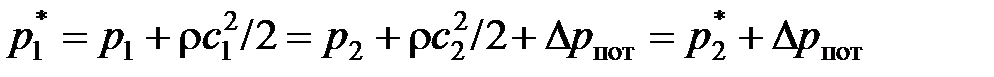
Интегрируя (2.64) в случае энергоизолированного течения вязкой
несжимаемой жидкости (), получим известное в гидромеханике уравнение Бернулли виде баланса напоров

или баланса давлений

. (2.66)

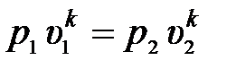
Особенности адиабатного течения газа. Процесс, протекающий без внешнего теплообмена, называется адиабатным. Следует различать адиабатный процесс с трением – реальный адиабатный процесс (, ), протекающий с изменением энтропии () и описываемый уравнением политропы или уравнением реальной адиабаты , и адиабатный процесс без трения – теоретический (идеальный, обратимый, равновесный) адиабатный процесс или изоэнтропный (без внешнего и внутреннего теплообмена), протекающий без изменения энтропии и описываемый уравнением идеальной адиабаты или изоэнтропы

. (2.67)

Уравнение первого закона термодинамики для стационарного потока (2.65) в случае энергоизолированного изоэнтропного (без трения) течения газа (изменением гравитационной потенциальной энергии газа в канале обычно пренебрегают ) запишется в интегральном виде:

, (2.68)

где индекс «s» указывает, что процесс изоэнтропный ().

При течении с трением кинетическая энергия элемента среды уменьшается, а энтальпия увеличивается, но баланс этих величин сохраняется в прежнем виде

. (2.69)

Таким образом, уравнения первого закона термодинамики для течения с трением (2.69) и без трения (2.68) имеют одинаковый вид и, если опустить индекс «s» (что часто и делают), то они ничем не будут отличаться по внешнему виду. Различие этих уравнений состоит лишь в соотношении между энтальпией и кинетической энергией для течений с трением и без трения. Эти уравнения являются основными в газовой динамике при рассмотрении энергоизолированных течений сжимаемых газов и паров в каналах.

При течении идеального газа энтальпия зависит только от температуры и её можно выразить так

. (2.70)

С учётом (2.70) уравнения (2.68) и (2.69) примут вид

. (2.71)

Это уравнение играет ту же роль для сжимаемого газа, что и уравнение Бернулли (2.66) для несжимаемого газа.

При истечении газа из ресивера (сосуда большого объёма) кинетическая энергия элемента потока в начале разгона мала и ею можно пренебречь . Тогда уравнение (2.69) примет вид . Из этого уравнения определяется скорость потока по значениям энтальпий в ресивере и на выходе из сопла (рис. 16)


. (2.72)

Это уравнение применяется для расчёта скорости истечения реальных газов (паров).

а) схема течения газа в сопле; б) зависимость параметров потока на выходе из сопла от отношения Рисунок 16 – К расчёту истечения газа из сопла

При истечении идеальных газов формула (2.72) с учётом (2.70) принимает вид

. (2.73)

Выражения (2.72) и (2.73) могут применяться для расчёта скорости истечения как с трением, так и без трения. В случае истечения без трения (изоэнтропное течение) отношение температур можно представить в виде отношения давлений по уравнению изоэнтропы

(2.74)

и для расчёта теоретической скорости в сопле из (2.73) получается формула

. (2.75)

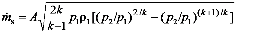
Теоретический массовый расход определяется по формуле

, (2.76)

где А - площадь проходного сечения на выходе из сопла.

Плотность в выходном сечении сопла определяется из уравнения изоэнтропы (в случае течения с трением это уравнение не справедливо)

. (2.77)

Если выражения для скорости (2.75) и для плотности (2.77) подставить в (2.76), то получим формулу для расчета теоретического массового расхода (кг/с)

. (2.78)

Отношение давления окружающей среды, в которую происходит истечение, к давлению в ресивере принято обозначать

(2.79)

и в функции от этой величины анализировать скорость и расход.

Опыт показывает, что по мере понижения давления в окружающей среде при постоянном давлении в ресивере (по мере уменьшения ) давление на выходе из сопла также понижается и равняется давлению в окружающей среде , одновременно растёт скорость истечения и расход газа (см. рисунок 16). Однако при достижении определённого соотношения между давлением в ресивере и окружающей среде расход и скорость истечения достигают максимального значения и при дальнейшем понижении параметры на выходе из сопла становятся постоянными (в этом случае говорят, что происходит «запирание сопла»).

Отношение давлений , при котором происходит запирание сопла, называется критическим. Критическое отношение давлений может быть определено, если исследовать уравнение расхода (2.78) на максимум,

. (2.80)

Для воздуха k = 1,40 и = 0,528.

При критическом истечении скорость на выходе из сопла становится равной местной скорости звука в потоке (т. е. скорости звука, определяемой параметрами газа в данном сечении сопла). Скорость звука зависит с температуры и определяется по формуле

. (2.81)

Если в (2.75) подставить (2.80), то получим выражение для расчёта критическое скорости истечения (для воздуха R = 287 Дж/(кг.К))

(2.82)

При критическом режиме истечения расход газа достигает максимума и остаётся постоянным, несмотря на дальнейшее понижение давления в окружающей среде,

. (2.83)

Для расчета действительной скорости истечения и действительного расхода надо знать коэффициенты скорости и расхода, которые определяются опытным путём и зависят от конструкции сопла и чистоты его поверхности.

Отношение действительной скорости истечения к теоретической называется коэффициентом скорости или скоростным коэффициентом

. (2.84)

Отношение действительного расхода к теоретическому называется коэффициентом расхода

(2.85)

Возникновение критического истечения можно пояснить так. Если считать давление неизменным, то уменьшение давления приводит к перераспределению давления вдоль сопла, при этом в выходном сечении устанавливается давление . Оно равно давлению до тех пор, пока скорость потока газа в выходном сечении не достигнет критического значения, т. е. не станет равной местной скорости звука. Дальнейшее уменьшение давления уже не будет сказываться на перераспределении давлений в сопле, т. к. внешние возмущения (изменения давления), распространяющиеся со скоростью звука относительно потока, не могут проникнуть внутрь сопла; таким образом давление в выходном сечении сопла остаётся неизменным, равным критическому .


1 – вакуумный насос; 2 – труба; 3 – мерная шайба; 4 – U-образный манометр; 5 – сопло; 6 и 7 – вакуумметры; 8 – вентиль; 9 – сеточка; 10 – барометр; 11 – термометр   Рисунок 17 – Схема установки для исследования истечения воздуха из сопла

Описание лабораторной установки. Установка (рисунок 17) состоит из вакуумного насоса 1 производительностью 20 л/с, трубы 2 диаметром 25 мм и длиной 1000 мм, мерной шайбы 3 и -образного манометра 4 для измерения действительного расхода воздуха через сопло, сопла 5 диаметром мм на выходе, вакуумметров 6 и 7, служащих для определения разрежения в выходном сечении сопла и в пространстве за соплом – окружающей среде. Разрежение в окружающей среде, а значит и в сопле, регулируется вентилем 8. Сеточка 9 предохраняет насос и сопло от попадания различных частиц. Для измерения параметров атмосферы служат барометр 10 и термометр 11.
Поскольку скорость воздуха в трубе перед соплом мала (менее 0,5 м/с), то значения параметров воздуха перед соплом близки значениям параметров атмосферного воздуха в лаборатории: .







Date: 2015-05-08; view: 1142; Нарушение авторских прав



mydocx.ru - 2015-2026 year. (2.889 sec.) Все материалы представленные на сайте исключительно с целью ознакомления читателями и не преследуют коммерческих целей или нарушение авторских прав - Пожаловаться на публикацию