Главная Случайная страница


Полезное:

Как сделать разговор полезным и приятным Как сделать объемную звезду своими руками Как сделать то, что делать не хочется? Как сделать погремушку Как сделать так чтобы женщины сами знакомились с вами Как сделать идею коммерческой Как сделать хорошую растяжку ног? Как сделать наш разум здоровым? Как сделать, чтобы люди обманывали меньше Вопрос 4. Как сделать так, чтобы вас уважали и ценили? Как сделать лучше себе и другим людям Как сделать свидание интересным?


Категории:

АрхитектураАстрономияБиологияГеографияГеологияИнформатикаИскусствоИсторияКулинарияКультураМаркетингМатематикаМедицинаМенеджментОхрана трудаПравоПроизводствоПсихологияРелигияСоциологияСпортТехникаФизикаФилософияХимияЭкологияЭкономикаЭлектроника






Порядок выполнения работы. 1Работу проводить только под руководством преподавателя или лаборанта





1Работу проводить только под руководством преподавателя или лаборанта. Ознакомиться с приборами и схемой лабораторной установки. Проверить по мерному стеклу наличие масла в насосе и в случае необходимое долить специальное масло для вакуумных насосов. Провернуть насос с помощью шкива вручную.

2 Закрыть вентиль 8 и включить насос (нельзя допускать пуск насоса при открытом вентиле, т. к. возможен выброс масла в атмосферу; с этой же целью установлен маслоуловитель на выхлопном патрубке насоса). Если насос сразу не пускается (в течение 1–2 с), то его следует отключить, а затем включить вновь.

3 Приоткрывая вентиль 8, последовательно понизить давление в участке трубы за соплом (в окружающей среде) до показаний вакуумметра 7 (разрежения) = 0,1; 0,2; 0,3; 0,4; 0,44; 0,48; 0,5; 0,6; 0,7; 0,8; 0,9 ат. Для каждого фиксированного значения из этого ряда записать показания вакуумметров 6 и 7 и дифманометра 4 (Н, мм вод. ст), а также термометра , оС и барометра , мм рт.ст.

4 Выключить вакуумный насос; вентиль оставить открытым для разгерметизации насоса и тем самым исключения попадания масла во всасывающую линию.

5 При обработке результатов измерений вычислить:

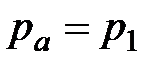
а) значения давлений и по формуле ;

б) отношение давлений ;

в) теоретическую скорость истечения по формуле (2.75) (при
< 0,528 принять = 0,528);

г) плотность воздуха на входе в сопло , кг/м 3;

д) плотность воздуха на выходе из сопла по формуле (2.77);

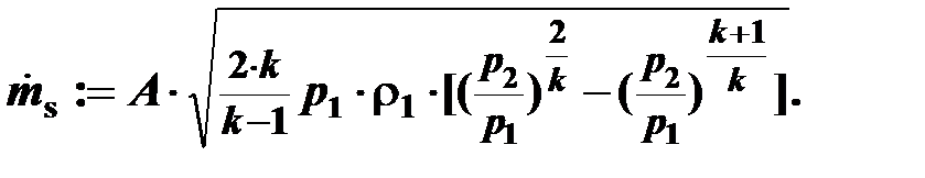
е) скорость звука в выходном сечении сопла , (где берётся в Паскалях: 1 ат = 0,981.10 5 Па); при критическом истечении скорость звука рассчитывается по формуле (2.82);

ж) теоретический массовый расход по формулам (2.78) – при
> 0,528 и (2.83 при критическом истечении;

  Рисунок 18 – Зависимость действительного массового расхода воздуха через сопло от перепада давления на диафрагме

и) действительный массовый расход по графику в зависимости от перепада Н на диафрагме (рисунок 18);

 

к) коэффициент расхода сопла по формуле (2.85).

6 Построить на миллиметровой бумаге графики зависимости давлений и , скорости потока , скорости звука , расхода от .

7 По графикам давлений определить и сравнить с теоретическим.

Обработку результатов эксперимента можно ускорить, если использовать компьютерную программу Mathcad. Ниже даётся алгоритм вычисления параметров истечения для первых четырёх точек опыта (остальные точки следует просчитать с использованием этой программы).

Исходные данные: :=748 мм рт. ст. :=748/735.6 =1.01686 ат.

(1 ат = 735.6 мм рт. ст.). R:=287 Дж/(кг.К). Т 1:=296 К. . = 1.1739 кг/м 3.

Записываем массив . Вычисляем давление . Вычисляем .


Записываем массив , Вычисляем давление .

 

 

Строим графики

и

.


Переводим давления в паскали:

р 1:=0.981.10 5. р 1, Па; р 2:=0.981.10 5. р 2 , Па (1 ат = 0,981. 10 5 Па).

Записываем расчётные формулы:

 

. .

 

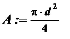
d:=0.0015 м. . А = 1.7672х10 – 6 м 2.

 

Вводим значения индекса i:= 0..12 (для 13 величин массива).

 

, .

Ниже приведены результаты расчёта в системе Mathcad теоретических значений плотности, скорости потока, скорости звука и массового расхода в сопле.


Опытные и расчётные данные занести в таблицу 10.

 

Таблица 10 – Опытные и расчётные данные параметров потока в сопле

 

, ат , ат , ат , ат , кг/м 3 , м/с , м/с . 104, кг/с H, мм вод.ст. . 104, кг/с
  1,017   1,017   1,174   344,9        
0,1 0,917 0,1 0,917 0,90 1,090 131,6 339,9 2,54   2,5 0,986
0,2   0,2   0,80              
0,3 0,717 0,3 0,717 0,70 0,915 237,8 328,1 3,84   3,7 0,963
0,4 0,617 0,42 0,597 0,61              
0,44                      
0,48                      
0,5                      
0,6                      
0,7                      
0,8                      
0,9                      
р а   0,48 0,537                

 


 

Отчёт о работе. Отчёт о работе должен содержать наименование и цель работы, схему лабораторной установки, таблицу и необходимые расчёты по формулам, графики на миллиметровой бумаге.

Контрольные вопросы

1. Уравнения энергии для хаотического, упорядоченного и абсолютного движения в дифференциальном и интегральном виде.

2. Уравнение Бернулли для сжимаемого и несжимаемого газа.

3. Как объясняется явление запирания сопла?

4. Критическое отношение давлений для воздуха.

5. Как рассчитать давление на выходе из сопла, если давление в ресивере 10 ат?

6. По каким формулам рассчитываются скорость и расход при истечении?

7. Как в работе определяется действительный расход?

8.Что такое коэффициенты скорости и расхода?








Date: 2015-05-08; view: 669; Нарушение авторских прав



mydocx.ru - 2015-2026 year. (0.307 sec.) Все материалы представленные на сайте исключительно с целью ознакомления читателями и не преследуют коммерческих целей или нарушение авторских прав - Пожаловаться на публикацию