Главная Случайная страница


Полезное:

Как сделать разговор полезным и приятным Как сделать объемную звезду своими руками Как сделать то, что делать не хочется? Как сделать погремушку Как сделать так чтобы женщины сами знакомились с вами Как сделать идею коммерческой Как сделать хорошую растяжку ног? Как сделать наш разум здоровым? Как сделать, чтобы люди обманывали меньше Вопрос 4. Как сделать так, чтобы вас уважали и ценили? Как сделать лучше себе и другим людям Как сделать свидание интересным?


Категории:

АрхитектураАстрономияБиологияГеографияГеологияИнформатикаИскусствоИсторияКулинарияКультураМаркетингМатематикаМедицинаМенеджментОхрана трудаПравоПроизводствоПсихологияРелигияСоциологияСпортТехникаФизикаФилософияХимияЭкологияЭкономикаЭлектроника






Методика практического применения первого закона термодинамики к процессу изобарного нагрева воздуха в сосуде





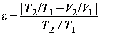
Уравнение первого закона термодинамики (2.37) для изобарного процесса (p = const), протекающего в конечном интервале изменения параметров, запишется в виде

. (2.38)

В процессе опыта измеряются начальные и конечные температуры (Т 1, Т 2) и объёмы (V 1, V 2), давление газа и рассчитывается масса газа . Затем все величины подставляются в (2.38) и отдельно подсчитываются левая и правая части этого уравнения, а затем значения левой и правой частей сравниваются между собой. При тщательно проведённом опыте и расчётах левая часть получается близкой правой части, что указывает на справедливость записи первого закона термодинамики в виде (2.38).

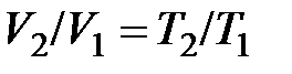
Для уменьшения числа величин и, соответственно, погрешности расчёта левой и правой частей уравнения (2.38) оно приводится к виду

. (2.39)

Справедливость уравнения (2.39) и, следовательно, уравнения (2.38) будет доказана, если погрешность опыта

100 (2.40)

(при отсутствии заклинивания поршенька и наличия капелек воды в сосуде) будет меньше предельной относительной погрешности, вычисляемой по формуле

, (2.41)

где абсолютные погрешности изменения объёмов и температур берутся равными половине цены наименьшего деления шкалы приборов.


Описание лабораторной установки. Установка состоит из цилиндра с подвижным поршнем (стеклянный шприц со стеклянным поршнем: металлический поршень будет заклиниваться при нагревании) 1, сосуда с водой 2, в нижней части которого установлен электронагреватель 3, отключающийся при замыкании контактного термометра 4 и срабатывании реле усилительного устройства 5, термометра 6 для измерения температуры воды и, следовательно, воздуха в шприце (рисунок 8).

Рисунок 8 – Установка для исследования изобарного процесса







Date: 2015-05-08; view: 719; Нарушение авторских прав



mydocx.ru - 2015-2026 year. (0.525 sec.) Все материалы представленные на сайте исключительно с целью ознакомления читателями и не преследуют коммерческих целей или нарушение авторских прав - Пожаловаться на публикацию