Главная Случайная страница


Полезное:

Как сделать разговор полезным и приятным Как сделать объемную звезду своими руками Как сделать то, что делать не хочется? Как сделать погремушку Как сделать так чтобы женщины сами знакомились с вами Как сделать идею коммерческой Как сделать хорошую растяжку ног? Как сделать наш разум здоровым? Как сделать, чтобы люди обманывали меньше Вопрос 4. Как сделать так, чтобы вас уважали и ценили? Как сделать лучше себе и другим людям Как сделать свидание интересным?


Категории:

АрхитектураАстрономияБиологияГеографияГеологияИнформатикаИскусствоИсторияКулинарияКультураМаркетингМатематикаМедицинаМенеджментОхрана трудаПравоПроизводствоПсихологияРелигияСоциологияСпортТехникаФизикаФилософияХимияЭкологияЭкономикаЭлектроника






Биполярный транзистор как четырехполюсник, h-параметры. Графическое определение h -параметров





Для транзистора как четырехполюсника характерны два значения тока I1 и I2 и два значения напряжения U1 и U2

В зависимости от того, какие из этих параметров выбраны в качестве входных, а какие в качестве выходных, можно построить три системы формальных параметров транзистора как четырехполюсника. Это системы z-параметров, y-параметров и h-параметров.

Рис. 5.24. Эквивалентная схема четырехполюсника:
а) биполярный транзистор в схеме с общей базой; б) биполярный транзистор в схеме с общим эмиттером

Система h-параметров

Система h-параметров используется как комбинированная система из двух предыдущих, причем из соображений удобства измерения параметров биполярного транзистора выбирается режим короткого замыкания на выходе (U2 = 0) и режим холостого хода на входе (I1 = 0). Поэтому для системы h-параметров в качестве входных параметров задаются ток I1 и напряжение U2, а в качестве выходных параметров рассчитываются ток I2 и напряжение U1, при этом система, описывающая связь входных I1, U2 и выходных I2, U1 параметров, выглядит следующим образом:

Значения коэффициентов в уравнении для h-параметров имеют следующий вид:

- входное сопротивление при коротком замыкании на выходе;

- выходная проводимость при холостом ходе во входной цепи;

- коэффициент обратной связи при холостом ходе во входной цепи;

- коэффициент передачи тока при коротком замыкании на выходе.

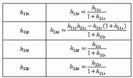
В таблице 2 приведены эти связи, позволяющие рассчитывать h-параметры для схемы включения с общей базой, если известны эти параметры для схемы с общим эмиттером.

Таблица 2. Связи между h параметрами

Для определения h-параметры необходимо задать рабочую точку, например А (IбА, UкэА), в которой требуется найти параметры.

Параметры h11э и h12э находят по входной характеристики Uбэ1(Iб)|Uкэ=const.

Определим h11э для заданной рабочей точки А (IбА, UкэА). На входной характеристике находим точку А, соответствующую заданной рабочей точке (рис.1.8). Выбираем вблизи рабочей точки А две вспомогательные точки А1 и А2 (приблизительно на одинаковом расстоянии), определим по ними DUбэ и DIб и рассчитаем входное дифференциальное сопротивление, по формуле:

h11э=(DUбэ /DIб)|Uкэ=const.

Приращения DUбэ и DIб выбирают так, чтобы не выходить за пределы линейного участка, их можно примерно принять за (10-20)% от значений рабочей точки.

Графическое определение параметра h12э = DUбэ /DUкэ затруднено, так как семейство входных характеристик при различных DUкэ>0 практически сливается в одну (рис.1.8.).

Параметры h22э и h21э определяются из семейства выходных характеристик транзистора Iк1 (Uкэ) (рис.1.9).

Параметр h21э= (DIк /DIб) |Uкэ=const находится в заданной рабочей точке А (IбА, UкэА). Для нахождения приращений выбирают две вспомогательные точки А1 и А2 вблизи рабочей точки А при постоянном Uкэ =Uкэ0. Приращение тока базы DIб следует брать, как DIб=Iб2 – Iб1, где Iб2 и Iб1 определены как токи базы в точках А2 и А1. Этому приращению DIбсоответствуетприращение коллекторного тока DIк = Iк2 – Iк1, где Iк2 и Iк1.определены в точках точках А2 и А1. Тогда дифференциальный коэффициент передачи тока базы рассчитаем по формуле h21э= (DIк /DIб))|Uкэ=const.

Параметр h22э=(DIк/DUкэIб=const определяется по наклону выходной характеристики (рис.1.9) в заданной рабочей точке А (IбА, UкэА), при постоянном токе базы Iб. Для нахождения приращений выбирают две вспомогательные точки точки А*1 и А*2. Для этих точек определяют DU*кэ|= IбА =Uк2 – Uк1 – приращение коллекторного напряжения, и приращение коллекторного тока DI*к=I*к2 – I*к1. При этом из семейства выходных характеристик следует выбирать ту характеристику, которая снята при выбранном значение тока базы Iб=IбА.

Если рабочая точка не совпадает ни с одной траекторией приведенной на графике, то такую траекторию надо провести самостоятельно, между и по аналогии с соседними значения тока базы которых известно, и присвоить ей свое значение тока базы равное IбА.







Date: 2015-05-05; view: 2842; Нарушение авторских прав



mydocx.ru - 2015-2026 year. (1.929 sec.) Все материалы представленные на сайте исключительно с целью ознакомления читателями и не преследуют коммерческих целей или нарушение авторских прав - Пожаловаться на публикацию