Главная Случайная страница


Полезное:

Как сделать разговор полезным и приятным Как сделать объемную звезду своими руками Как сделать то, что делать не хочется? Как сделать погремушку Как сделать так чтобы женщины сами знакомились с вами Как сделать идею коммерческой Как сделать хорошую растяжку ног? Как сделать наш разум здоровым? Как сделать, чтобы люди обманывали меньше Вопрос 4. Как сделать так, чтобы вас уважали и ценили? Как сделать лучше себе и другим людям Как сделать свидание интересным?


Категории:

АрхитектураАстрономияБиологияГеографияГеологияИнформатикаИскусствоИсторияКулинарияКультураМаркетингМатематикаМедицинаМенеджментОхрана трудаПравоПроизводствоПсихологияРелигияСоциологияСпортТехникаФизикаФилософияХимияЭкологияЭкономикаЭлектроника






Производные элементарных функций





 

В данной таблице приведены производные основных элементарных функций и правила дифференцирования, которые нужно очень хорошо выучить, чтобы применять к решению примеров:

 

 

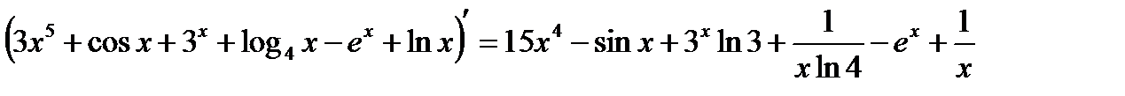
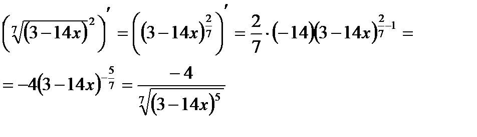
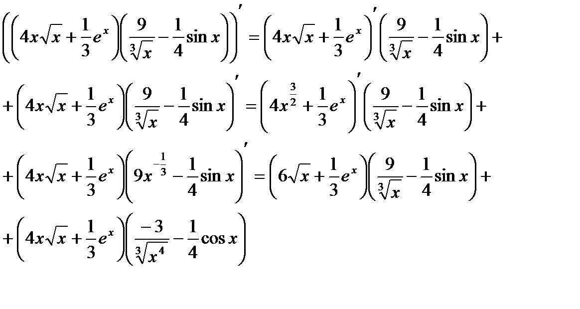
Например:

Найдите производную данной функции:

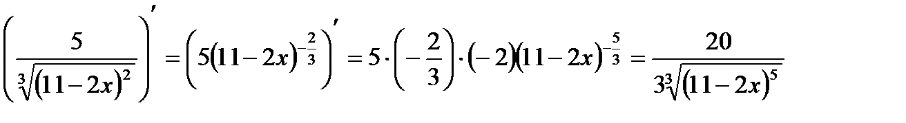
1)

 

2)

 

3)

 

4)

 

5)

 

6)

7)

 

8)

 

 

Элементы исследования функции с помощью производной

 

Производные применяют для исследования графиков функций:

устанавливают промежутки монотонности; точки экстремума; наибольшее и наименьшее значения функции на отрезке.

Функцией называется правило f, по которому каждому элементу х множества Х ставится в соответствие единственный элемент у множества У.

 

План исследования функций:

 

1. Область определения

2. Множество значений

3. Четность, не четность

4. Непрерывность

5. Нули функции

6. Промежутки знакопостоянства

7. Промежутки монотонности

8. Критические точки

9. Точки экстремума

10. Экстремум функции

11. Наибольшее и наименьшее значение функции

 

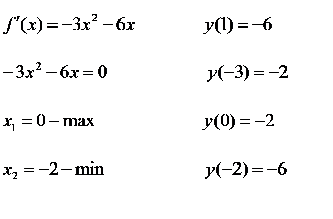
Чтобы исследовать функцию полезно найти её производную и приравнять её к нулю. Тем самым найдём стационарные точки. Затем исследуем промежутки в окрестности стационарных точек:

если производная положительна, то функция возрастает;

если производная отрицательна, то функция убывает.

Стационарные точки становятся точками экстремума, если производная меняет знак: с «+» на «-» точка max; с «-» на «+» точка min

 

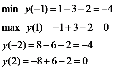
Например:

 

 

Используя эту подготовительную работу можно строить график.

Необходимо ещё найти значение функции в стационарных точках, и добавить дополнительные точки для более точного построения.

 

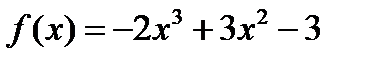
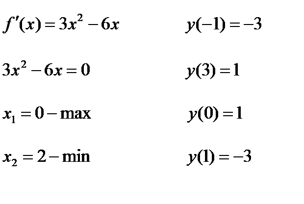
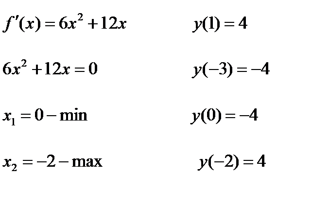
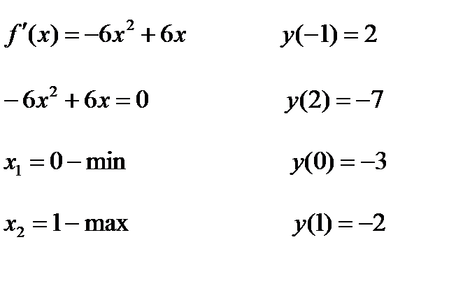
ПРИМЕР 1

 

 

 

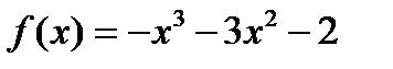
ПРИМЕР 2


 

 

ПРИМЕР 3

 

ПРИМЕР 4

 

 

 



Контрольные вопросы и задания для самостоятельного решения по разделу 8

 

Ответьте на вопросы:

 

1) Как найти производную степенной функции?

2) Как найти стационарные точки?

3) Что такое точки экстремума?

4) Как найти промежутки монотонности функции?

 

Решите упражнения:

 

№ 1 Найти производную функции: № 2 Постройте график функции:

 

1) 1)

 

2) 2)

 

3) 3)

 

4) 4)

 

5) 5)

 

6) 6)

 

Проверьте своё решение:

 

Ответы:

 

№ 1

1) 2)

 

3) 4)

 

5) 6)

 

№ 2

 


1)

 

2)

 

3)

 

4)

 

5)

 

6)


 









Date: 2015-06-08; view: 1004; Нарушение авторских прав



mydocx.ru - 2015-2026 year. (0.301 sec.) Все материалы представленные на сайте исключительно с целью ознакомления читателями и не преследуют коммерческих целей или нарушение авторских прав - Пожаловаться на публикацию