Главная Случайная страница


Полезное:

Как сделать разговор полезным и приятным Как сделать объемную звезду своими руками Как сделать то, что делать не хочется? Как сделать погремушку Как сделать так чтобы женщины сами знакомились с вами Как сделать идею коммерческой Как сделать хорошую растяжку ног? Как сделать наш разум здоровым? Как сделать, чтобы люди обманывали меньше Вопрос 4. Как сделать так, чтобы вас уважали и ценили? Как сделать лучше себе и другим людям Как сделать свидание интересным?


Категории:

АрхитектураАстрономияБиологияГеографияГеологияИнформатикаИскусствоИсторияКулинарияКультураМаркетингМатематикаМедицинаМенеджментОхрана трудаПравоПроизводствоПсихологияРелигияСоциологияСпортТехникаФизикаФилософияХимияЭкологияЭкономикаЭлектроника






Уравнения и методы их решения





 

Основные понятия:

 

 

Одним из важнейших умений в математике – это умение решать квадратные уравнения.

 

 

 

 

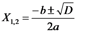
Алгоритм решения квадратного уравнения по формуле корней:

 

1) Найти число, называемое дискриминантом квадратного уравнения

и равное D = b²- 4ac.

 

2) Дискриминант показывает сколько корней имеет уравнение

 

I. если D<0, то данное квадратное уравнение не имеет корней;

II. если D=0, то данное квадратное уравнение имеет единственный корень, который равен

 

III. если D>0, то данное квадратное уравнение имеет два корня, которые равны

 

 

Например:

 

 

Умение удачно ввести новую переменную – облегчает решение:

 

 

Дробно-рациональные уравнения

 

Как ясно из названия, в этих уравнениях обязательно присутствуют дроби. Но не просто дроби, а дроби, у которых есть неизвестное в знаменателе.

ОДЗ – (Область Допустимых Значений).

Это те значения икса, которые могут быть в принципе. Т.к. делить на ноль нельзя, знаменатели в дробно-рациональных уравнениях не должны равняться нулю. Перед решением внимательно исследуйте пример и определите ОДЗ. Все найденные в процессе решения корни нужно проверять: не обратят ли они какой-либо из знаменателей в ноль (такой корень будет посторонним и в окончательный ответ не попадёт).

 

 

 



Контрольные вопросы и задания для самостоятельного решения по разделу 4

 

Ответьте на вопросы:

 

1) Какое уравнение называется квадратным?

2) Что такое дискриминант?

3) Как решать биквадратное уравнение?

4) Какое уравнение называется дробно-рациональным?

5) Что такое ОДЗ?

 

Решите упражнения:

№ 1

1) 2)

3) 4)

5) 6)

№ 2

1) 2)

3) 4)

5) 6)

№ 3

1) 2)

3) 4)

5) 1) 6)

7) 8)

 

 

Проверьте своё решение:

 

№ 1

 

1) 7 2) 1 3) 3

 

4) - 2 5) 4 6) - 2

 

 

№ 2

 

1) 2 2) 1; 0 3) 1

 

4) 2; 1 5) 1 6) 1

 

 

№3

 

1) 2 2) 1 3) - 2; 5 4) 1

 

5) - 1; 3 6) - 5 7) 2 8) - 1; 6

 









Date: 2015-06-08; view: 730; Нарушение авторских прав



mydocx.ru - 2015-2026 year. (0.472 sec.) Все материалы представленные на сайте исключительно с целью ознакомления читателями и не преследуют коммерческих целей или нарушение авторских прав - Пожаловаться на публикацию