Главная Случайная страница


Полезное:

Как сделать разговор полезным и приятным Как сделать объемную звезду своими руками Как сделать то, что делать не хочется? Как сделать погремушку Как сделать так чтобы женщины сами знакомились с вами Как сделать идею коммерческой Как сделать хорошую растяжку ног? Как сделать наш разум здоровым? Как сделать, чтобы люди обманывали меньше Вопрос 4. Как сделать так, чтобы вас уважали и ценили? Как сделать лучше себе и другим людям Как сделать свидание интересным?


Категории:

АрхитектураАстрономияБиологияГеографияГеологияИнформатикаИскусствоИсторияКулинарияКультураМаркетингМатематикаМедицинаМенеджментОхрана трудаПравоПроизводствоПсихологияРелигияСоциологияСпортТехникаФизикаФилософияХимияЭкологияЭкономикаЭлектроника






Логарифмы





I Логарифмические уравнения

 

Что такое логарифмическое уравнение?

Это уравнение, в котором неизвестные (иксы) и выражения с ними находятся внутри логарифмов.

Например:

log2х = 32

log3х = log39

log32-3) = log3(2х)

logх+12+3х-7) = 2

lg2(x+1)+10 = 11lg(x+1)

 

А что же такое логарифм?

 

 

 

Т.е. logab = c

 

(а - это основание, которое нужно возвести в степень с, чтобы получить b).

 

Любое число можно представить в форме логарифма:

 

 

 

т.е.

 

 

Чтобы решать уравнения, нужно знать свойства логарифмов:

 

 

 

Эти формулы верны безо всяких оговорок для положительных чисел. Но в уравнениях используются неизвестные, на которые накладывается ограничение:

подлогарифмическое выражение больше нуля, а основание логарифма и больше нуля и не равно единице!

 

logab = c

 

 

ОДЗ: b > 0, a > 0, a ≠ 1.!

 

В логарифмических уравнениях все найденные корни обязательно нужно проверять через ОДЗ!

 

 

Как решать логарифмические уравнения?

 

Процесс решения любого логарифмического уравнения заключается в переходе от уравнения с логарифмами к уравнению без них.

Например:

log3х = log39 ОДЗ: х > 0

х = 9

Ликвидировать логарифмы (потенцировать) безо всяких опасений можно, если у них:

 

а) одинаковые числовые основания

в) логарифмы слева и справа чистые (безо всяких коэффициентов) и находятся в гордом одиночестве.

 

Например: в уравнении log3х = 2log3(3х-1)

убирать логарифмы нельзя. Двойка справа не позволяет.

 

В примере log3х+log3(х+1) = log3(3+х)

тоже нельзя потенцировать уравнение. В левой части нет одинокого логарифма. Их там два.

Убирать логарифмы можно, если уравнение выглядит так и только так:

 

logа(.....) = logа(.....)

 

В скобках, где многоточие, могут быть какие угодно выражения. Простые, суперсложные, всякие. Какие угодно. Важно то, что после ликвидации логарифмов у нас остаётся более простое уравнение.

Примеры:

1) log7(2х-3) = log7х ОДЗ:

2х-3 = х 2х – х = 3 х=3 (Ответ)

2) log7(50х-1) = 2 ОДЗ:

log7(50х-1) = log772

50х-1 = 49 х = 1(Ответ)

3) 4)

 

5)

 

Ответ:

II Логарифмические неравенства.

 

 

 

 

 

 

 



Контрольные вопросы и задания для самостоятельного решения по разделу 5

 

Ответьте на вопросы:

 

1) Что такое логарифм?

2) Что такое ОДЗ для логарифмической функции?

3) Назовите свойства логарифмов.

 

Решите упражнения:

№ 1. Решите уравнения:

1) 2)

3) 4)

5) 6)

 

№ 2.

Решите неравенства:

1) 2)

3) 4)

5) 6)

Проверьте своё решение:

Ответы:

№ 1.

1) 3 2) 4 3) - 4

 

4) 4 5) 3 6) 6

 

№ 2.

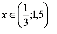
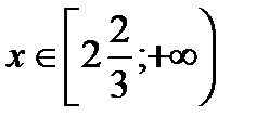
1) 2)

3) 4)

5) 6)

7) 8)

9) 10)

11) 12)

13) 14)

15) 16)

 

 









Date: 2015-06-08; view: 1789; Нарушение авторских прав



mydocx.ru - 2015-2026 year. (1.822 sec.) Все материалы представленные на сайте исключительно с целью ознакомления читателями и не преследуют коммерческих целей или нарушение авторских прав - Пожаловаться на публикацию