Главная Случайная страница


Полезное:

Как сделать разговор полезным и приятным Как сделать объемную звезду своими руками Как сделать то, что делать не хочется? Как сделать погремушку Как сделать так чтобы женщины сами знакомились с вами Как сделать идею коммерческой Как сделать хорошую растяжку ног? Как сделать наш разум здоровым? Как сделать, чтобы люди обманывали меньше Вопрос 4. Как сделать так, чтобы вас уважали и ценили? Как сделать лучше себе и другим людям Как сделать свидание интересным?


Категории:

АрхитектураАстрономияБиологияГеографияГеологияИнформатикаИскусствоИсторияКулинарияКультураМаркетингМатематикаМедицинаМенеджментОхрана трудаПравоПроизводствоПсихологияРелигияСоциологияСпортТехникаФизикаФилософияХимияЭкологияЭкономикаЭлектроника






Основные теоретические положения. Методические указания





Методические указания

к выполнению лабораторной работы № 107

 

«Изучение свойств электромагнитной волны»

 

Мариуполь, 2011

УДК 532

 

МЕТОДИЧЕСКИЕ УКАЗАНИЯ К ВЫПОЛНЕНИЮ ЛАБОРАТОРНОЙ РАБОТЫ №107 «ИЗУЧЕНИЕ СВОЙСТВ ЭЛЕКТРОМАГНИТНОЙ ВОЛНЫ».-Сост. Цветкова Е.В.,-ПГТУ.-2011.-12с.

 

Содержат краткие сведения по теории электромагнитных волн и их свойствам. А также методику экспериментального определения фокусного расстояния собирающей линзы, плоскости поляризации электромагнитной волны и определения длины волны по исследованию стоячей волны, полученной в результате отражения от металлического зеркала.

 

Составитель доц. Цветкова Е.В.

 

Рецензент сп-т Усенко А.И.

 

 

УТВЕРЖДЕНО

На заседании кафедры физики

 

Протокол № 7 от 19 января 2011г.

 

Цель: ознакомиться с явлениями интерференции и поляризации волн, измерить длину волны на примере стоячих волн, определить плоскость поляризации плоской электромагнитной волны.

 

При подготовке к работе необходимо:

а) проработать данные методические указания;

б) неясные теоретические вопросы разобрать по рекомендуемым учебным пособиям

в) ответить на контрольные вопросы.

 

ОСНОВНЫЕ ТЕОРЕТИЧЕСКИЕ ПОЛОЖЕНИЯ

 

1. Общие представления об электромагнитных волнах.

 

Электромагнитная волна - это процесс распространения электро­магнитного поля в пространстве. Электромагнитное поле представ­ляет собой совокупность электрического и магнитного полей, связанных между собой.

Математически электромагнитное поле описывается четырьмя основными уравнениями Максвелла, записанными в векторном виде.

(1) (2) (3) (4)

где - вектор напряженности электрического поля;

- вектор напряженности магнитного поля;

ε 0, µ0- соответственно электрическая и магнитная постоянная;

ε и µ - соответственно диэлектрическая и магнитная проницае­мость среды;

ρ - объемная плотность электрических зарядов;

-вектор плотности макроскопических токов;

Уравнение (1) указывает на то, что электрическое поле создается сво­бодными зарядами, уравнение (2) - электрическое поле создается так­же переменным магнитным полем; уравнение (3) указывает на отсутст­вие в природе магнитных зарядов, а уравнение (4) говорит о том, что магнитное поле может быть образовано макроскопическими токами или переменным магнитным полем.

Из уравнений (2) и (4) с учетом уравнений (1) и (3) математи­чески можно получить уравнения (5) и (6):

; (5)

. (6) [1]

Получены типичные волновые уравнения, описывающие распространение электрического и магнитного полей в пространстве. В этих уравнениях коэффициент перед второй производной по времени является обратной фазовой скоростью волны в квадрате: и как видно, она зависит только от электрических и магнитных свойств среды. Принимая в вакууме (равно, как и в воздухе) ε и μ = 1 получим скорость света в вакууме

м/с.

Для электромагнитной волны, распространяющейся вдоль направления x (случай плоско-поляризованной электромагнитной волны), уравнения (5) и (6) запишутся так:

; (7)

 

 

. (8)

 

Следует отметить, что данная пара уравнений составляет единое целое - дифференциальное уравнение электромагнитной волны, т.к. получены путем взаимной подстановки.

Из записанных уравнений можно обнаружить, что векторы и не имеют составляю­щих вдоль оси х, т.е. электрическое и магнитное поля изменяют­ся в направлениях, перпендикулярных направлению скорости волны. Это указывает на то, что электромагнитные волны являются поперечными.

Решение дифференциальных уравнений (7) и (8) имеет вид:

 

, (9,10)

где Em и Hm - амплитудные (максимальные) значения векторов и ; ω - циклическая частота колебаний поля; α - начальная фаза, k - волновое число (k =2π/ λ); λ - длина волны.

 

На рис. 1 приведены мгновенные значения электрического и маг­нитного полей в плоской электромагнитной волне, распространяющей­ся вдоль оси X. Важно отметить, что векторы и взаимно пер­пендикулярны и колеблются в одинаковых фазах.

 

Рис. 1. Плоская электромагнитная волна.

 

2. Свойства электромагнитных волн.

Для электромагнитных волн, как и для любых волн, характерны следующие особенности:

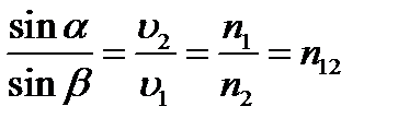
1) отражение и преломление на границе раздела двух сред с выполнением известных из оптики законов отражения и преломления (рис. 2). В этих законах устанавливается зависимость между падающей волной, отраженной и прелом­ленной:


а) угол отражения волны равен углу падения (α12);

б) отношение синуса угла па­дения α волны к синусу угла преломления β равно отноше­нию скоростей распространения волн в первой и второй средах или относительному показателю преломления .

2) интерференция волн - наложение когерентных волн, в резуль­тате которого в одних местах волны усиливают друг друга, а в дру­гих - ослабляют. Когерентные волны - это волны, разность фаз кото­рых не изменяется с течением времени.

В данной работе интерференция изучается на примере стоячей волны, которая образуется в результате наложения прямой и отражен­ной от другой среды волн. Для стоячей волны характерна различная амплитуда колебаний векторов электрического и магнитного полей (в зависимости от расстояния от источника до отражающей среды).

Места с амплитудой, равной нулю, называют узлами (У), а с максимальной амплитудой - пучностями (П). Распределение амплитуд колебаний в стоячей волне приведено на рис. 3.

Стоячими волны называют по причине того, что такие волны энергию вдоль оси х не переносят.

 

Как видно из рис. 3, расстояние между двумя узлами или пучностями равно половине длины вол­ны, а расстояние между узлом и пучностью - чет­верть длины волны.

3) дифракция волн - явление огибания волнами препятствий (отклонения волн от прямолинейного распространения). Дифракционная картина определяется интерференцией дифрагированных волн;

4) поляризация волн - явление, характерное только для попереч­ных волн. Как показано ранее, электромагнитные волны поперечны. По­ляризация связана с установлением определенных закономерностей в плоскости колебаний векторов напряженности электрического и магнит­ного полей.

На рис.4 приведены примеры поляризованных волн. Здесь волна распространяется в направлении, перпендикулярном плоскости ри­сунка. Для упрощения показан только вектор напряженности электрического поля.

 







Date: 2015-05-04; view: 540; Нарушение авторских прав



mydocx.ru - 2015-2026 year. (0.303 sec.) Все материалы представленные на сайте исключительно с целью ознакомления читателями и не преследуют коммерческих целей или нарушение авторских прав - Пожаловаться на публикацию