Главная Случайная страница


Полезное:

Как сделать разговор полезным и приятным Как сделать объемную звезду своими руками Как сделать то, что делать не хочется? Как сделать погремушку Как сделать так чтобы женщины сами знакомились с вами Как сделать идею коммерческой Как сделать хорошую растяжку ног? Как сделать наш разум здоровым? Как сделать, чтобы люди обманывали меньше Вопрос 4. Как сделать так, чтобы вас уважали и ценили? Как сделать лучше себе и другим людям Как сделать свидание интересным?


Категории:

АрхитектураАстрономияБиологияГеографияГеологияИнформатикаИскусствоИсторияКулинарияКультураМаркетингМатематикаМедицинаМенеджментОхрана трудаПравоПроизводствоПсихологияРелигияСоциологияСпортТехникаФизикаФилософияХимияЭкологияЭкономикаЭлектроника






Определение количества транспортных средств





При строительстве линейной части магистральных трубопроводов приходится выполнять большой комплекс транспортных работ, связанных с перевозкой отдельных труб и секций, запорной арматуры и других строительных материалов; при этом значительная часть этих работ приходится на доставку отдельных труб и секций на трубосварочные базы и на трассу.

Необходимое число трубовозов можно определить следующим образом:

Тр – время затрачиваемое на 1 рейс,SГР - длина пути груженого трубовоза; SПОР — длина пути порожнего трубовоза; υСР.ГР- средняя скорость груженого трубовоза; υСР.ПОР - средняя скорость порожнего трубовоза; tn,tВ- время, затрачиваемое соответственно на погрузку и выгрузку; кПР - коэффициент, учитывающий возможные простои(1,2-1,3).

Число рейсов одного трубовоза в сутки

Тсут - часы работы трубовоза в сутки.

Общее число необходимых рейсов для перевозкисреднего числа поступающих в сутки труб

Qcp - среднее число труб (плетей), поступающих на железнодорожную станцию (на трассу); qp число труб (плетей), перевозимых трубовозом (плетевозом) за один рейс.

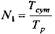
Необходимое число трубовозов (плетевозов)







Date: 2015-06-07; view: 798; Нарушение авторских прав



mydocx.ru - 2015-2026 year. (0.618 sec.) Все материалы представленные на сайте исключительно с целью ознакомления читателями и не преследуют коммерческих целей или нарушение авторских прав - Пожаловаться на публикацию