Главная Случайная страница


Полезное:

Как сделать разговор полезным и приятным Как сделать объемную звезду своими руками Как сделать то, что делать не хочется? Как сделать погремушку Как сделать так чтобы женщины сами знакомились с вами Как сделать идею коммерческой Как сделать хорошую растяжку ног? Как сделать наш разум здоровым? Как сделать, чтобы люди обманывали меньше Вопрос 4. Как сделать так, чтобы вас уважали и ценили? Как сделать лучше себе и другим людям Как сделать свидание интересным?


Категории:

АрхитектураАстрономияБиологияГеографияГеологияИнформатикаИскусствоИсторияКулинарияКультураМаркетингМатематикаМедицинаМенеджментОхрана трудаПравоПроизводствоПсихологияРелигияСоциологияСпортТехникаФизикаФилософияХимияЭкологияЭкономикаЭлектроника






Применение закона сохранения к абсолютно упругому и абсолютно не упругому ударам





Абсолютно упругий удар шаров

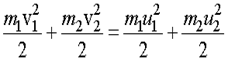
Абсолютно упругим ударом называется такой удар, при котором тела разлетаются, не меняя своего строения и формы. Запишем закон сохранения импульса для абсолютно упругого удара m1v1+m2v2=m1u1+m2u2, где v1 и v2 - скорости тел до удара, u1 и u2 - скорости тел после удара. Закон сохранения энергии для абсолютно упругого удара шаров запишется в следующем виде.

В этом случае кинетическая энергия системы до удара равна кинетической энергии системы после удара.

Решая совместно два уравнения, получим скорости шаров после удара.
Абсолютно неупругий удар шаров

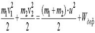
Абсолютно неупругим ударом называется такой удар, после которого тела меняют свою форму и движутся как единое целое с одинаковой скоростью или покоятся. Запишем закон сохранения импульса для абсолютно неупругого удара m1v1+m2v2=(m1+m2)u, где v1 и v2 - скорости тел до удара, u - общая скорость после удара.

Запишем закон сохранения энергии в общем форме для абсолютно неупругого удара шаров,

где Wдеф - энергия деформации.

В этом случае сохраняется полная энергия системы, включая энергию деформации.







Date: 2015-05-04; view: 3562; Нарушение авторских прав



mydocx.ru - 2015-2026 year. (0.593 sec.) Все материалы представленные на сайте исключительно с целью ознакомления читателями и не преследуют коммерческих целей или нарушение авторских прав - Пожаловаться на публикацию