Главная Случайная страница


Полезное:

Как сделать разговор полезным и приятным Как сделать объемную звезду своими руками Как сделать то, что делать не хочется? Как сделать погремушку Как сделать так чтобы женщины сами знакомились с вами Как сделать идею коммерческой Как сделать хорошую растяжку ног? Как сделать наш разум здоровым? Как сделать, чтобы люди обманывали меньше Вопрос 4. Как сделать так, чтобы вас уважали и ценили? Как сделать лучше себе и другим людям Как сделать свидание интересным?


Категории:

АрхитектураАстрономияБиологияГеографияГеологияИнформатикаИскусствоИсторияКулинарияКультураМаркетингМатематикаМедицинаМенеджментОхрана трудаПравоПроизводствоПсихологияРелигияСоциологияСпортТехникаФизикаФилософияХимияЭкологияЭкономикаЭлектроника






Капиллярные явления





Если поместить узкую трубку (капилляр) одним концом в жидкость, налитую в ши­рокий сосуд, то вследствие смачивания или несмачивания жидкостью стенок ка­пилляра кривизна поверхности жидкости в капилляре становится значительной.

где r — плотность жидкости, g — ускоре­ние свободного падения.

Если m радиус капилляра, q — крае­вой угол, то из рис. 101 следует, что ,
откуда


В соответствии с тем, что смачиваю­щая жидкость по капилляру поднимается, а несмачивающая — опускается,

 

В тонких капиллярах жидкость под­нимается достаточно высоко. Так, при полном смачивании ( = 0) вода (r=1000 кг/м3, s=0,073 Н/м) в капилляре диаметром 10 мкм поднимается на высоту h»3 м.

Капиллярные явления играют боль­шую роль в природе и технике. Например, влагообмен в почве и в растениях осуще­ствляется за счет поднятия воды по тон­чайшим капиллярам. На капиллярности основано действие фитилей, впитывание влаги бетоном и т. д.


15.
Динамика жидкостей и газов.


Уравнения неразрывности и уравнение Бернулли. Истечение жидкости из отверстия. Формула Торричелли.

 

S1v1 = S2v2=const



 


Уравнение Бернулли.

 

 

 

 


E2-E1=A A = F1 l 1+F2l2

F1=p1S1 и f2=-р2S2

 

 

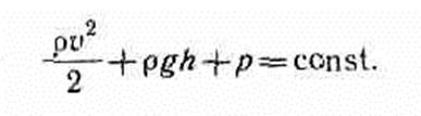
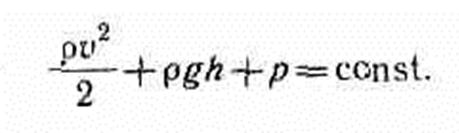
р -статическое давление (давление жидкости на поверхность обтекаемого ею тела), величина rv2/2 — динамическим давление, величина r gh представляет со­бой гидростатическое давление.

Для горизонтальной трубки тока (h 1= h 2) выражение (30.6) принимает вид

где р +rv2/2 называется полным давле­нием.

.

 







Date: 2015-05-04; view: 723; Нарушение авторских прав



mydocx.ru - 2015-2026 year. (1.614 sec.) Все материалы представленные на сайте исключительно с целью ознакомления читателями и не преследуют коммерческих целей или нарушение авторских прав - Пожаловаться на публикацию