Главная Случайная страница


Полезное:

Как сделать разговор полезным и приятным Как сделать объемную звезду своими руками Как сделать то, что делать не хочется? Как сделать погремушку Как сделать так чтобы женщины сами знакомились с вами Как сделать идею коммерческой Как сделать хорошую растяжку ног? Как сделать наш разум здоровым? Как сделать, чтобы люди обманывали меньше Вопрос 4. Как сделать так, чтобы вас уважали и ценили? Как сделать лучше себе и другим людям Как сделать свидание интересным?


Категории:

АрхитектураАстрономияБиологияГеографияГеологияИнформатикаИскусствоИсторияКулинарияКультураМаркетингМатематикаМедицинаМенеджментОхрана трудаПравоПроизводствоПсихологияРелигияСоциологияСпортТехникаФизикаФилософияХимияЭкологияЭкономикаЭлектроника






Определение экономической эффективности инвестиционных расходов





Метод расчѐта чистого приведѐнного эффекта.

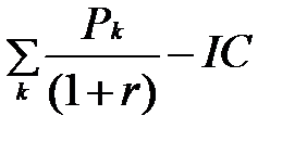
Этот метод основан на сопоставлении величины исходной инвестиции (IC) с общей суммой дисконтирования чистых денежных поступлений, генерируемых ею в течение прогнозируемого срока. Поскольку приток денежных средств распределѐн во времени, он дисконтируется с помощью ставки r.

Чистый приведѐнный эффект (Next Present Value, NPV) рассчитывается по формуле:

NPV = , (9.7),

где РК – сумма дисконтированных чистых денежных поступлений, генерируемых проектом в течение прогнозируемого периода (ежегодная прибыль АТП (табл. 6.4, строка 10);

IC – величина капитальных вложений, руб;

r – ставка дисконтирования;

k – срок существования проекта, лет.

Очевидно, что если NPV >0, то проект является прибыльным;

NPV <0, то проект является убыточным;

NPV =0, то проект ни прибыльный ни убыточный.

В случае NPV=0 проект может иметь дополнительный аргумент: его реализация приведѐт к возрастанию объѐмов производства и увеличению масштабов организации в целом.

Показатели будущих периодов формируются в соответствии со сценарными условиями. Сценарные условия, формирующие доходную часть проекта:

- Ежегодный рост доходов составляет 6 %;

- Для оценки эффективности инвестиционного проекта тариф учитываются без НДС;

- Период существования проекта принимается равным сроку полезного использования основных средств (периоду амортизации).

Сценарные условия, формирующие расходную часть проекта:

- Ежегодный рост затрат составляет 6%;

- Амортизация начисляется линейным методом.

Все расчеты сводятся в таблицу 9.4.

 







Date: 2015-09-22; view: 601; Нарушение авторских прав



mydocx.ru - 2015-2026 year. (0.635 sec.) Все материалы представленные на сайте исключительно с целью ознакомления читателями и не преследуют коммерческих целей или нарушение авторских прав - Пожаловаться на публикацию