Главная Случайная страница


Полезное:

Как сделать разговор полезным и приятным Как сделать объемную звезду своими руками Как сделать то, что делать не хочется? Как сделать погремушку Как сделать так чтобы женщины сами знакомились с вами Как сделать идею коммерческой Как сделать хорошую растяжку ног? Как сделать наш разум здоровым? Как сделать, чтобы люди обманывали меньше Вопрос 4. Как сделать так, чтобы вас уважали и ценили? Как сделать лучше себе и другим людям Как сделать свидание интересным?


Категории:

АрхитектураАстрономияБиологияГеографияГеологияИнформатикаИскусствоИсторияКулинарияКультураМаркетингМатематикаМедицинаМенеджментОхрана трудаПравоПроизводствоПсихологияРелигияСоциологияСпортТехникаФизикаФилософияХимияЭкологияЭкономикаЭлектроника






Механизмы на основе передачи рейка-шестерня





Схема механизма на основе передачи рейка-шестерня может выглядеть, как показано на рис. 6.1.

Рис. 6.1. Схема механизма с передачей рейка-шестерня:

1 – каретка; 2 – опоры-катки; 3 – балка (рельс, направляющая, траверса);
4 – зубчатая рейка; 5 – шестерня

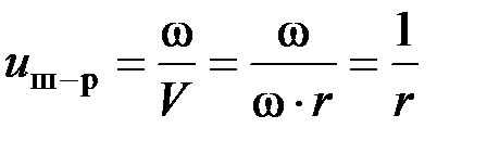
Если ведущей является шестерня, передаточное отношение шестерня-рейка u ш-р (1/м)

или (6.1)

где ω и φ - угловая скорость и угол поворота шестерни;

V и S - линейная скорость и перемещение рейки.

Если ведущей является рейка, передаточное отношение рейка-шестерня u р-ш (м)

(6.2)

Очевидно, что в первом случае, чем меньше шестерня, тем больше передаточное отношение, а во втором случае - наоборот. В первом случае (встречается гораздо чаще второго) стремятся уменьшить радиус шестерни с целью уменьшения габаритов механизма и увеличения передаточного отношения. Однако при этом растет сила F в зацеплении, F = M/r, где М - момент на шестерне. Следовательно, увеличиваются деформации в механизме, уменьшается его точность, увеличивается износ, нарушается плавность движения.

Выбор модуля зацепления также зависит от силы F и, следовательно, от момента и диаметра шестерни. Например, исходя из расчета на прочность зуба шестерни при изгибе, модуль зуба

(6.3)

где YF – коэффициент прочности зуба, который зависит от геометрии зуба;

K – коэффициент нагрузки, который зависит от условий работы передачи;

M – крутящий момент на шестерне;

z – число зубьев шестерни;

Y m – коэффициент ширины шестерни, который зависит от вида и конструкции передачи;

[s]и – допускаемое напряжение материала зуба при изгибе.







Date: 2015-09-24; view: 1631; Нарушение авторских прав



mydocx.ru - 2015-2026 year. (0.807 sec.) Все материалы представленные на сайте исключительно с целью ознакомления читателями и не преследуют коммерческих целей или нарушение авторских прав - Пожаловаться на публикацию