Главная Случайная страница


Полезное:

Как сделать разговор полезным и приятным Как сделать объемную звезду своими руками Как сделать то, что делать не хочется? Как сделать погремушку Как сделать так чтобы женщины сами знакомились с вами Как сделать идею коммерческой Как сделать хорошую растяжку ног? Как сделать наш разум здоровым? Как сделать, чтобы люди обманывали меньше Вопрос 4. Как сделать так, чтобы вас уважали и ценили? Как сделать лучше себе и другим людям Как сделать свидание интересным?


Категории:

АрхитектураАстрономияБиологияГеографияГеологияИнформатикаИскусствоИсторияКулинарияКультураМаркетингМатематикаМедицинаМенеджментОхрана трудаПравоПроизводствоПсихологияРелигияСоциологияСпортТехникаФизикаФилософияХимияЭкологияЭкономикаЭлектроника






Інструкція





1. Розрахунок коефіцієнта Жаккара виробляється по формулі:

де j – число загальних видів на обох ділянках;

а – число видів на ділянці А;

b – число видів на ділянці В.

2. Метод полярної ординації дозволяє оцінити головні градієнти середовища, уздовж яких відбуваються зміна складу й структури співтовариств. Для цього видові описи співтовариств рівняються за коефіцієнтом Жаккара або Сьеренсена й визначаються два найбільш несхожі описи.

Відмінність (D) можна визначити по формулі:

D = 1 – CJ

Два найбільш несхожі описи називаються крайовими й вибираються як перша пара кінцевих крапок на осі. Інші описи розміщаються на осі між крайовими крапками по теоремі Пифагора:

де x – положення співтовариства на осі;

L – відстань (відмінність) між крайовими крапками;

D 1 – відстань опису, поміщеного на осі, уважаючи від однієї крайової крапки;

D 2 – аналогічна відстань, розрахована від другої крайової крапки.

Крім положення на осі, можна розрахувати положення над віссю (е):

Вид градієнта можна визначити, виходячи з оцінки умов середовища, у яких існує кожен біоценоз. Тоді зміна цих умов від одного крайового біоценозу до іншому й буде градієнтом середовища.

3. Діагностичні види дозволяють розрізнити типи співтовариств по їхній присутності в одному типі співтовариств і відсутності в інші. Виділяють два типи цих видів:

- характерні види - зосереджені в особливому типі співтовариств, але відсутні або мають меншу значимість в описах інших типів співтовариств;

- диференціальні види присутні в описах одного типу співтовариств, але відсутні в більшості або у всіх описах, що ставляться до іншого типу співтовариств, коли рівняються тільки ці два типи співтовариств.

 

Завдання 5. У табл. 2.3.11 показана зміна складу й життєвого стану співтовариств, розташованих на різній відстані від металургійного комбінату. Визначите, градієнт яких факторів середовища викликає зміни співтовариств. У чому ці зміни проявляються?

 

Таблиця 2.3.11 Склад і життєвий стан співтовариств, підданих впливу металургійного підприємства (Копцик С.В., Копцик Г.Н., Меряшкина Л.В., 2004)

Показник Характеристика біогеоценозів
Відстань від комбінату, км        
Середньорічна концентрація SO2, мкг/м3 10-15 20-50 >50 >50
Випадання Ni, г/м2·год       >100
Випадання Cu, г/м2·год <5     >50
Тип лісу Сосник лишайниковий Сосник злаково-кустарничковый Сосник з пустищем Техногенне пустище
Порушення деревного ярусу Порушення покриву эпифитных лишайників, одиничний хлороз Хлороз і некроз хвої, дефоліація (опадання хвої), суховершинность Масові хлорози й некрози, зниження строку життя хвої, дефоліація Повна загибель древостоя
Живі дерева, шт. /100 м2 9,3±1 2,4±0,4 2,8±0,4  
Сухостій 1,9±0,5 4,7±0,9 5,7±1,1 1,9±0,3
Зімкнутість крон, частки одиниці 0,33±0,04 0,15±0,02 0,12±0,01  
Число видів трав        
Число видів лишайників        
Загальне проективне покриття трав, %        
Проективне покриття лишайниками, %        

 

 

Завдання 1. У табл. 2.3.12 наведені тези концепції детермінованої сукцесії Ф. Клементса. Заповните таблицю, вписавши в неї відповідні подання опонентів цієї концепції (Уиттекера, Коннела, Слейтера).

Таблиця 2.3.12 Концепція детермінованої сукцесії Ф. Клементса

Ф. Клементс Опоненти
Сукцесія являє собою жорстко детермінований процес зміни стадій, яким відповідають групи видів.  
Сукцессионное розвиток экосистем даного регіону приводить до єдиного климаксному стану.  
У ході сукцесії відбувається поліпшення умов.  
Найвища видова розмаїтість характерно для климаксовых співтовариств.  
Клімакс – саме продуктивне співтовариство з максимальним запасом біомаси для даного клімату.  
Еволюція співтовариств описується континуальної (коадаптационной) моделлю.  

 

Завдання 2. Заповните таблицю, що характеризує різні моделі міжвидових відносин у ході сукцесій.

 

Ознака Модель
Сприяння Толерантність Ингибирование
Зміна умов      
Зміна структури співтовариства      
Стратегії популяцій      
Характеристика міжвидових відносин      
Приклади      
Практичне використання закономірностей      

Завдання 3. У табл. 2.3.13 наведені деякі характеристики стадій первинної постгляциальной сукцесії. Проаналізуйте таблицю, відзначаючи тенденції в зміні умов середовища, структурі співтовариства й взаєминах організмів.


Таблиця 2.3.13 Характеристика стадій постгляциальной сукцесії
(Chapin et all., 1994; цит. по Миркин, Наумова, Соломец, 2001)

Характеристика Стадії сукцесії
I II III IV
         
Тривалість до 20 років 20-30 років 50-100 років після 100 років
Назва піонерна стадія дріади стадія вільхи стадія їли
Склад Азотфиксирующие цианобактерии, мохи, лишайники, верба, тополя, вільха, ялина, чагарники Чагарники, верба, тополя, ялина, вільха Перевага вільхи Перевага їли
Ґрунт
Потужність обріїв А2+В, див 5,2 7,0 8,8 15,1
Зміст азоту, г/м2 3,8 5,3 21,8 53,3
Щільність корінь у шарі 0-10 див на 1 дм2   + 9,6 11,5
Кількість опада, г/м2, за рік 1,8 3,0    
Домінанти співтовариств
Максимальна висота 0,3 0,1    
Вік плодоносіння 1-2 6-8 8-10 30-50
Тривалість життя, роки        
Середня вага насіння, мг        
Фактори сприяння
Збагачення ґрунту азотом + ++ +++ -
Микоризообразование + ++ +++ ++
Поліпшення умов проростання насінь +
Поліпшення умов приживання сходів +
Фактори ингибирования
Поліпшення умов проростання насінь + ++ ++
Поліпшення умов приживання сходів + ++ +++
Загибель насінь + ++ +++
Конкуренція за світло + ++ +++
Конкуренція за ґрунтові ресурси + ++

 

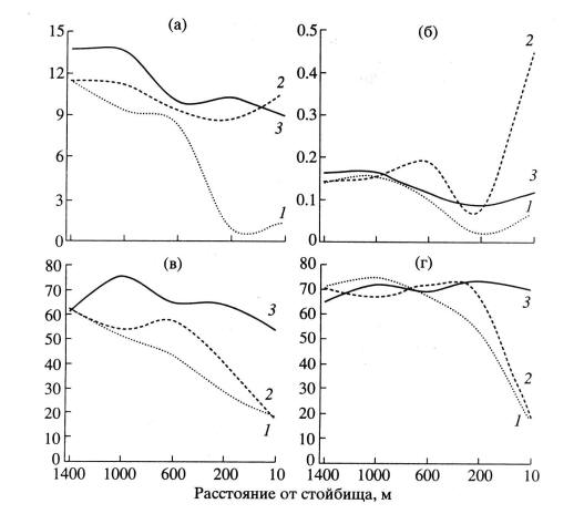
Завдання 4. На мал. 2.3.12 показана зміна степових співтовариств під впливом випасу різних видів худоби (зоогенная сукцесія).

Рис. 2.3.12. Зміна степових співтовариств під впливом випасу різних видів худоби
(по: Юнусбаев, Мусіна, Суюндуков, 2003):
1 – випас овець,
2 – випас корів,
3 – випас коней;
а – запас надземної фітомаси в сухій вазі, ц/га;
б – відношення надземної фітомаси до підземного;
в – видове багатство, число видів на 100 м2;
м – частка видів, що складають природні степові співтовариства, %

 

Визначите, як змінюються структурні й функціональні характеристики співтовариств при різному рівні впливу випасу.

Як розрізняються ці зміни, залежно від виду випасають животных, що? Спробуйте пояснити спрямованість змін.

 

Завдання 5. У рівнинних ландшафтах ріки, меандрируя, формують відкладення піску, на яких починаються первинні сукцесії. Зобразите схему цього явища, розташувавши послідовно серійні співтовариства: піонерні, з домінуванням тополі, верби, липи, в'яза, вільхи чорної. Як вплине на протікання даного явища: а) вирубка лісів у водозборі ріки; б) залісення водозбору; в) вирубка лісу в заплаві?

Практичне заняття №13

Продуктивність экосистем


 

Завдання 1. Оціните чисту продукцію трав'янистого рослинного співтовариства зернових культур у масовому й енергетичному еквіваленті на основі дані визначення біомаси частин рослин (абсолютно суха вага) на обліковій площадці в 1 м2. При цьому враховуйте, що втрати від комах становлять 2 м і що для посіву використалися насіння загальною масою 5 р. Тканини рослин містять у середньому близько 4,25 ккал енергії.

Фракція Біомаса, м
Стебла  
Листи  
Квітки й плоди  
Корінь  

 

Завдання 2. Зрівняєте чисту первинну продукцію й біомасу молодого дубово-соснового лісу й климаксного широколиственного лісу (табл. 2.3.14). Оціните внесок різних ярусів і фракцій у формування чистої первинної продукції й біомаси.

Таблиця 2.3.14 Чиста продукція й біомаса різних типів лісових співтовариств (Уиттекер, 1980)

Показник Сосновий^-сосновий-дубово-сосновий ліс Климаксный широколиственный ліс
Чиста продукція Біомаса Чиста продукція Біомаса
Чиста продукція (г/м2·рік) і біомаса (кг/м2)   9,7   58,5
Чиста продукція й біомаса для рослин нижніх ярусів   0,46   0,135
Процентна участь різних фракцій:   деревина стовбура кора стовбура деревина й кора галузей листи плоди й квітки корінь     14,0 2,5 23,3 33,1 2,1 25,1     36,1 8,4 16,9 4,2 0,2 34,2     33,3 3,7 13,1 29,1 1,8 19,0     69,3 6,3 10,3 0,6 0,03 13,5

Визначите коефіцієнт акумуляції біомаси в цих співтовариствах (відношення біомаси до продукції).

Визначите коефіцієнт обновляемости біомаси для різних її фракцій у даних співтовариствах (відношення продукції до біомаси).

Визначите валову первинну продукцію цих співтовариств, якщо витрати на подих рослин у дубово-сосновому лісі становлять 1450 г/м2·рік, а в климаксном широколиственном лісу – 2110 г/м2·рік.

Визначите акумуляцію біомаси в экосистемах, якщо на подих тварин у дубово-сосновому лісі витрачається не менш 80 г/м2·рік, на подих сапробов – 580 г/м2·рік, а в широколиственном лісу – не менш 1070 й 250 г/м2·рік.

 

Завдання 3. Визначите вторинну продукцію кобилки за один день. Щільність популяції становить 3 экз. /м2, маса тіла кобилки – у середньому 67 мг. Кобилка щодня поїдає 0,28 м трави на кожен грам маси тіла. 62 % їжі переходить в екскременти, а 34 % засвоєної їжі витрачаються на подих.

Практичне заняття №14

Продуктивність биомов Землі

 

Завдання 1. Використовуючи дані табл. 2.3.15, визначите участь (в %) різних типів экосистем Землі у формуванні біомаси й чистий первичной продукції (ЧПП) біосфери.

Таблиця 2.3.15 Чиста первинна продукція й рослинна біомаса Землі (Уиттекер, 1980)


Тип экосистемы Площа, 106 км2 ЧПП, г/м2 · рік Світова ЧПП, 109 т/рік Біомаса, кг/м2 Глобальна біомаса, 109 т
Тропічний дощовий ліс     37,4    
Тропічний сезонний ліс 7,5   12,0    
Вічнозелений ліс помірної зони 5,0   6,5    
Листопадний ліс помірної зони 7,0   8,4    
Бореальный ліс 12,0   9,6    
Рідколісся й чагарники 8,5   6,0    
Савана 15,0   13,5    
Злаковники помірної зони 9,0   5,4 1,6  
Тундра й альпійська рослинність 8,0   1,1 0,6  
Пустельна й напівпустельна рослинність (напівчагарники й чагарники)     1,6 0,7  
Екстремальні пустелі, скелі, піски й лід 24,0   0,07 0,02 0,5
Оброблювані землі 14,0   9,1    
Болота 2,0   4,0    
Озера й ріки 2,0   0,5 0,02 0,05
Всі континенти 149,0     12,3  
Відкритий океан 332,0   41,5 0,003 1,0
Зони підйому глибинних вод на поверхню 0,4   0,2 0,02 0,008
Континентальний шельф 26,6   9,6 0,01 0,27
Заросли водоростей і рифи 0,6   1,6   1,2
Річкові дельти 1,4   2,1   1,4
Світовий океан     55,0 0,01 3,9
Усього       3,6  

 

Проведіть оцінку продуктивності экосистем Землі, прийнявши за 100 балів продуктивність тропічного дощового лісу.

Зрівняєте экосистемы континентів й океану по показниках біомаси й продуктивності. Поясните причину розходження показників біомаси й продуктивності экосистем Світового океану й континентів.

 

Завдання 2. У табл. 2.3.16 наведені показники, що характеризують продуктивність основних биомов Землі. Використовуючи ці дані, а також залучаючи дані з табл. 2.3.15, оціните:

1) ефективність формування чистої первинної продукції (г/м2 листової поверхні в рік);

2) ефективність продуктивності хлорофілу різних типів экосистем (г/г хлорофілу);

3) швидкість біологічного круговороту в наземних экосистемах по відношенню маси підстилки до маси чистої первинної продукції;

4) ступінь використання чистої первинної продукції тваринами (%);

5) ступінь переходу органічної речовини рослин у тваринну органічну речовину (%).

Таблиця 2.3.16 Характеристика продуктивності біосфери по основним экосистемам земного кулі (Уиттекер, 1980)

Тип экосистемы Хлорофіл, 106 т Листова поверхня, 106 км2 Маса підстилки, 109 т Споживання тваринами, 106 т/рік Продукція тварин, 106 т/рік Біомаса тварин, 106 т
Тропічний дощовий ліс     3,4      
Тропічний сезонний ліс 18,8   3,8      
Вічнозелений ліс помірної зони 17,5   15,0      
Листопадний ліс помірної зони 14,0          
Бореальный ліс 36,0   48,0      
Рідколісся й чагарники 13,6   5,1      
Савана 22,5   3,0      
Злаковники помірної зони 11,7   3,6      
Тундра й альпійська рослинність 4,0   8,0     3,5
Пустельна й напівпустельна рослинність (напівчагарники й чагарники) 9,0   0,36      
Екстремальні пустелі, скелі, піски й лід 0,5 1,2 0,03 0,2 0,02 0,02
Оброблювані землі 21,0   1,4      
Болота 6,0   5,0      
Озера й ріки 0,5          
Всі континенти            
Відкритий океан 10,0          
Зони підйому глибинних вод на поверхню 0,1          
Континентальний шельф 5,3          
Заросли водоростей і рифи 1,2          
Річкові дельти 1,4          
Світовий океан 18,0          
Усього            

Практичне заняття №15

Біологічний круговорот в экосистемах

 

Завдання 1. Проаналізуйте наведене в табл. 2.3.17 зміст елементів мінерального харчування в рослинних тканинах (у частинах на мільйон частин сухої ваги) клена цукрового (Acer saccharum).

Визначите, у яких частинах рослини накопичується більша кількість мінеральних елементів. Який у цьому фізіологічний зміст?

Як змінюється співвідношення змісту елементів у різних частинах рослини? Із чим зв'язана зміна зольності рослинної біомаси різних частин рослини?

Обчислите відношення змісту елементів у листах і деревині.

Таблиця 2.3.17 Зміст елементів (о/оо) мінерального харчування
в рослинних тканинах Acer saccharum (Уиттекер, 1980)

Елемент Серцевина Заболонь Кора Галузі Зростаючі пагони Літні листи Осінні листи
Азот              
Фосфор              
Сірка              
Кальцій              
Калій              
Магній              
Марганець              
Залізо              
Цинк              
Натрій              
Мідь 0,5            
Зола              

 

Завдання 2. У табл. 2.3.18 наведені дані про переміщення живильних речовин у ґрунт дубового лісу (% від загальної кількості). Зрівняєте інтенсивність різних способів надходження елементів у ґрунт. Поясните наявні розходження.

Таблиця 2.3.18 Переміщення живильних речовин у ґрунт дубового лісу, % від загальної кількості (Уиттекер, 1980)

Надходження елементів Азот Фосфор Калій Кальцій Магній Натрій Вуглець
З атмосферними опадами 19,1 12,3 7,7 17,8 35,0 61,8 2,4
Змив з поверхні рослин -1,4 25,1 65,1 24,1 35,8 35,5 8,0
З опалими мертвими листами й галузями 82,3 62,2 27,2 58,1 29,3 2,9 89,6
Загальна маса елемента, що надійшов у ґрунт, г/м2 у рік 4,99 0,35 3,86 4,10 1,32 5,72  

 

Завдання 3. У табл. 2.3.19 наведені дані про запаси й про потоки мінеральних елементів у біомасі листяного лісу.

Таблиця 2.3.19 Запаси (г/м2) і потоки (г/м2 у рік) мінеральних елементів
у біомасі листяного лісу (Уиттекер, 1980)

Елемент Деревина й кора Літні листи Опад Змив
Запас Приріст
Азот 27,7 1,48 6,59 5,27 0,992
Фосфор 2,84 0,154 0,518 0,36 0,068
Сірка 3,62 0,165 0,493 0,55 2,10
Кальцій 36,3 1,61 1,85 3,97 0,673
Калій 12,4 0,561 2,84 1,77 3,01
Магній 3,11 0,138 0,458 0,55 0,200
Марганець 3,34 0,154 0,454 0,98  
Залізо 0,300 0,011 0,033 0,040  
Цинк 0,447 0,021 0,033 0,062  
Натрій 0,155 0,0055 0,0047 0,010 0,031
Мідь 0,038 0,0017 0,0027 0,004  
Вуглець         0,506

Визначите швидкість круговороту елементів по відношенню їхнього надходження в ґрунт із опадом і змивом до запасу.

 

Завдання 4. Визначите інтенсивність біологічного круговороту в лісових экосистемах, використовуючи наведені в табл. 2.3.20 значення опадо-подстилочного коефіцієнта ОПК (відношення біомаси підстилки до біомаси опада).

Таблиця 2.3.20 Опадо-подстилочный коефіцієнт у лісових экосистемах

Субстрат Тип лісу
Сосник Осичняки Діброва Липо- (клено-) дубняк Кленовий, липовий ліс
Підстилка Опад Підстилка Опад Підстилка Опад Підстилка Опад Підстилка Опад
Пісок 10,10 2,44 3,55 3,96 10,44 3,83 3,87 4,39
Суглинок 3,47 2,99 6,64 3,90 6,16 4,70 3,61 4,60
Глина 4,94 3,54 7,54 4,02 8,36 4,53
Крейда 11,89 3,78 8,58 4,35 6,47 4,78

Як впливає тип субстрату на інтенсивність біологічного круговороту в цих экосистемах?

 

Завдання 5. У табл. 2.3.21. наведено результати експерименту по визначенню впливу субстратно-фитоценотических умов экосистемы на розкладання лісового опада. Визначите коефіцієнти трансформації й гуміфікації лісового опада в різних комбінаціях умов.

Коефіцієнт трансформації (Ктр) – це відношення маси опада після розкладання до вихідної маси опада.

Коефіцієнт гуміфікації (Кг) – це відношення маси новоствореного гумусу в ґрунті до вихідної маси опада.

 

Таблиця 2.3.21 Результати експерименту по визначенню коефіцієнтів трансформації й гуміфікації лісового опада

Тип опада Тип субстрату Вихідна маса опада, м Маса опада після розкладання, м Збільшення гумусу в ґрунті, м
Кленовий Суглинок 11,6 4,83 0,90
Липо-дубовый Суглинок 9,36 4,46 0,58
Березовий Пісок 6,36 2,29 0,82
Дубовий Пісок 6,18 2,80 0,59
Кленовий Пісок 7,93 2,19 0,72
Дубовий Крейда 9,19 5,53 0,72
Дубовий Глина 10,95   0,73

Як впливає тип субстрату й склад опада на ефективність трансформації й гуміфікації?

Визначите ефективність фіксації гумусу в ґрунті по відношенню коефіцієнта гуміфікації до коефіцієнта трансформації.

 

Завдання 6. Оціните інтенсивність біологічного круговороту, розрахувавши значення опадо-подстилочного коефіцієнта в різних природних зонах за даними табл. 2.3.22.

Таблиця 2.3.22 Запаси опада й підстилки в різних природних зонах

Показник, ц/га Тундра Лісова зона Степу
арктична кустарничковая Ялинники Діброва лугові сухі
Опад 2,6          
Підстилка, повсть            

 

Завдання 7. У табл. 2.3.23 наведені дані експерименту по визначенню впливу лісових біогеоценозів водозбору на винос живильних речовин з річковим стоком. Значення дані в кг/га · год.

Таблиця 2.3.23 Вплив вирубки лісу на біологічний круговорот (Уиттекер, 1980)

Елемент Залісений водозбір Водозбір з вирубаним лісом
Принесення с опадами Винос зі стоком Винос зі стоком (чистий)
Кальцій 2,6 11,7 77,9
Натрій 1,5 6,8 15,4
Магній 0,7 2,8 15,6
Калій 1,1 1,7 30,4
Амонійний азот 2,1 0,3 1,6
Нітратний азот 3,7 2,0 114,0
Сірка 12,7 16,2 2,8
Кремній сліди 16,4 30,0
Алюміній сліди 1,8 20,7

 

Визначите співвідношення принесення й виносу елементів (чистий винос) у непорушеної лісовий экосистеме.

Визначите зміну чистого виносу елементів після вирубки лісу.

Які зміни в структурі й функціонуванні лісовий экосистемы могли стати причиною цих змін?







Date: 2015-09-22; view: 531; Нарушение авторских прав



mydocx.ru - 2015-2026 year. (1.205 sec.) Все материалы представленные на сайте исключительно с целью ознакомления читателями и не преследуют коммерческих целей или нарушение авторских прав - Пожаловаться на публикацию