Главная Случайная страница


Полезное:

Как сделать разговор полезным и приятным Как сделать объемную звезду своими руками Как сделать то, что делать не хочется? Как сделать погремушку Как сделать так чтобы женщины сами знакомились с вами Как сделать идею коммерческой Как сделать хорошую растяжку ног? Как сделать наш разум здоровым? Как сделать, чтобы люди обманывали меньше Вопрос 4. Как сделать так, чтобы вас уважали и ценили? Как сделать лучше себе и другим людям Как сделать свидание интересным?


Категории:

АрхитектураАстрономияБиологияГеографияГеологияИнформатикаИскусствоИсторияКулинарияКультураМаркетингМатематикаМедицинаМенеджментОхрана трудаПравоПроизводствоПсихологияРелигияСоциологияСпортТехникаФизикаФилософияХимияЭкологияЭкономикаЭлектроника






Порівняння співтовариств по видовому складі





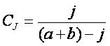
Для порівняння спільності видового складу співтовариств використають міри подібності, з яких найбільше часто використаються коефіцієнти Жаккара й Сьеренсена.

Коефіцієнт Жаккара:

,

де j – число загальних видів на обох ділянках;

а – число видів на ділянці А;

b – число видів на ділянці В.

Коефіцієнт Сьеренсена:

,

Коефіцієнти рівні 1 при повній подібності; рівні 0, якщо вибірки зовсім різні й не включають загальних видів.

 

Завдання 3. Зрівняєте видовий склад птахів, що гніздяться, на трьох ділянках приволзького степу.

Ковиловий степ: степовий жайворонок, польовий жайворонок, малий жайворонок, каменка-плясунья, каменка-плешанка, лунь степовий, орел степової.

Посіви з лісосмугами: степовий жайворонок, польовий жайворонок, малий жайворонок, жовта трясогузка, рожевий шпак, перепел, лунь польової.

Посіви без лісосмуг: степовий жайворонок, польовий жайворонок, малий жайворонок, каменка-плясунья, чибис, лунь польової.

Практичне заняття №6

Функціональна й трофічна структура экосистемы

Завдання 1. Нижче наведена схема трофічної структури біоценозу широколиственного лісу.

Перенесіть схему в зошит, показавши стрілками всі можливі трофічні зв'язки між зазначеними організмами. Умовними позначками виділите основні екологічні групи організмів даного біоценозу, пасовищні й детритные ланцюга харчування.

 

Завдання 2. Побудуйте піраміди біомаси озера в зимовий і весняний період за наступним даними (Грін, Стаут, Тейлор, 1990):

Екологічні групи організмів Біомаса, г/м3
Зима Весна
Продуценти    
Первинні консументы    
Вторинні консументы    

Поясните, чому протягом року піраміда «перевертається».

 

Завдання 3. Жгутиковые найпростіші Leptomonas паразитують на дрібних комахах, тисячі їх можуть бути знайдені на одній блосі (Грін, Стаут, Тейлор, 1990). Побудуйте піраміду чисельності на основі наступного харчового ланцюга:

трава - травоїдний ссавець - блоха - Leptomonas.

 

Завдання 4. (по: Жердев, Успенський, Дорогань, 2001). Знаючи правило переходу енергії з одного трофічного рівня на іншій (близько 10%) і припускаючи, що тварини кожного трофічного рівня харчуються тільки організмами попереднього рівня, побудуйте піраміду річної біологічної продуктивності наступного харчового ланцюга:

рослини - коники - жаби - вужі - яструби.

Побудуйте піраміду чисел цього харчового ланцюга, знаючи, що маса 1 пагона трав'янистої рослини - 5 м; 1 коника - 1 м; 1 жаби - 10 м; 1 вужа - близько 100 м; 1 яструби - близько 2 кг.

Кількість особин підрахуйте сумарно за рік з обліком загальної річної продуктивності 40 тонн.

 

Завдання 5. Скласти схему консорции дуба черешчатого, у якій показати трофічні зв'язки видов-консортов, поміщених у концентричні кола (навколо дуба): фітофагів, зоофагов різних порядків. Показати також види, що мають топическую (місцеперебування) зв'язок з дубом.

 

Завдання 6. Нижче наведені дані про кількість ДДТ, ув'язненому в біомасі організмів, що перебувають на різних трофічних рівнях харчового ланцюга (в одиницях маси ДДТ на 1 млн. одиниць біомаси):

{Вода (0,02)} Кладофора (0,04) - Карась (10) - Щука (50) - Скопи (75)

У чому полягає ефект концентрації ядохимикатов у харчових ланцюгах?

Розрахуйте кратність збільшення концентрації на послідовних рівнях даного харчового ланцюга.

На якому рівні ДДТ зробить найбільш сильний вплив? На якому рівні його легше всього виявити?

Чому загибель організмів (птахів, ссавців) від ДДТ спостерігається в період недостачі корму?

Практичне заняття №7

Розрахунок харчового забезпечення населення Регіону за рахунок власних сільськогосподарських угідь

 

Намалювати схему харчового забезпечення жителів Регіону, розрахувати норму забезпечення 1 чоловік сільськогосподарськими вгіддями, оцінити кількість населенння, що Регіону може забезпечити своїми продуктами харчування.

Прокоментувати висновки до розрахунків.

Розрахунок проводити поетапно, докладно відбиваючи етапи в робочих зошитах.

Вихідні дані для розрахунків (у навчальних цілях приводяться усереднені й приблизні дані):

1. Потреба в білках на 1 чіл./день - 100 м, з них 50 м - тваринного походження, 50 м - рослинного походження.

Зміст білка в м'ясних продуктах - 20%, засвоюваність - 96%.

Зміст білка в рослинних продуктах: злаки - 10%, бобові - 20%. Засвоюваність рослинного білка - 70%.

2. Потреба у вуглеводах на 1 чіл./день - 500 м, з них 250 м - за рахунок зернових, 250 м - за рахунок овочів.


Зміст вуглеводів у зернових - 60%, в овочах - 20%, засвоюваність - 96%.

3. Потреба в жирах (умовно приймаємо) забезпечується тим же кількістю м'ясної й рослинної їжі, тому розрахунок по жирах не виробляється.

4. Витрата кормових культур для вирощування 1 ц м'яса становить 15 ц корм. ед.

5. Середня врожайність кормових культур (коренеплоди, зернофураж, багаторічні й однолітні трави й проч.) становить... (наприклад, 20 ц корм. ед./га).

6. Урожайність зернових -... (приймемо 15 ц/га), овочів -... (приміром, 150 ц/га).

7. Площа сільськогосподарських угідь Регіону - ______ тис.га. (для Білгородської обл. - 2145 тис. га, загальна площа ріллі 1654,75 тис. га).

8. Чисельність населення ___ тис. чіл. (для Білгородської обл. - 1498 тис. чіл.)

Примітка. Реальні результати розрахунків можуть відрізнятися від обчислених у ході заняття у зв'язку з тим, що, з одного боку, трохи завищені норми споживання м'ясних продуктів, з іншого боку - не враховані площі, зайняті під технічні культури, низькопродуктивні ділянки, а також допущений ще цілий ряд неточностей.

Практичне заняття №8

Просторова структура біоценозу

 

Завдання 1. Наведені нижче скорочені видові склади співтовариств широколиственного лісу й лугового степу диференціюйте у вигляді схеми відповідно до їх вертикальної структури (ярусности). При цьому види розташовуйте в порядку зниження їхньої значимості, орієнтуючись на оцінки достатку по шкалі Друде. Рослини й тварин позначайте умовними знаками.

Широколиственный ліс.

Рослини (висота; достаток*) Безхребетні Птаха Ссавці
Глід (1,8 м; cop1) Дуб черешчатый (20 м; сміття3) Звездчатка жестколистная (20 див; cop1) Клен гостролистий – подрост (до 3 м; сміття2) Копытень європейський (10 див; sol) Ліщина (до 3 м; cop2) Осока волосиста (30 див; cop1) Сныть звичайна (30 див; cop3) Фіалка дивна (15 див; sp) Черемшина звичайна (10 м; сміття1) Яблуня лісова (12 м; сміття1) Геофилы Дощові хробаки Дубова листовертка Жуки-гробарі Жуки-листоеды Кивсяки Комарі Кістянки Мокриці Мурахи Павуки Бджоли П'ядак зимова (гусениці) Ворона Зяблик Неясыть звичайна Співочий дрізд Строкатий дятел Пищуха звичайна Повзик Синиця московка Синица-лазоревка Славка Сорока Борсук Заєць Землерийка Козуля Кріт Лісова полівка Сіра білка Соня Вовк

* Позначення достатку по шкалі О. Друде див. у прил. 1 й 2.


 

Луговий степ.

Рослини (висота; достаток) Безхребетні Птаха Ссавці
Багаття безостий (до 70 див, cop1) Ковила пір'ястий (50-60 див, soc) Тимофіївка лугова (50-60 див, sp) Живокость клинолистная (50-60 див, sol) Шавлія лугової (40-50див, cop2) Подмаренник дійсний (40-50 див, cop1) Дощові хробаки Молюски Мокриці Щипавки Жуки-щелкуны Кобилки Метелика Попелиця Мурахи Клопи Жука-жужелиці Полевой горобець Трясогузка Жайворонок Переспівав Куріпка Яструб-перепелятник Лунь польовий Полівка Ховрашок Бабак-байбак Заєць Лисиця

Для кожного ярусу біоценозів визначите провідний процес функціонування (формування мікроклімату співтовариства, засвоєння сонячної енергії, утворення первинної продукції, її споживання (консумпция), розкладання органічної речовини, поновлення співтовариства й ін.).


Дайте назву рослинної асоціації, використовуючи класифікацію по домінантних видах.

 

Завдання 2. На мал. 2.3.7 показана участь деревних порід у формуванні ярусів дібров Центрально-Чорноземного заповідника в 1979 й 1989 р.

Рис. 2.3.7. Зміна складу деревних ярусів дібров Центрально-Чорноземного заповідника (по Рыжкову, 2001)

 

У табл. 2.3.7 наведені основні таксаційні характеристики ярусів.

Таблиця 2.3.7 Динаміка основних таксаційних показників насаджень (по Рыжкову, 2001)

Показники I ярус II ярус III ярус
Число стовбурів, шт. /га 499 170 59
Середній діаметр, див 24,3 26,3 13,6 15,1 8,7 10,0
Середня висота, м 16,3 17,9 10,4 12,2 5,7 8,6
Абсолютна повнота, м2/га 19,2 22,1 2,2 1,0 0,3 0,7
Запас, м3/га 150,5 193,7 11,9 6,7 1,0 3,4

Примітка. Над рисою - 1979 р., під рисою - 1989 р.

 

Проаналізуйте зміну вертикальної структури дібров за 10 років. Які могли бути причини цих змін?

 

Завдання 3. На мал. 2.3.8 показана динаміка просторового розміщення дерев різних порід у дубо-кленовнике снытьевом у заповідній ділянці «Ліс^-на^-Ворсклі».

Перенесіть схему в зошит, позначивши на ній пунктирними лініями границі парцелл древостоя (умовні значки окремих дерев переносити не треба). Парцеллы необхідно виділяти як ділянки з переважним домінуванням одного виду (наприклад, дубова, липово-дубова, кленова парцеллы).

Рис. 2.3. 8. Динаміка просторового розміщення дерев різних порід
у дубо-кленовнике снытьевом (заповідна ділянка «Ліс^-на^-Ворсклі») (по Рыжкову, 2001)

 

Як змінилася горизонтальна структура (мозаїчність) фітоценозу з 1935 по 1993 рік? Спробуйте дати цьому пояснення.

 

Завдання 4. На мал. 2.3.9 показаний процес самозаростання шахтного відвала протягом п'яти й двадцяти років. Проаналізуйте особливості горизонтальної структури молодих экосистем різного віку.

Рис. 2.3. 9. Самозаростання шахтного відвала протягом п'яти (а) і двадцяти років (б) (по: Дзыбов, Денщикова, 2001): I – суцільне покриття травостоєм; II – мелкоземистый субстрат з одиничними особинами рослин; III – уламки порожньої породи; IV – мелкообломочный субстрат; 1-10 – номера площадок

 

Які фактори, на Ваш погляд, визначають таку структуру в даному техногенному ландшафті?

Як змінюється ця структура в часі при заростанні відвала?

Визначите середнє проективне покриття рослинністю для облікових площадок 5- і 20-літньої экосистем.

Практичне заняття №9

Екологічна ніша виду

 

Завдання 1. На мал. 2.3.10 показаний досвід радянського еколога Г.Ф. Гаузе (1934) із двома видами інфузорій роду Paramecia - P. aurelia й P. сaudatum при змісті інфузорій роздільно й разом.


--- P. caudatum

__ P. aurelia

Рис. 2.3.10. Ріст чисельності двох видів інфузорій в одній культурі (по Г. Ф. Гаузе): а – при вирощуванні видів окремо; б – при спільному вирощуванні в загальному середовищі

Який тип росту характерний для популяцій P. аurelia й P. сaudatum?

Який тип стратегії популяції характерний для цих видів?

У чому могло проявлятися перевага P. aurelia перед P. caudatum?

Сформулюйте принцип конкурентного виключення.

 

Завдання 2. Схематично зобразите екологічні ніші:

а) птахів - мешканців лісу;

б) комах - у степовому біогеоценозі.

Відзначте способи диференціації екологічних ніш у наведеній Вами схемі.

 

Завдання 3. У табл. 2.3.8 наведені дані про вісім видів голубів, що живуть у лісах Нової Гвінеї, які харчуються на чотирьох видах дерев з розмірами плодів відповідно 7, 20, 30, 40 мм (Уиттекер, 1980).

Розподілите птахів по екологічних нішах, з огляду на розмір їжі й масу тіла птахів.

Таблиця 2.3. 8 Маса птахів і розмір споживаної їжі голубів Нової Гвінеї

№ виду голубів Маса птаха, м Розмір споживаної їжі, мм
     
     
    7-20
    7-20
    20-30
    20-30
    30-40
    30-40

 

Спробуйте встановити закономірність масових відносин птахів у наведеній гільдії голубів.

 

Завдання 4. У Білгородській області в різний час були акліматизовані наступні види тварин: енотовидная собака, американська норка, ондатра; реакклиматизированы бобр, хохуля, бабак-байбак, плямистий олень, шляхетний олень. Які могли бути наслідку цих заходів? Поясните з погляду навчання про екологічну нішу.

 

Завдання 5. Подумайте, чому в заповідному степу, де немає випасу копитних, спостерігаються зникнення популяцій бабаків і скорочення чисельності ховрашків? Чим може бути пояснена тенденція росту чисельності степових гризунів у цілому на території Білгородської області поза мережею ООПТ?

 

Завдання 6. У лісовому господарстві виділяють 3 групи комах-шкідників:

- первинні (великий ялиновий лубоед, древесница уїдлива, червиця пахучий, вусань осиковий й ін.), що вражають здорові дерева;

- вторинні (багато вусанів, короеды, златки, рогохвосты) - поселяються на ослаблених деревах;

- третинні (сірий довговусий вусань, смугастий древесинник, валежный короед) - харчуються на зрубаних деревах, пнях, порубочных залишках, труску.

Чи розрізняються ці групи по розмірі шкоди, заподіюваного лісовому господарству? Які міри профілактики Ви могли б запропонувати стосовно цих груп шкідників?

Як організувати боротьбу зі шкідниками сільськогосподарських культур з погляду навчання про екологічну нішу?

 

Практичне заняття №10

Міжвидові відносини в біоценозі

 

Завдання 1. На наведеному нижче графіку показана динаміка чисельності трофически зв'язаних видів - заєц-русака й лисиці в Білгородській області.

Рис. 2.3.11. Динаміка чисельності заєц-русака й лисиці в Білгородській області

 

Проаналізуйте графік і спробуйте пояснити виявлені тенденції з погляду особливостей взаємин у системі «хижак - жертва».

 

Завдання 2. В екології відносини «хижак – жертва» описуються математичними моделями, найбільш простої з яких є модель Лотки – Вольтерры. Відповідно до цієї моделі, жертва збільшує число своїх особин у відповідності зі своєю внутрішньою швидкістю росту (r1), помноженої на щільність популяції жертви (N1), і губить число особин зі швидкістю, що пропорційна числу зустрічей особин хижака й жертви, тобто дорівнює добутку щільності популяції жертви на щільність популяції хижака (N2):

dN1/dt = r1N1 - PN1N2

Хижак збільшує число особин зі швидкістю, пропорційної тому ж добутку плотностей популяцій, і губить особини відповідно смертності (d2), помноженої на щільність популяції хижака:

d2/dt = aPN1N2 - d2N2

Тут Р – коефіцієнт хижацтва (відношення числа зустрічей до числа добутих жертв), а – коефіцієнт, що відносить число народжень хижаків до числа з'їдених ними жертв.

Використовуючи цю модель, визначите значення коефіцієнтів Р и а для ситуації стабільного стану популяцій заєц-русака й лисиці в Білгородській області (відповідно – 19,9 й 4,5 тис. голів, по среднемноголетним даним). Кожна пара лисиць у рік приносить 7 дитинчати, кожна пара зайців - 12. Теоретично припустимо, що зайці не вмирають природною смертю, а природна смертність лисиці дорівнює її народжуваності.

 

Завдання 3. Як ви думаєте, чому досвідчені городники радять нести з поля сполотые бур'яни? Чому загортання деяких бур'янів (наприклад, пирію), діє угнетающе на схожість насінь культурних рослин?

 

Завдання 4. Відомо, що в зимовий період копитні (лосі, козулі, олені, зубри) харчуються гілковим кормом. При росту чисельності поголів'я цих тварин у лісах відбувається скорочення чисельності багатьох чагарників, але не всіх. Вовче лико, навпаки, різко збільшує свою чисельність. Які фактори можуть цьому сприяти?

 

Практичне заняття №11

Співтовариства й умови середовища

 

Завдання 1. У табл. 2.3.9 наведені різні типи лісонасаджень басейну р. Сіверський Донець і деякі характеристики ґрунтів, на яких вони виростають.

Таблиця 2.3.9 Ґрунтові умови лісонасаджень басейну р. Сіверський Донець

Склад древостоя* Тип місцеперебування (по зволоженню) Зміст гумусу Зміст фізичної глини в почвообразующей породі N P K рН Тип ґрунту
%
10 С А1 (бор сухої) 0,61 4,5 0,03 0,01 0,08 5,5-5,7 Дернова среднемощная
10 С В2 (суборь свіжа) 1,0 5,0 0,04 0,04 0,11 5,9-6,8 Дернова среднемощная
10 С/Д ВР2-3 (суборь-судубрава свіжа) 1,9 5,5 0,07 0,07 0,09 5,7-6,7 Дернова малопотужна
6С4Д З2-3 (судубрава свіжа-волога) 1,4 6,1 0,17 0,03 0,14 5,5-6,7 Черноземовидная
9Д1Я Д2 (діброва свіжа) 4,6 52,2 0,26 0,13 0,68 6,3-7,8 Темно-сіра
10Д+Я К Л Д2 (діброва свіжа) 5,0 28,0 0,18 0,10 0,64 7,0-8,3 Лучно-сіра
8Д1Я1ПРО Д3 (діброва волога) 6,2 53,2 0,15 0,07 0,94 6,5-7,3 Лучно-сіра

* – літерні позначення видів дерев: З – сосна; Д – дуб; Я – ясен; ДО – клен; Л – липа; ПРО – осика.

Які градієнти середовища, на ваш погляд, мають найбільше значення для поширення лісових фітоценозів?

Як змінюється склад лісових фітоценозів (древостоя) по градієнтах умов місцеперебувань?

 

Завдання 2. З наведених природних факторів, що впливають на поширення рослинності, виберіть ті, які формують градієнти середовища.

Міжвидові відносини, антропогенний вплив, світло, властивості ґрунту, ерозійні процеси, поемность, форми рельєфу, висотна поясность, континентальность клімату, сезонні фактори, сонячна радіація, сума температур, річна кількість опадів.

Визначите рівень їхнього впливу: планетарний, регіональний, ландшафтний і ценотический.

 

Завдання 3. Приведіть приклади градієнтів середовища, характерних для Вашого регіону, що мають регіональне, ландшафтне й локальне значення. Зобразите схему локального градієнта середовища, на якій покажіть напрямок зміни фактора (факторів) і відповідний экоклин біоценозів.

 

Завдання 4. У табл. 2.3.10 наведені скорочені описи лісових фітоценозів, характерних для Білгородської області.

 

Таблиця 2.3.10 Видовий склад лісових фітоценозів

Назва фітоценозу Видовий склад деревного пологу Видовий склад підліска Видовий склад трав'яного покриву
Сосник ракитниково-злаковый Сосна, дуб Рокитник, карагана, вишня степова, глід Типчак, очиток їдкий, мятлик, овсяница, тимофіївка степова, гвоздика, вейник
Сосник трав'яної з дубом Сосна, дуб, осика, береза, клен гостролистий Клен татарський, жостір, бересклет бородавчастий, Купина, конвалія, подмаренник, материнка, мятлик, перловник, грушанка, медунка, конюшина, золота різка
Дубняк осоково^-злаковий Дуб, ясен, осика, клен польовий Клен татарський, бересклет бородавчастий, глід, ліщина Осока волосиста, мятлик, їжака збірня, перловник, фіалка, звездчатка, копытень, сныть, медунка
Дубняк осоково-снытьевый Дуб, ясен, осика, клен польовий, клен гостролистий, липа, ільм Ліщина, клен татарський, бересклет бородавчастий, бересклет європейський Осока волосиста, сныть, купина, папороть, костяниця, грушанка, копытень, медунка
Дубняк снытьевый Дуб, ясен, клен польовий, клен гостролистий, липа Ліщина, бересклет бородавчастий, бересклет європейський Сныть, копытень, звездчатка, будра, медунка, купина, фіалка, чубарка, вітрогонка

 

Визначите подібність (за коефіцієнтом Жаккара) їхнього видового складу й методом полярної ординації розмістите їх на осі градієнта середовища. Визначите вид цього градієнта.

Зі списків видового складу наведених фітоценозів назвіть діагностичні (характерні, диференціальні види).







Date: 2015-09-22; view: 659; Нарушение авторских прав



mydocx.ru - 2015-2026 year. (0.726 sec.) Все материалы представленные на сайте исключительно с целью ознакомления читателями и не преследуют коммерческих целей или нарушение авторских прав - Пожаловаться на публикацию