Главная Случайная страница


Полезное:

Как сделать разговор полезным и приятным Как сделать объемную звезду своими руками Как сделать то, что делать не хочется? Как сделать погремушку Как сделать так чтобы женщины сами знакомились с вами Как сделать идею коммерческой Как сделать хорошую растяжку ног? Как сделать наш разум здоровым? Как сделать, чтобы люди обманывали меньше Вопрос 4. Как сделать так, чтобы вас уважали и ценили? Как сделать лучше себе и другим людям Как сделать свидание интересным?


Категории:

АрхитектураАстрономияБиологияГеографияГеологияИнформатикаИскусствоИсторияКулинарияКультураМаркетингМатематикаМедицинаМенеджментОхрана трудаПравоПроизводствоПсихологияРелигияСоциологияСпортТехникаФизикаФилософияХимияЭкологияЭкономикаЭлектроника






Одинака» із щільністю 1 ос./0,6 л.; 2 – група із щільністю 1 ос./0,6 л.; 3 – група із щільністю 1 ос./0,13 л





Із чим, на Вашу думку, зв'язана більше висока виживаність при метаморфозі пуголовків із щільністю населення 1 ос./0,6 л. води при їхньому вирощуванні в групі?

Чому виживаність знижується при збільшенні щільності популяції?

Практичне заняття №3

Динаміки чисельності популяції

Завдання1. Тема: «Аналіз динаміки чисельності деяких мисливських тварин на території регіону»

За даними табл. 2.3.4 побудуйте наступні графіки коливання чисельності мисливських тварин Білгородської області по роках:

мал. 1 – для кожного виду тварин;
мал. 2 – для сукупності великих хижаків і сукупності їхніх потенційних жертв;
мал. 3 – для сукупності невеликих хижаків і сукупності їхніх потенційних жертв.

Таблиця 2.3. 4 Чисельність мисливських тварин на території Білгородської області
(Стан навколишнього середовища й використання природних ресурсів у Білгородській області в 2002 році, 2003)

Вид Чисельність по роках, особин
               
Лось                
Козуля                
Олень                
Кабан                
Заєць-русак                
Лисиця                
Куниця                
Тхір                
Вовк                

Обґрунтуйте обране угруповання видів по системах «сукупність великих хижаків – сукупність їхніх потенційних жертв», «сукупність невеликих хижаків – сукупність їхніх потенційних жертв».

Проведіть приватний і порівняльний аналіз криві динаміки чисельності окремих видів і груп видів тварин. Визначите частку чисельності кожного виду розглянутих мисливських тварин у їхній загальній чисельності. Якісно оціните частку розглянутих видів консументов першого порядку в раціоні представлених хижих видів. Обґрунтуйте отримані спостереження, зробіть висновки.

Примітка. Викладачеві рекомендується пояснити способи відображення й зіставлення на єдиному графіку динаміки чисельності, що характеризується більшим розкидом значень для різних тварин (переривчасті шкали, кілька осей ординат, логарифмування вихідних даних).

Підготуйте звіт про пророблену роботу.

 

Завдання 2. Тема: «Аналіз динаміки чисельності деяких видів риб на території регіону»

За даними табл. 2.3.5 побудуйте графіки коливання чисельності видів риб на прикладі Томської області по роках:

мал. 1 – для кожного виду;
мал. 2 – для сукупності хижих видів і сукупності їхніх потенційних жертв.

 

Таблиця 2.3. 5 Вилов риб у водоймах Томської області, т
(Екологічний моніторинг: Стан навколишнього середовища Томської області в 2003 р., 2004)

Вид риби Рік
                 
Осетер 1.5 1.4 1.0
Стерлядь 11.5 7.7 7.3 3.5 3.5 1.3 4.1 1.0
Нельма 3.6 4.2 5.8 2.0 2.0 2.3 0.6 1.1
Муксун 7.5 9.8 19.5 1.5 0.6 0.7 0.5 3.5 0.1
Пелядь 37.3 60.8 148.6 75.6 349.0 166.1 58.1 108.7 103.6
Язь 374.0 326.3 403.6 329.1 188.5 167.8 107.5 229.2 322.7
Щука 171.1 94.7 138.7 165.4 220.9 133.8 164.5 188.1 168.5
Плотва 587.2 410.7 444.1 501.3 490.6 511.5 500.7 476.1  
Минь 175.3 250.1 184.9 221.3 88.2 140.3 48.3 47.1 38.5
Карась 206.8 118.7 114.1 153.2 128.3 128.9 132.7 98.8 120.1
Окунь 49.5 31.0 34.1 43.7 40.5 71.0 49.1 34.6 66.2
Судак 25.1 32.6 12.2 11.5 5.4 5.1 4.8 4.7 1.6
Єлець 65.2 32.6 44.8 111.5 171.3 183.4 86.0 106.7 117.6
Лящ 70.4 111.5 199.3 125.9 82.3 45.1 90.0 103.8 82.0
Йорж 0.1 1.5 0.1 0.1 1.1 1.5
«Дріб'язок» (3 г) 65.9 80.3 79.2 61.4 46.3 67.0 105.4 59.8
Усього                  

 


Обґрунтуйте обране угруповання видів по системах «сукупність хижаків - сукупність їхніх потенційних жертв».

Проведіть приватний і порівняльний аналіз криві динаміки чисельності окремих видів і груп видів. Якісно оціните частку розглянутих видів «нехижих» видів риб у раціоні представлених хижих видів. Обґрунтуйте отримані спостереження, зробіть висновки.

Назвіть можливі причини скорочення промислу коштовних видів.

Підготуйте звіт про пророблену роботу.

 

Завдання 3. На графіку зображена сезонна динаміка чисельності мешканців ґрунту - панцирних кліщів за три роки обліків у різних біотопах Центрально-Чорноземного заповідника.

 

Рис. 2.3. 5. Сезонна динаміка чисельності панцирних кліщів у різних біотопах
Центрально-Чорноземного заповідника (по Гречаниченко, 1997)

 

На які місяці доводяться «піки» й «спади» чисельності панцирних кліщів? Із чим це може бути зв'язано?

Зрівняєте амплітуди динаміки чисельності кліщів під пологом лісу й на галявині. У чому полягає причина розходжень?

 

Завдання 4. На момент організації заповідної ділянки «Лисі гори» в 1993 р. на його території площею 170 га був відзначено 1 виводок звичайної лисиці. Через 5 років її чисельність збільшилася до 25-30 особин. Ще через 5 років кількість лисиць зменшилося до 6-8 особин і стабілізувалося на цьому рівні.

Поясните, чому спочатку чисельність лисиць різко зросла, а пізніше впала й стабілізувалася?

 

Завдання 5. У мисливському господарстві жило 85000 зайців й 3400 лис (Жердев, Успенський, Дорогань, 2001). Кожна пара лисиць у рік приносить 7 дитинчати, кожна пара зайців - 12 дитинчат. Як буде змінюватися чисельність тварин протягом шести років, якщо врахувати, що кожна лисиця добуває за рік 20 зайців? До якого рівня можливе скорочення популяції зайців, щоб підтримувати чисельність популяції лис на вихідному рівні?

Практичне заняття №4

Просторова структура популяції

Завдання 1. При обліку щільності популяції краплистого ховрашка полігон дослідження в 1 га був розбитий на 100 квадратів 10?10 м, у кожному з яких підраховувалася кількість гніздових нір. У підсумку були отримані наступні дані: 60 площадок не мали нір, 11 - по 1 норі, 18 - по 2 нори, 9 - по 3 нори, 3 - по 4 нори.

Визначите тип просторового розподілу популяції ховрашка по відношенню дисперсії (S2) до середнього числа особин на площадці.

де m – середня кількість особин на площадці;

n – число площадок.

При S 2 /m < 1 – розподіл рівномірне;

S 2 /m = 1 – розподіл випадкове;

S 2 /m > 1 – групове (контагіозне) розподіл.

 

Завдання 2. При визначенні щільності населення дощових хробаків використають досить трудомісткий метод ґрунтових розкопок з ям 50?50 див. В одному такому визначенні на ділянці з однорідним ґрунтово-рослинним покривом було зроблено 8 розкопок, у яких виявлено 25, 28, 32, 21, 37, 26, 24, 33 дощових хробаків.

Визначите тип просторового розподілу (аналогічно із завданням 1).

Оціните можливість скорочення кількості повторностей ґрунтових розкопок.

 

Завдання 3. Визначите площу індивідуальної ділянки вовка, якщо відомо, що між лігвищами повинне бути не менш 7 км.

Скільки вовків може жити в лісах Валуйского району Білгородської області, площа яких становить 22,9 тис. га?


 

Завдання 4. Для лосів характерна більша рухливість: у самок довжина добового ходу становить 2,2 км у самців - до 1 км (чому в самок - більше?), при цьому самці тримаються переважно обособленно, а групи частіше представлені самкою з лосенятами. Козуля - менш рухливий вид, популяції утворені групами по 2-3 особині.

Для якого із цих видів копитних можливий суцільний відстріл, для якого - тільки выборочный?

Чисельність якого виду можна більш вірогідно оцінити методом тропления (зимового обліку слідами)?

 

Завдання 5. У берези радіус поширення насінь вітром досягає 100 м. Плодоносити це дерево починає з 6-8 років. На яку відстань може просунутися границя популяції берези за 50 років? Зрівняти цей показник зі швидкістю просування границь популяції сосни звичайної, у якої насіння поширюються в радіусі 30-60 м, а плодоносіння починається в 15 років.

Практичне заняття №5

Видова структура біоценозу
Міри видової розмаїтості

Для оцінки видової розмаїтості використається ряд інформаційних індексів, з яких найбільш широке поширення одержали наступні:

1. Розмаїтість, або багатство видів.

S – кількість видів в описі на площадці стандартного розміру.

d = S/ log A або d = S/ log N,

де А – площа облікової площадки (м2);

N – загальне число видів в описі.

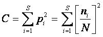
2. Концентрація домінування (індекс Симпсона).

,

де N – сума значимостей для всіх видів в описі;

ni – значимість S окремих видів;

pi – відносна значимість (як десяткова частина) для тих же видів.

Індекс Симпсона пов'язаний з розмаїтістю видів зворотною залежністю.

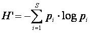
3. Рівномірність розподілу (інформаційний індекс Шеннона – Вінера).

При цьому выравненность (E) обчислюється по формулі:

Е = H ’ / log S

 

Завдання 1. Нижче наведені дані (Уиттекер, 1980) про видовий склад (S) і відносної значимості (pi) для трьох біоценозів (площа облікової площадки у всіх випадках 20×50 м).

Обчислите міри розмаїтості видів (d, S, H') по кожному біоценозі й зрівняєте їх.

1. Субальпийский пихтовый ліс.

Число видів судинних рослин - 7.

Значимість видів (% від чистої первинної продукції лісу): 69; 23; 7; 0,62; 0,28; 0,08; 0,02.

2. Широколиственный ліс.

Число видів судинних рослин - 39.

Значимість видів (% від чистої первинної продукції лісу): 34; 21; 15; 13; 6,5; 3,3; 1,5; 1,3; 0,9; 0,5; 0,45; 0,45; 0,4; 0,2; 0,2; 0,2; 0,19; 0,15; 0,1; 0,09; 0,09; 0,09; 0,07; 0,07; 0,055; 0,055; 0,04; 0,03; 0,024; 0,011; 0,009; 0,008; 0,0045; 0,004; 0,0036; 0,002; 0,0016; 0,0013; 0,001.

3. Орнітофауна широколиственного лісу.

Число видів птахів - 20.

Значимість видів (% від щільності гнездующихся пара птахів): 20; 15; 11; 9; 7,5; 6; 4,5; 4,5; 3,5; 3,5; 3,5; 2,1; 2,1; 2,1; 2,1; 1; 1; 1; 0,3; 0,3.

Проаналізуйте графіки відносної значимості видів у цих біоценозах (мал. 2.3.6).


 

Рис. 2.3. 6. Криві значимості видів: 1 – субальпийский пихтовый ліс; 2 – широколиственный ліс; 3 – орнітофауна широколиственного ліса

Який тип розподілу значимості видів відповідає більше стійкому співтовариству?

Завдання 2. У табл. 2.3.6 наведений опис деревинно-чагарникової рослинності двох міських парків. Використовуючи індекс Симпсона, оціните концентрацію домінування й загальне видове багатство в цих парках. Зрівняєте отримані показники.

Для розрахунку індексу Симпсона в цьому випадку можна використати наступну формулу:

,

де n1 – число особин кожного виду,

N – загальне число особин.

Для оцінки видової розмаїтості (d) можна скористатися відношенням:

Таблиця 2.3. 6 Деревинно-чагарникова рослинність
міських парків (Федулова й ін., 2004)

№ п/п Назва виду Число особин
Парк №1
  Береза  
  Дуб  
  Ліщина  
  Ялина  
  Клен  
  Смородина  
  Черемшина  
  Горобина  
  Верба сріблиста  
  Тополя сріблистий  
  Тополя  
Разом 11 видів число особин N = 306
Парк №2
  Клен  
  Тополя  
  Береза  
  Дуб  
  Ліщина  
  Ялина  
  Черемшина  
  Верба сріблиста  
  Сосна  
  Модрина  
  Горобина  
  Бузок  
  Шипшина  
  Акація жовта  
  Омела  
Разом: 15 видів число особин N = 168






Date: 2015-09-22; view: 565; Нарушение авторских прав



mydocx.ru - 2015-2026 year. (0.983 sec.) Все материалы представленные на сайте исключительно с целью ознакомления читателями и не преследуют коммерческих целей или нарушение авторских прав - Пожаловаться на публикацию